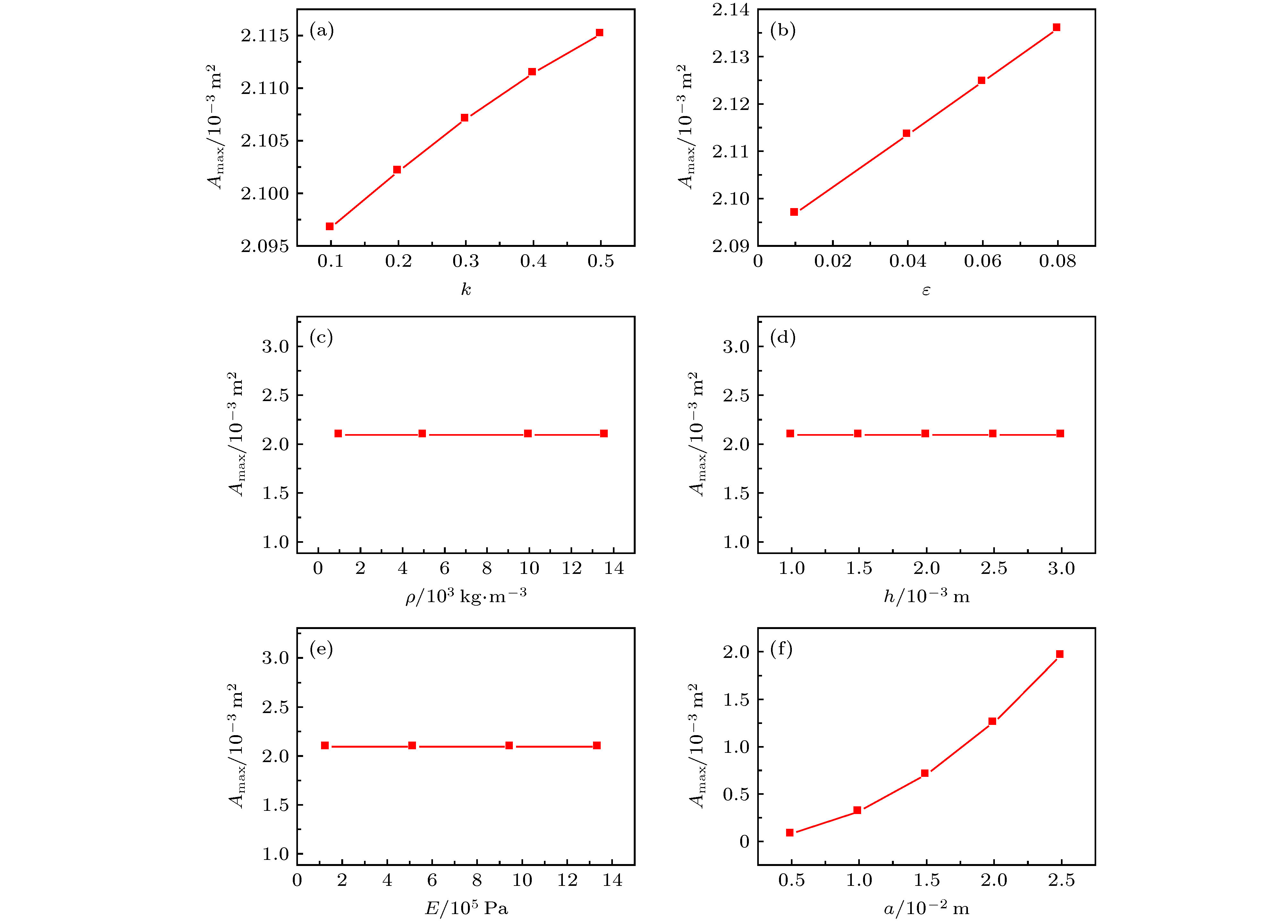
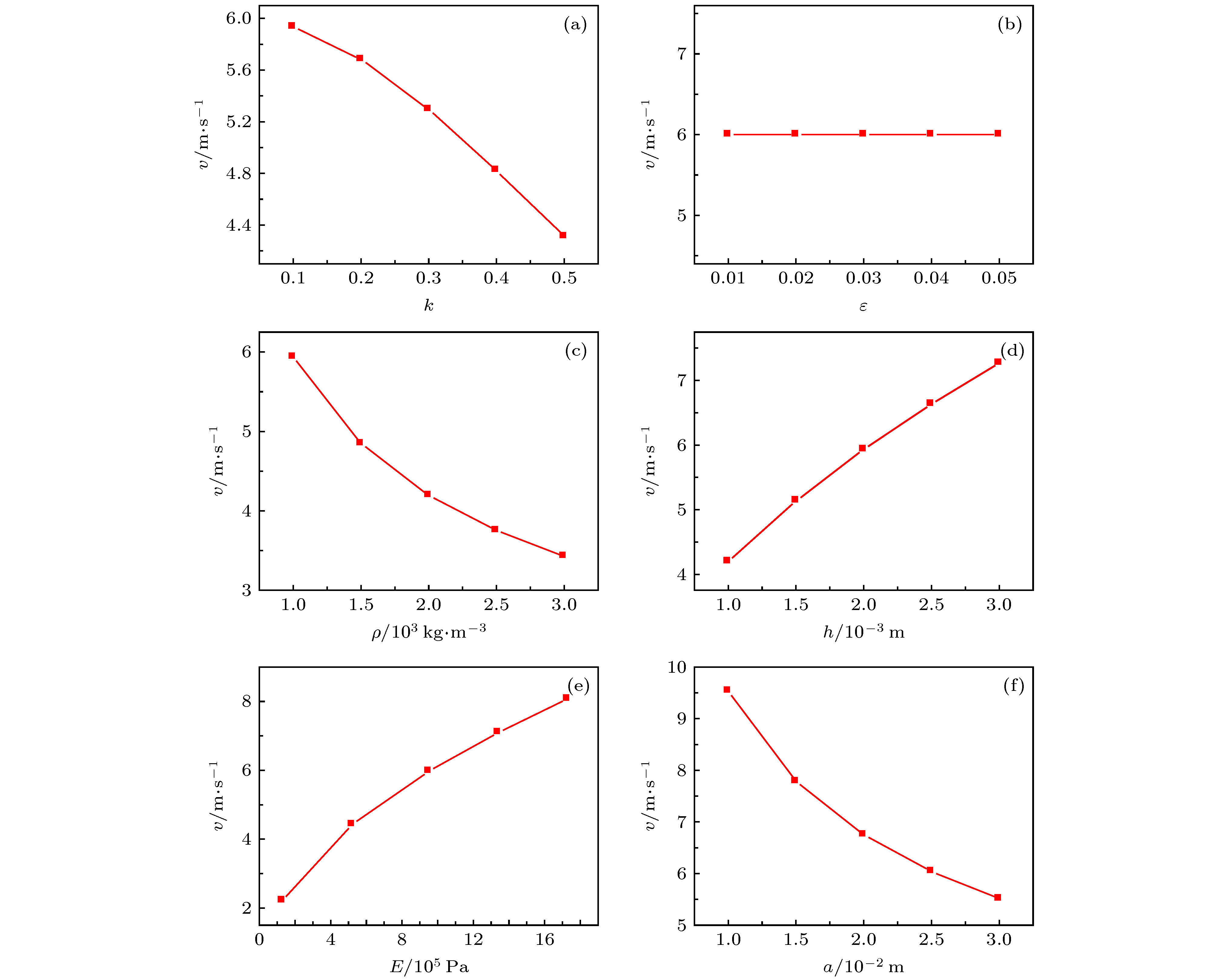
By the reductive perturbation method, we investigate the Rogue waves in a fluid-filled elastic tube. Based on a nonlinear Schrodinger equation obtained from a fluid-filled elastic tube, the rouge wave solution in the fluid-filled elastic tube is discussed. The characteristics of a single rouge waveare studied for this system. Then, the effects of the system parameters, such as the wave number k, the parameters
$\epsilon$
, the density of the fluid, the thickness of the elastic tube, the Yang's modulus of the elastic tube, and the radius of the elastic tube on the rouge wave are also investigated. Finally, the model is applied to the blood vessels of both animal and the human to ascertain the effects of the rouge wave in different arteries and vessels. The results of the present study may have potential applications in medical science.