-
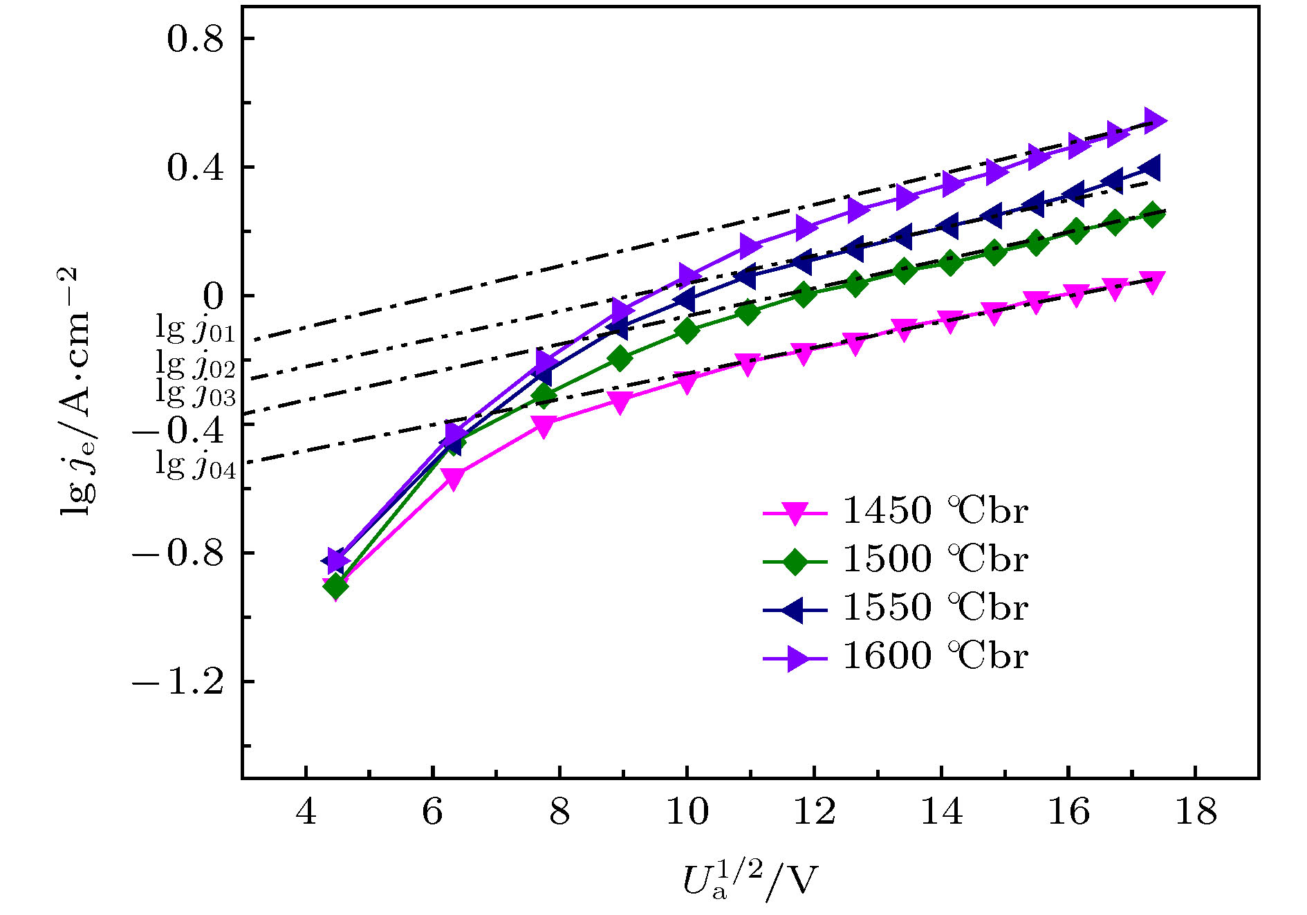
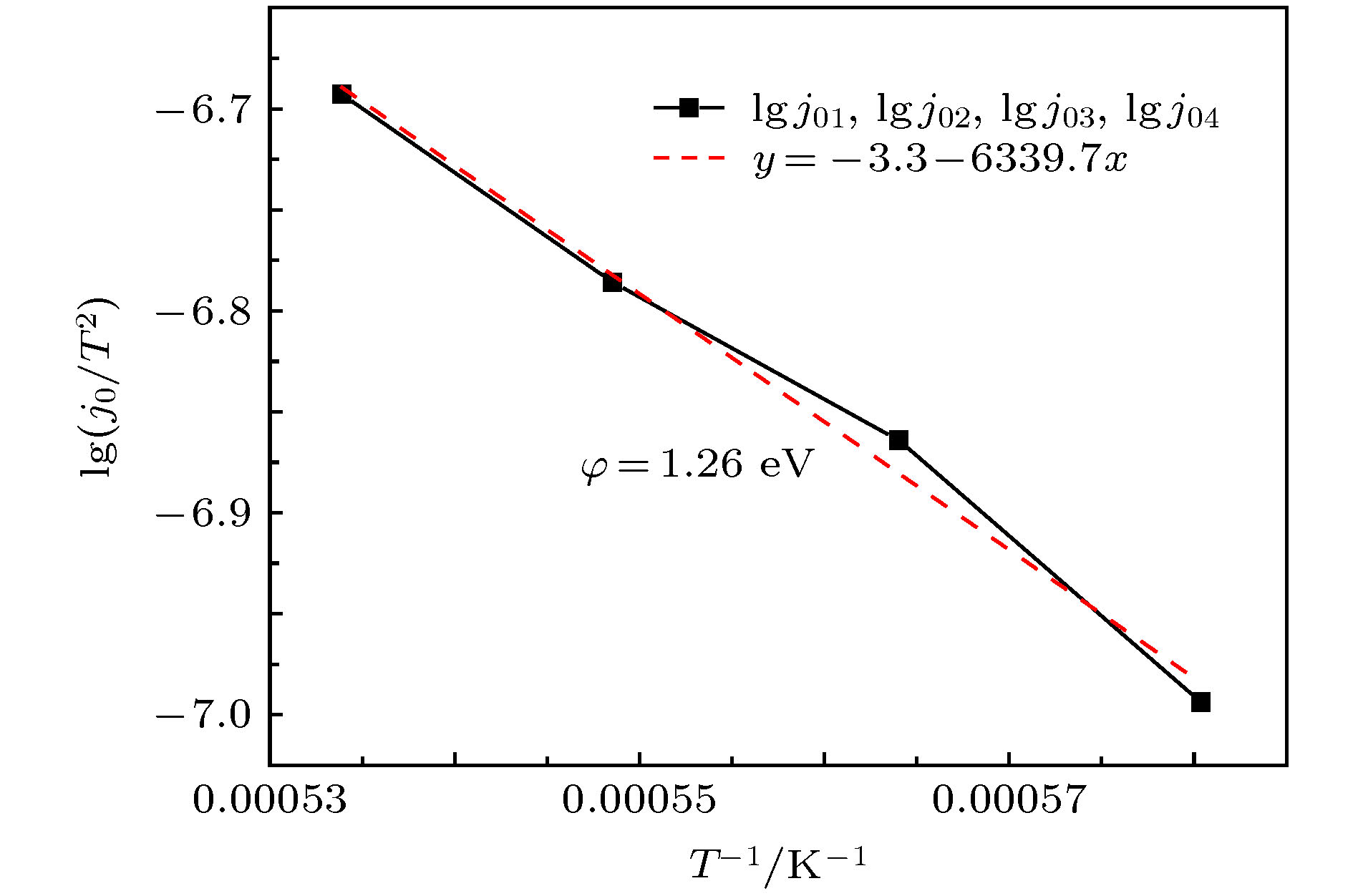
为了提高大功率磁控管的输出功率, 延长其使用寿命, 首次采用稀土氧化物Y 2O 3和过渡金属氧化物HfO 2制备大功率磁控管用Y 2Hf 2O 7(铪酸钇)陶瓷阴极, 并对该阴极的热发射特性和寿命特性等进行了测试, 热发射测试结果显示该阴极在1300, 1350, 1400, 1450, 1500, 1550, 1600 ℃br亮度温度, 300 V阳极电压下即可分别提供0.15, 0.2, 0.5, 1.1, 1.8, 2.5, 3.5 A/cm 2的发射电流密度. 利用理查森直线法求得该阴极的绝对零度逸出功为1.26 eV, 理查森-道舒曼公式法求得该阴极在1450, 1500, 1550, 1600 ℃br亮度温度下的有效逸出功分别为3.10, 3.15, 3.21, 3.26 eV. 寿命实验结果显示, 该阴极在工作温度为1400 ℃br, 直流负载为0.5 A/cm 2的条件下, 寿命超过4000 h. 最后, 利用X射线衍射仪、扫描电子显微镜、X射线能谱分析仪、俄歇电子能谱仪以及结合氩离子刻蚀技术的深度俄歇能谱仪等分别对该阴极活性物质的分子结构, 阴极表面微观形貌、元素成分及含量等进行了研究. 结果表明, 高温烧结合成了单一的铪酸钇物相, 高温烧结过程中当一种Y 3+价稀土氧化物Y 2O 3掺入Hf 4+价的过渡金属氧化物HfO 2时, 会发生离子置换固溶, 为了保持铪酸钇晶格的电中性, 晶格中就会产生一个氧空位. 当阴极在激活、老练、热发射测试时, 会加速氧空位的生成, 产生的氧空位越多, 阴极表面导电性就会越好, 这间接降低了逸出功, 从而提高了阴极的热发射能力.Nowadays, the output power and lifetime of a single magnetron are far from the requirements of industrial applications. So the new materials and methods are urgently needed to enhance the output power and prolong the lifetime of the magnetron. As the heart of a magnetron, cathode, whose quality directly affects the output power and lifetime of the magnetron, plays an important role. In order to enhance the output power and prolong the lifetime of the high power magnetron, a method of doping rare earth oxide Y 2O 3into transition metal oxide HfO 2is used to prepare Y 2Hf 2O 7ceramic cathode. The thermionic emission and lifetime characteristics of the Y 2Hf 2O 7cathode are measured. The results show that the cathode can provide 0.15, 0.2, 0.5, 1.1, 1.8, 2.5, 3.5 A/cm 2current density for the space charge limitation at 1300, 1350, 1400, 1450, 1500, 1550, 1600 ℃br under 300 V anode voltage, respectively. Absolute zero work function of the cathode is only 1.26 eV obtained by the Richardson line method. The effective work function of the cathode is 3.10, 3.15, 3.21, 3.26 eV obtained by the Richardson-Dushman formula at 1450, 1500, 1550, 1600 ℃br respectively. The lifetime of the cathode is more than 4000 h under an initial load of 0.5 A/cm 2at 1400 ℃br, the lifetime which is much longer than the 2000 h average life span for the 2450 MHz continuous wave magnetron cathode used in production. Finally, the molecular structure, surface microstructure, element composition and content of the Y 2Hf 2O 7ceramic cathode are analyzed by the X-ray diffraction, scanning electron microscope, energy dispersive spectrometer, Auger electron spectroscopy with argon ion etching respectively. The analysis results show that the single Y 2Hf 2O 7phase forms under the high sintering temperature. When the Y 3+valence Y 2O 3is doped into the Hf 4+valence HfO 2, the substitutional solid solution will form. An oxygen vacancy is generated in the lattice, thus maintaining the electrical neutrality of the Y 2Hf 2O 7lattice. During the cathode activating, aging, and thermally testing, the oxygen vacancy is generated fast. The more the obtained oxygen vacancies, the higher the conductivity of the cathode surface will be. Besides, due to the improvement of the electro-conductivity thus enhancing the thermionic emission capability of the cathode, the work function of the cathode can be reduced.
-
Keywords:
- magnetron/
- cathode/
- thermionic emission/
- lifetime/
- emission mechanism
[1] [2] [3] [4] [5] [6] [7] [8] [9] [10] [11] [12] [13] [14] [15] [16] [17] [18] [19] [20] [21] [22] [23] [24] [25] [26] -
Depth/nm Element content/at% O Y Hf C 0 47.5 21.7 13.9 17.0 3 44.2 21.8 15.0 19.0 5 36.0 20.2 20.9 22.9 10 36.1 23.0 20.0 20.9 35 31.3 32.3 23.3 13.4 100 50.0 18.0 19.4 12.5 200 49.3 23.8 18.2 8.7 500 43.0 24.5 21.9 10.6 -
[1] [2] [3] [4] [5] [6] [7] [8] [9] [10] [11] [12] [13] [14] [15] [16] [17] [18] [19] [20] [21] [22] [23] [24] [25] [26]
计量
- 文章访问数:8372
- PDF下载量:60
- 被引次数:0












下载:












