When evaluating the plasma parameters in inertial confinement fusion, the flux-limited local Spitzer-Härm (S-H) model in radiation hydrodynamics simulations may be invalid when electron temperature gradient is too large. In other publications, the electron distribution function (EDF) could be explained by comparing the energy equipartition rate
$R_{\rm eq}=\dfrac{1}{2}m_{\rm e}v_{\rm te} ^2\nu_{\rm ee}$
with the heating rate
$R_{\rm heat}=\dfrac{1}{2}m_{\rm e}v_{\rm os} ^2\nu_{\rm ei}$
. When the condition
$R_{\rm heat}\sim R_{\rm eq}$
is satisfied, the EDF deviates from Maxwell equilibrium distribution, and is well fitted to the super-Gaussian distribution
$f({{ v}})=C_m{\rm e}^{-(v/v_m)^m}$
with the index
m(
$2
). The number of energetic electrons of the super-Gaussian distribution is less than that of the Maxwell distribution, which plays an important role in electron heat flux, especially for electrons of 3.7
$v_{\rm te}$
. So electron heat flux of the super-Gaussian distribution is smaller than that of the Maxwell distribution. In this paper, EDF and electron heat flux in laser-produced Au plasma are simulated by using 1D3V PIC code (Ascent). It is found that in the coronal region, the laser intensity is larger, and the electron temperature is lower than the high-density region. So
$\alpha=Z(v_{\rm os}/v_{\rm te})^2>1$
,
$R_{\rm heat}>R_{\rm eq}$
, the EDF is well fitted to super-Gaussian distribution, where the index
mis evaluated to be 3.34. In this region, the large electron temperature gradient leads to a small temperature scale length (
$L_{\rm e}=T_{\rm e}/(\partial T_{\rm e}/\partial x)$
), but the low e-e and e-i collision frequencies lead to a large electron mean-free-path (
$\lambda_{\rm e}$
). So the Knudsen number
$\lambda_{\rm e}/L_{\rm e}$
is evaluated to be 0.011, which is much larger than the critical value
$2\times10^{-3}$
of the S-H model, flux-limited local S-H electron heat flux is invalid. As a result, the limited-flux S-H predicts too large an electron heat flux, which results in much higher electron temperature of radiation hydrodynamics simulation than that of SG experiments. This heat flux inhibition phenomenon in coronal region cannot be explained by the flux-limited local S-H model, and non-local electron heat flux should be considered. In the high density region, the laser intensity is weaker, and the electron temperature is higher, so
$\alpha=Z(v_{\rm os}/v_{\rm te})^2<1$
,
$R_{\rm heat}
but EDF is still well fitted to super-Gaussian distribution, where the index m is evaluated to be 2.93. In this region,
$L_{\rm e}$
is larger,
$\lambda_{\rm e}$
is smaller, so the Knudsen number is smaller, which is evaluated to be
$7.58\times10^{-4}<2\times10^{-3}$
. As a result, The flux-limited local S-H electron heat flux is valid. However, the electron heat flux depends on the flux limiting factor (
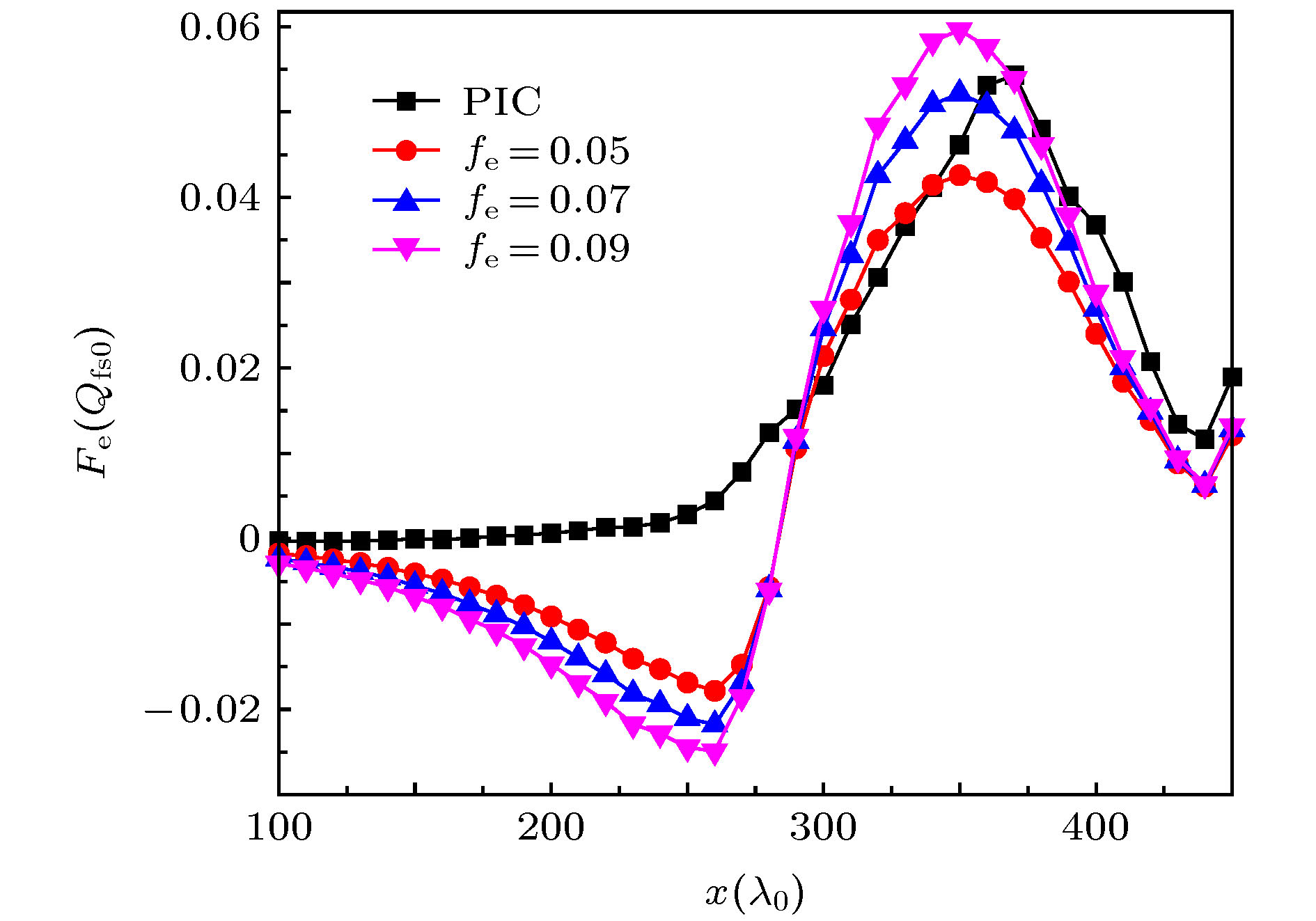
$f_{\rm e}$
) that varies with laser intensity and electron temperature.