YBa
2Cu
3O
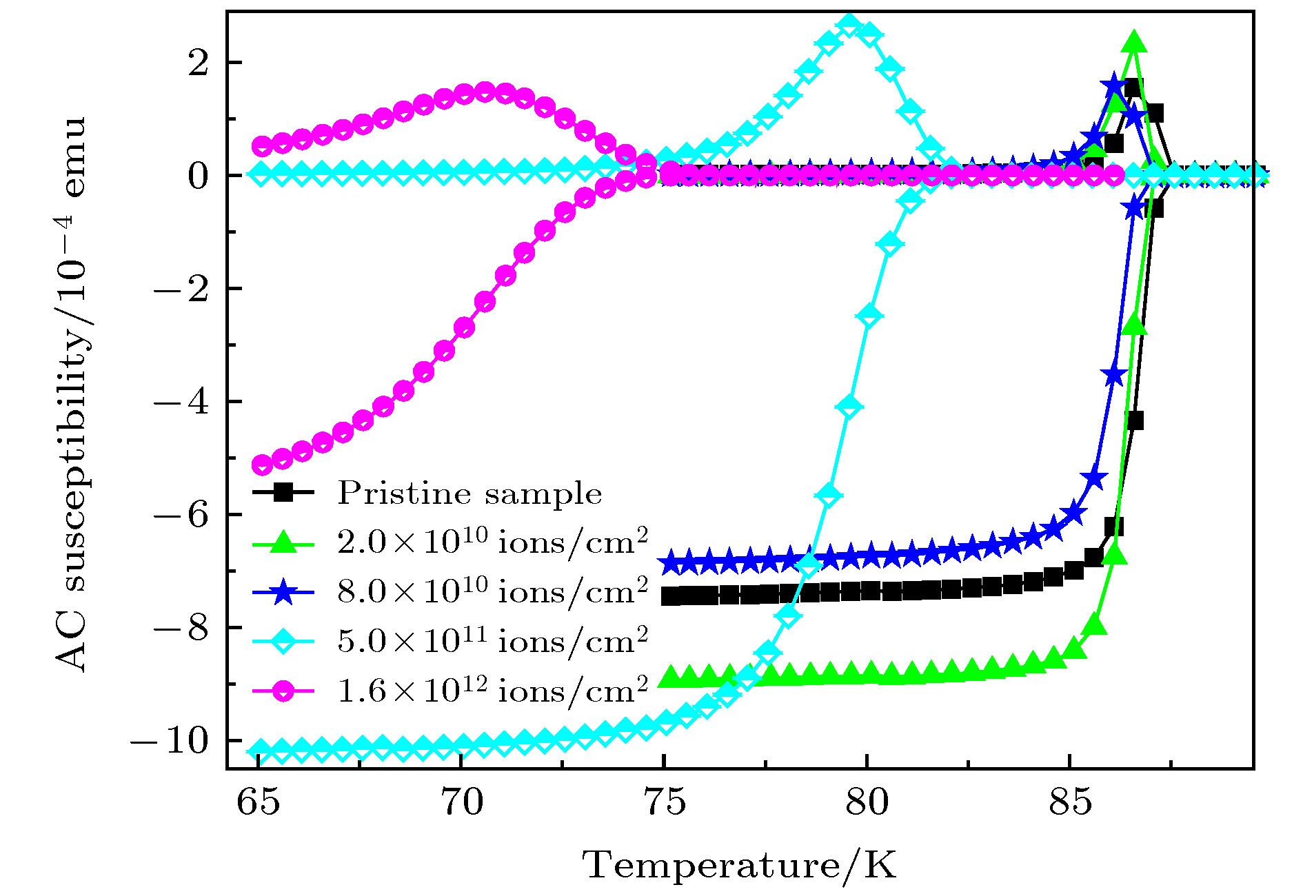
7−δ(YBCO) high temperature superconductor materials have many promising applications in energy, transportation and so on. Nonetheless, the application of YBCO in high magnetic field was limited because of low critical current. One-dimensional latent tracks produced by swift heavy ions irradiation can be effective pinning centers, thus enhancing superconductivity in external field. YBCO high temperature superconducting films were irradiated with 1.9 GeV Ta ions at room temperature and vacuum condition. Structure damages in irradiated samples were characterized by transmission electron microscopy (TEM). Continuous amorphous latent tracks, with diameter from 5 nm to 15 nm, throughout the whole superconducting layer can be observed from TEM images. Physical property measurement system (PPMS) was used to measure superconducting properties of samples before and after irradiation. When irradiated at optimal fluence of 8 × 10
10ions/cm
2, critical current reaches its maximum value and pinning force was twice of unirradiated sample, while critical temperature almost unchanged. The analysis of experimental results shows that latent tracks produced by swift heavy ions irradiation can enhance in-field current-carrying capability, without decreasing critical temperature. In the power-law regime
${J_c} \propto {B^{ - \alpha }}$
values of
ɑdecreased with the increasing of fluence, indicating a weaker magnetic field dependence of critical current.
ɑreaches its lowest value 0.375 when irradiated at a fluence of 5.0 × 10
11ions/cm
2, corresponding to a lowest in-field
Jc. This result may be a combination of increasing pinning centers and decreasing superconductor volumes that work together. Normalized pinning force
f
p=
F
p/
F
p,maxof sample irradiated with different fluence as a function of magnetic field
h=
H/
H
maxwas analyzed using Higuchi model. Fitting results show that planar defects are main source of pinning when
h> 1, independent of irradiation. Whereas, dominate pinning centers shifting from surface pinning to isotropic normal point pinning with increasing fluence when
h< 1. Given that latent tracks produced by Ta ions irradiation act as strong anisotropic pinning centers, the reason of the dominate pinning centers change with increasing fluence remains to be further studied.