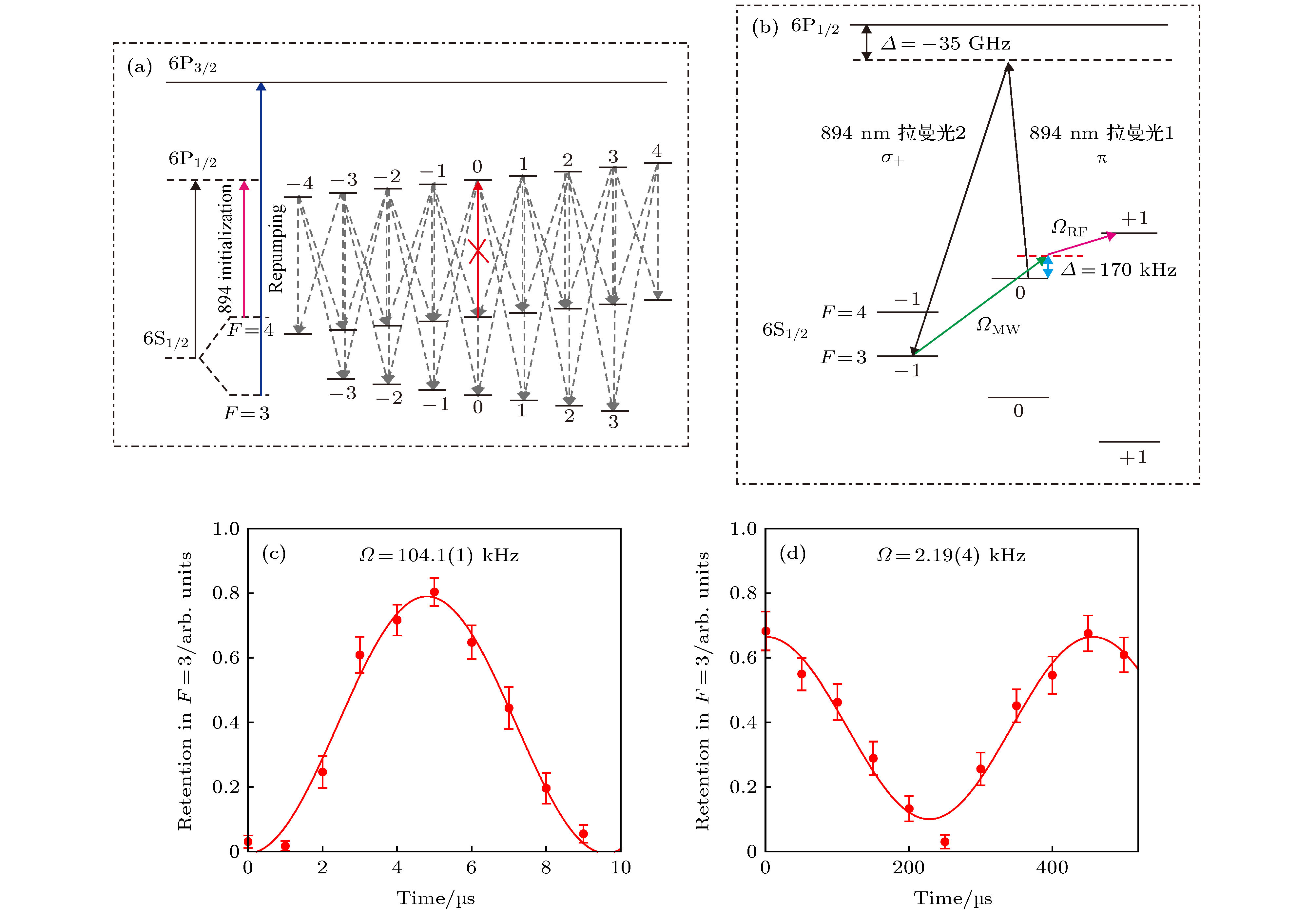
Qubit encoded in single neutral atoms is a basic experimental platform for studying the quantum computation, quantum information processing and quantum simulation. The extension of the coherence time has been an important task in recent years. On the basis of the single cesium neutral atom trapped in blued-detuned dipole trap, we study the coherence time of a qubit, which is encoded in a pair of magnetically insensitive ground states of cesium atom (
$\left| {\rm{0}} \right\rangle = \left| {{\rm{6}}{{\rm{S}}_{1/2}},F = 3,{m_F} = - 1} \right\rangle $
and
$\left| 1 \right\rangle = \left| {{\rm{6}}{{\rm{S}}_{1/2}},F = 4,{m_F} = + 1} \right\rangle $
), in the “magic” magnetic field condition. By adopting a two-photon process, in which a microwave photon and an RF photon are used, we obtain the coherence manipulation of the qubit. The dependence of differential energy shift on magnetic field is experimentally studied, and the “magic” magnetic field is determined. In this magic condition, the first derivative of differential energy shift between
$\left| {\rm{0}} \right\rangle = \left| {{\rm{6}}{{\rm{S}}_{1/2}},F = 3,{m_F} = - 1} \right\rangle $
and
$\left| 1 \right\rangle = \left| {{\rm{6}}{{\rm{S}}_{1/2}},F = 4,{m_F} = + 1} \right\rangle $
in quantized magnet field is zero, which means that the qubit is immune to the fluctuation of magnetic field and the coherence time can be substantially prolonged. The experimentally obtained magic magnetic field is
B= 1.4(2) Gauss, which is in good agreement with the theoretical calculation value
B= 1.393 Gauss. Finally, we measure the qubit coherence time by setting the quantized magnetic field to be at magic point
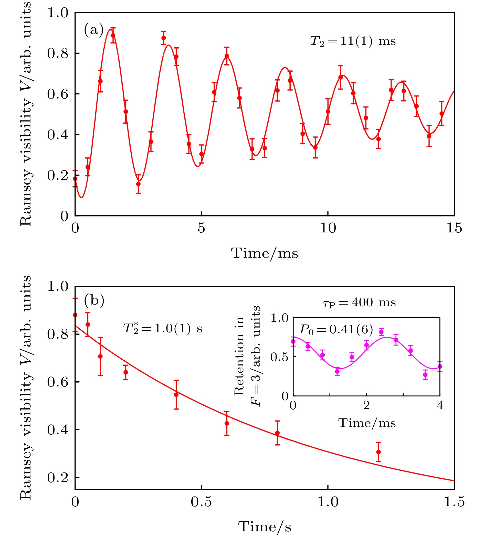
B= 1.396 Gauss. The qubit coherence time is measured to be 11(1) ms by Ramsey interferometer, where the main decoherence factor is the inhomogeneous dephasing due to the atomic motion in the dipole trap. This incoherence factor can be dramatically suppressed by a spin-echo process where an additional π-pulse is inserted in between the two π/2 pulses. At the magic magnetic point the qubit coherence time can be extended to 1 s by the spin-echo method.