Optical scatterometry, as a fast, low-cost, and non-contact measurement instrument, is widely used in the profile characterization of nanostructure in the semiconductor manufacturing industry. In general, it involves two procedures, i.e. the forward optical modeling of sub-wavelength nanostructures and the reconstruction of structural profiles from the measured signatures. Here, the general term signature means the scattered light information from the diffractive grating structure, which can be in the form of reflectance, ellipsometric angles, Stokes vector elements, or Mueller matrix elements. The profile reconstruction process is an inverse problem with the objective of optimizing a set of floating profile parameters (e.g., critical dimension, sidewall angle, and height) whose theoretical signatures can best match the measured ones through regression analysis or library search.
During solving the inverse problem, the refractive index and distinction coefficient of the material of nanostructure are assumed to be constants and they are generally fixed. This assumption is valid for most of the materials in semiconductor industry, but not for certain materials that are very photosensitive. That is, the optical constants of photosensitive materials may vary with the illumination time of the incident light beam in spectroscopic ellipsometer, and the error caused by the variation of optical constants propagates to the final extracted results of structural profiles, which should not be neglected, especially for high precision and accuracy metrology.
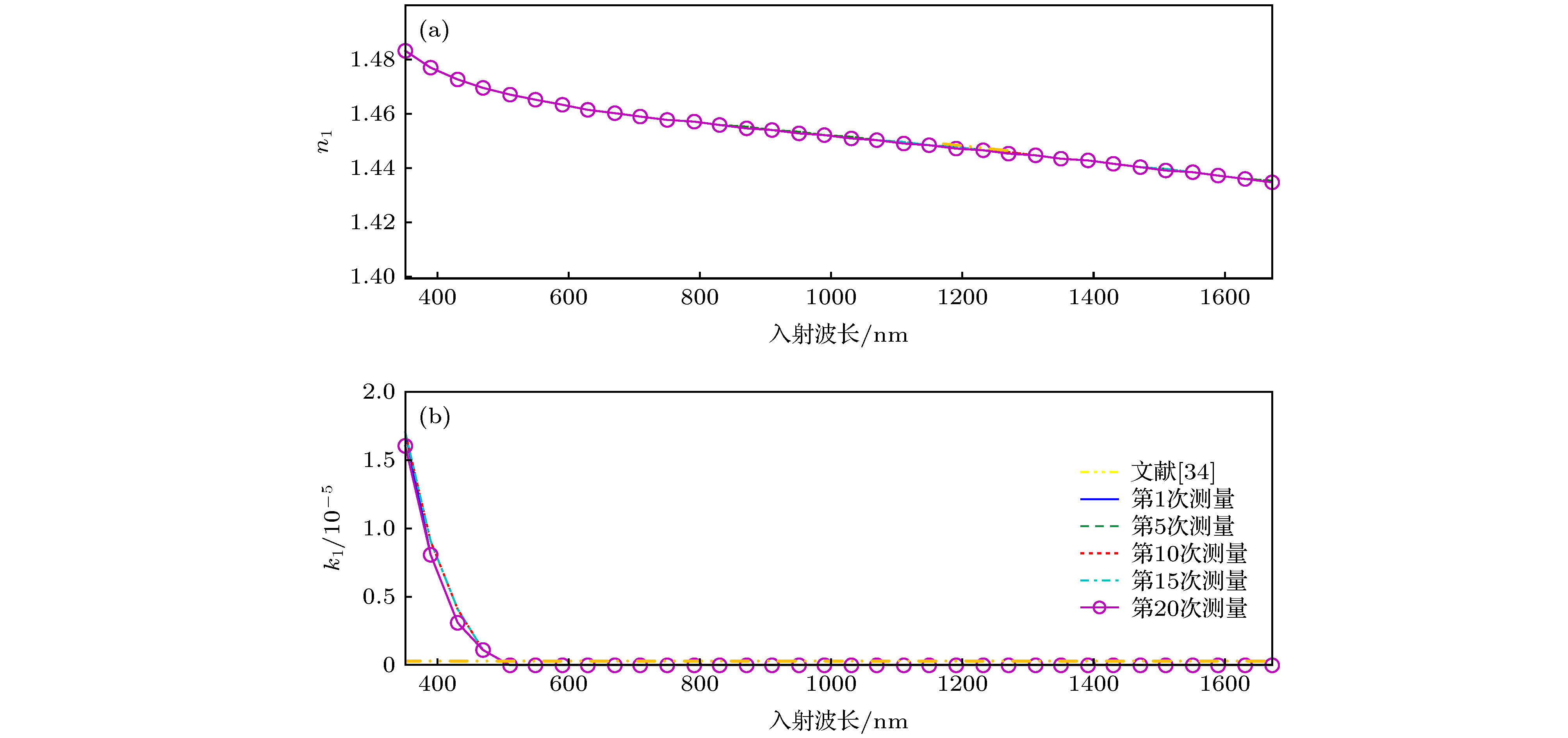
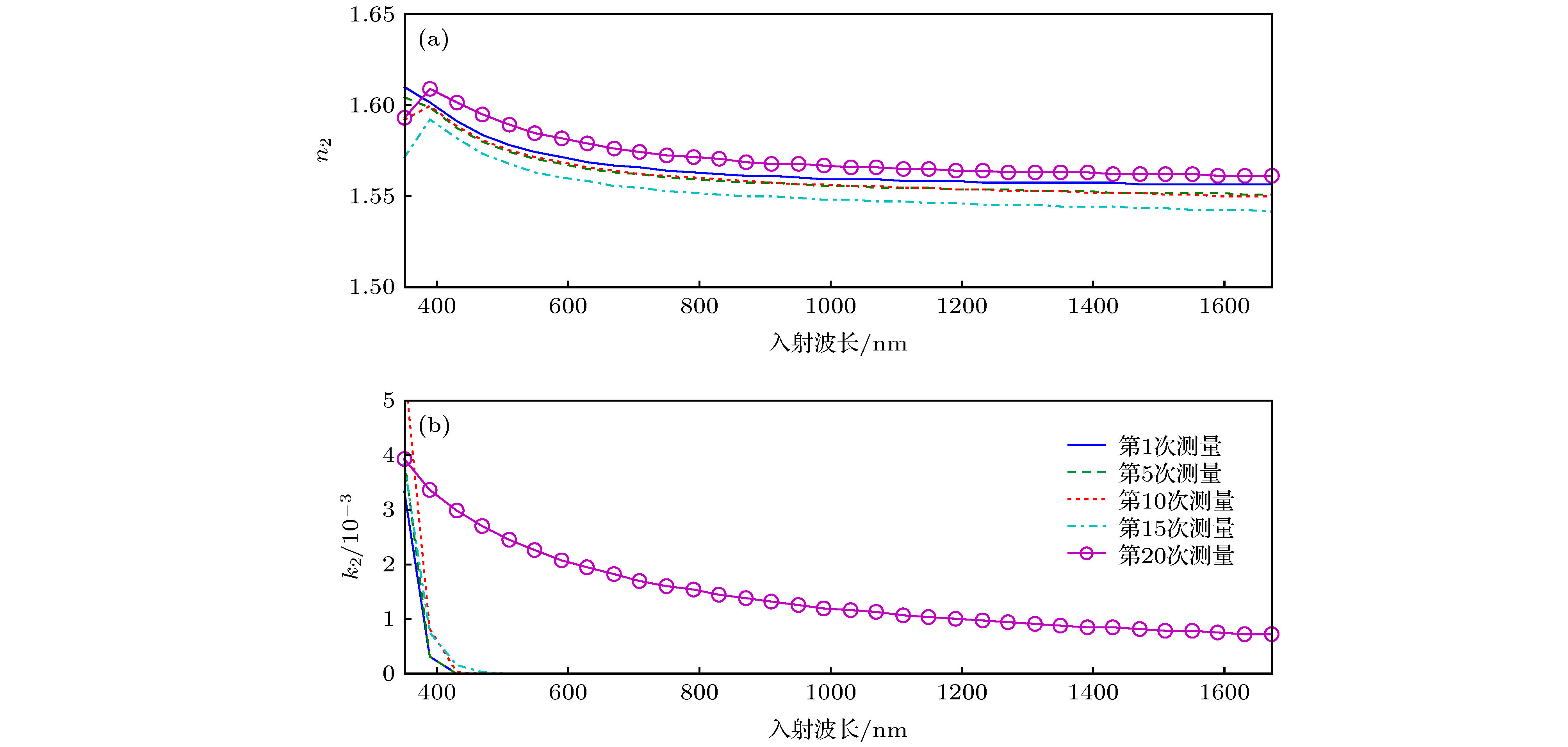
Experiments performed on SiO
2and polymethyl methacrylate (PMMA) thin films are conducted and demonstrate that the extracted geometric parameters and optical constants of SiO
2film do not change with illumination time increasing, while the twenty groups of values of extracted refractive index
nand distinction coefficient
kof PMMA resist film vary obviously, and the difference between the extracted maximum and minimum film thickness has reached 40.5 nm, which to some extent illustrates that the above assumption is not valid for PMMA resist, so that the incident light beam of spectroscopic ellipsometer has a great influence on the extracted film thickness. Further, simulations based on a three-dimensional PMMA grating also indicate that the error of optical constant has considerably transferred to the extracted profile parameters. This finding is of significance for improving the accuracy of nanostructure characterization in optical scatterometry.