-
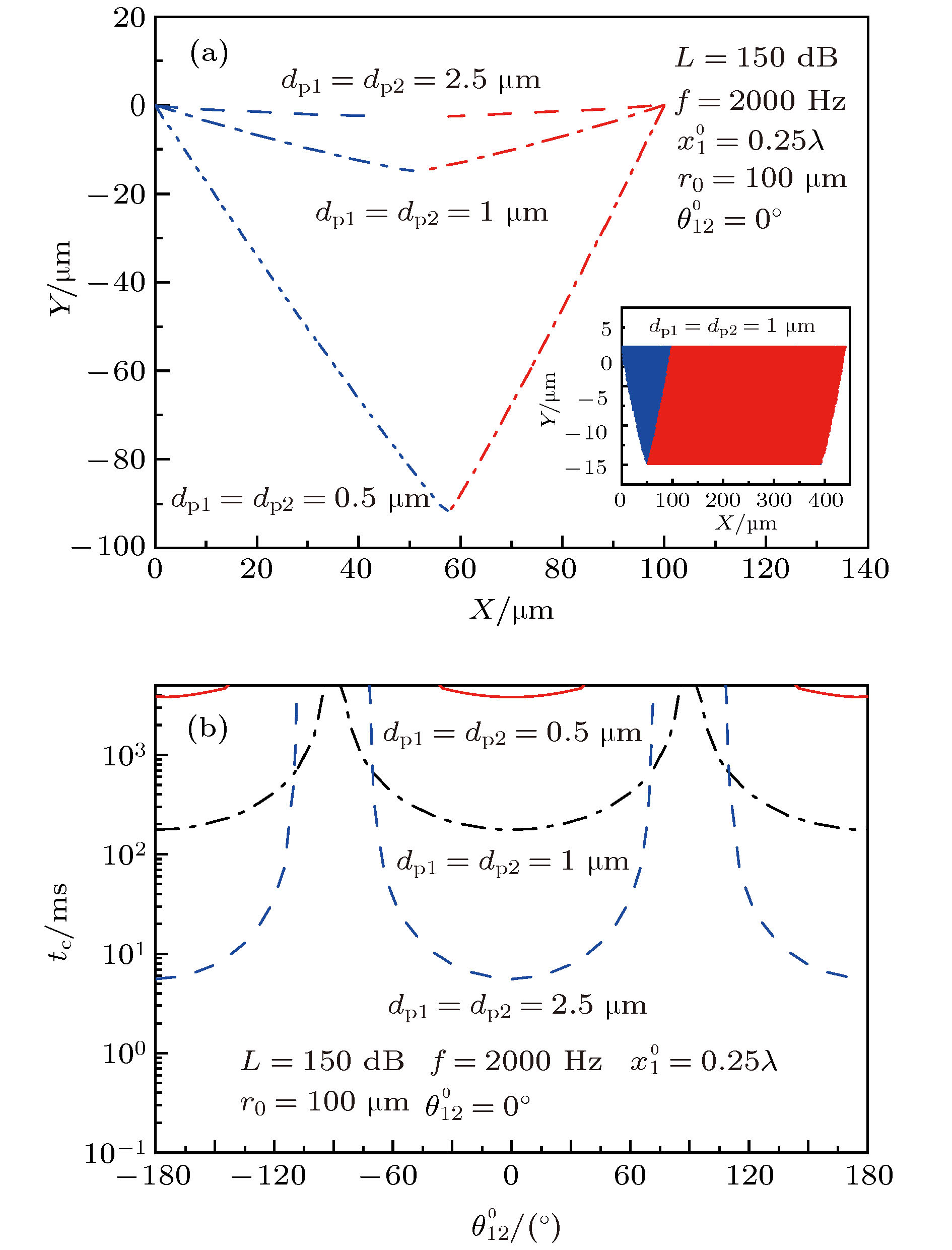
利用外加声场促进悬浮在气相中的细颗粒发生相互作用, 进而引起颗粒的碰撞和凝并, 使得颗粒平均粒径增大、数目浓度降低, 是控制细颗粒排放的重要技术途径. 为探究驻波声场中单分散细颗粒的相互作用, 建立包含曳力、重力、声尾流效应的颗粒相互作用模型, 采用四阶经典龙格-库塔算法和二阶隐式亚当斯插值算法对模型进行求解. 将数值模拟得到的颗粒声波夹带速度和相互作用过程与相应的解析解和实验结果进行对比, 验证模型的准确性. 进而研究颗粒初始条件和直径对相互作用特性的影响. 结果表明, 初始时刻颗粒中心连线越接近声波波动方向、颗粒位置越接近波腹点, 颗粒间的声尾流效应就越强, 颗粒发生碰撞所需要的时间就越短. 研究还发现, 颗粒直径对颗粒相互作用的影响取决于初始时刻颗粒中心连线偏离声波波动方向的程度. 当偏离较小时, 颗粒直径越大, 颗粒发生碰撞所需要的时间越短; 当偏离很大时, 直径较小的颗粒能够发生碰撞, 而直径较大的颗粒则无法发生碰撞.The external acoustic field can be used to promote the interactions between fine particles suspended in the gas phase. Due to the particle interaction, collision and agglomeration between fine particles occur, causing the average particle size to increase and the particle number concentration to decrease. This offers an important technical route to controlling the emissions of fine particles. However, the interaction behaviors between the fine particles under the acoustic field are still not well understood, which severely hinders the technology from developing for fine particle emission control by using acoustic agglomeration. In order to reveal the interaction between monodisperse fine particles in a standing wave acoustic field, a particle interaction model with consideration of the drag force, gravity and acoustic wake effect is developed. The particle motion equations in the model are solved by using the classical Runge-Kutta method combined with the second-order implicit Adams interpolation method. The particle velocity due to acoustic entrainment and the interaction process between particles obtained from the numerical simulation are compared with the corresponding analytical solutions and experimental results to validate the accuracy of model prediction. Good agreement is found, which indicates that the model and the numerical method are capable of accurately predicting the interaction between fine particles in the standing wave acoustic field. On this basis, the effects of initial conditions and diameters of particles on the interaction behaviors are explored. The results show that when the initial particle centerline is closer to the acoustic wave direction or the initial particle position is closer to the wave antinode, the acoustic wake effect between the particles becomes stronger, and shorter time is required for particles to collide. It is also found that the influence of particle diameter on particle interaction depends on the initial deviation of particle centerline from the acoustic wave direction. When the deviation is small, the larger the particle diameter, the shorter the time required for particles to collide is. When the deviation is large, the collision between particles with smaller diameters occurs, while the collision between particles with larger diameters may not occur.
-
Keywords:
- fine particles/
- particle interaction/
- standing wave/
- acoustic field
[1] [2] [3] [4] [5] [6] [7] [8] [9] [10] [11] [12] [13] [14] [15] [16] [17] [18] [19] [20] [21] [22] [23] [24] [25] [26] [27] -
[1] [2] [3] [4] [5] [6] [7] [8] [9] [10] [11] [12] [13] [14] [15] [16] [17] [18] [19] [20] [21] [22] [23] [24] [25] [26] [27]
计量
- 文章访问数:6531
- PDF下载量:99
- 被引次数:0












下载:




