-
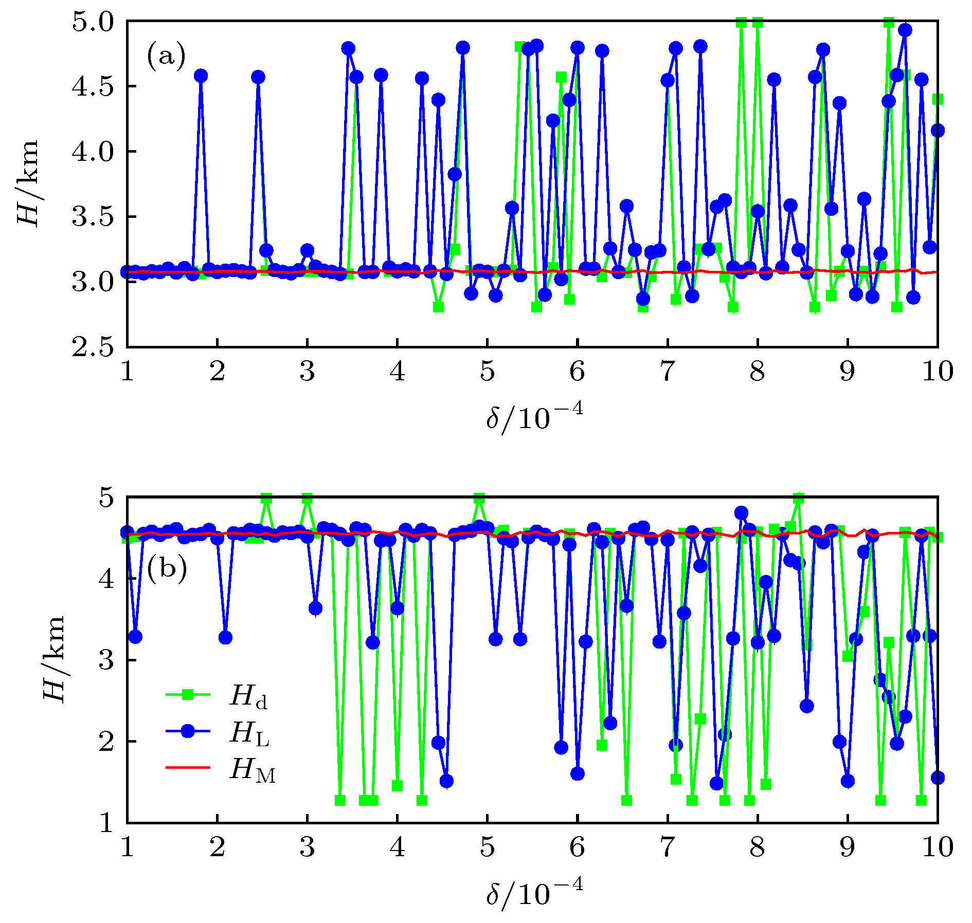
提出了一种确定大气边界层顶高度的数值微分新方法, 该方法使用了正则化技术, 把对弯角廓线求导数的数值微分问题转化为求目标泛函极小值的问题, 采用双参数模型函数方法来选择正则化参数, 最后利用最大梯度法确定边界层顶高度. 首先通过两个数值实验验证了新方法的有效性, 实验结果显示, 随着掩星资料噪音的增多, 由差分法和结合L曲线方案的数值微分方法得到的边界层顶高度波动增大, 而通过双参数模型函数方法得到的高度很稳定, 这说明新方法能够很好地过滤噪音, 从而保留廓线的主要信息. 随后基于2007—2011年1, 4, 7, 10月的COSMIC弯角数据, 利用新方法分析了全球海洋大气边界层顶高度的季节特征, 并与用掩星资料自带的大气边界层顶高度数据zbalmax得到的季节分布进行对比. 结果表明, 两者的季节分布特征十分一致: 海温相对周围海域高的区域, 边界层顶高度较高, 反之, 边界层顶高度较低; 在暖流经过的海域, 边界层顶高度较高, 在寒流经过的海域, 边界层顶的高度相对较低.In this paper, we propose a new method of numerical differentiation to determine the height of the top layer of the atmospheric boundary layer. In this method, a regularization technique is used to convert the problem of calculating the differential of the curve of the corners into the problem of finding the minimum value of the objective function. The two-parameter model function method is used to select the regularization parameters. Finally, the maximum gradient method is used to determine the top height of the boundary layer. Firstly, the effectiveness of the new method is validated through two numerical experiments. The experimental results show that as the noise of the occultation data increases, the fluctuation of the height of the boundary layer top obtained by the difference method and the numerical differentiation method combined with the L curve scheme increases. And the height obtained by the two-parameter model function method is very stable, which shows that the new method can filter the noise well, thereby retaining the main information about the profile. Then, based on the COSMIC angle data in January, April, July and October 2007-2011, the new method is used to analyze the seasonal characteristics of the height of the global oceanic and atmospheric boundary layer, compared with the seasonal distribution obtained by “zbalmax” with the occultation data. The results show that the seasonal distribution characteristics of the two data are very consistent: the height of the boundary layer is higher in the area where the sea surface temperature is higher than that in the surrounding sea area; on the contrary, the height of the boundary layer top is lower. In the sea area where the warm current passes, the height of the boundary layer is higher; in the sea area where the cold current passes, the height of the boundary layer is lower.
-
Keywords:
- boundary layer height/
- regularization method/
- two-parameter model function method/
- bend angle gradient
[1] [2] [3] [4] [5] [6] [7] [8] [9] [10] [11] [12] [13] [14] [15] [16] [17] [18] [19] [20] [21] [22] [23] [24] [25] [26] [27] [28] [29] [30] [31] [32] [33] [34] [35] [36] [37] [38] [39] [40] -
[1] [2] [3] [4] [5] [6] [7] [8] [9] [10] [11] [12] [13] [14] [15] [16] [17] [18] [19] [20] [21] [22] [23] [24] [25] [26] [27] [28] [29] [30] [31] [32] [33] [34] [35] [36] [37] [38] [39] [40]
计量
- 文章访问数:8887
- PDF下载量:149
- 被引次数:0












下载:




