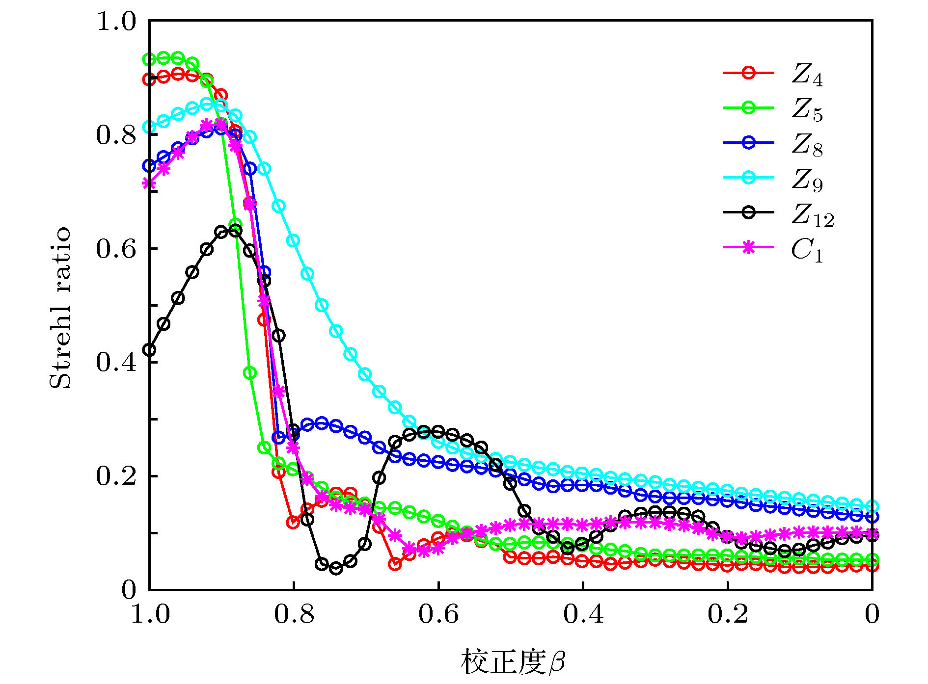
In the field of astronomical high resolution imaging, adaptive optical correction and image restoration are necessary, and these two techniques can be used either separately or jointly to improve the quality of observed images. However, for a long time, adaptive optics and image restoration technology have been developing independently because they belong to different research fields, and even though they are combined together, it is just a simple splicing of the two technologies, with no crossover between the two. Such a control method results in adaptive optical correction producing only the best possible intermediate result—optical imaging, but is out of control for the final result—restored image. Therefore, it is of great significance to study a control method that combines the two methods in order to obtain the high-quality restored image. In this paper, the traditional hybrid method (adaptive optics + image post-deconvolution) is analyzed and its defects are expounded. The idea of combining adaptive optics and image restoration for system analysis is proposed for the first time, and the concept of correction degree of deformable mirror (the scaling ratio of control voltage of deformable mirror to that of traditional control voltage) is proposed. By changing the degree of correction, the correction residual of the deformation mirror and the detection error of the wavefront sensor can be adjusted. It is proved that there exists an optimal value of the quality of the reconstructed image in the direction of reducing correction degree, and a new control method is obtained by using the optimal correction degree to correct the control voltage of the deformation mirror. For the application in point target imaging, the simulations are carried out with 37-element and 61-element deformable mirrors under several typical wavefront aberrations, and the results show that this method can obtain a better restoration image than traditional methods. This method has more potential applications in adaptive optical systems with large fitting residuals. The idea that adaptive optics and image restoration are considered as a whole, has not been reported in the literature before, so the work of this paper provides a new way of thinking for the research in related fields.