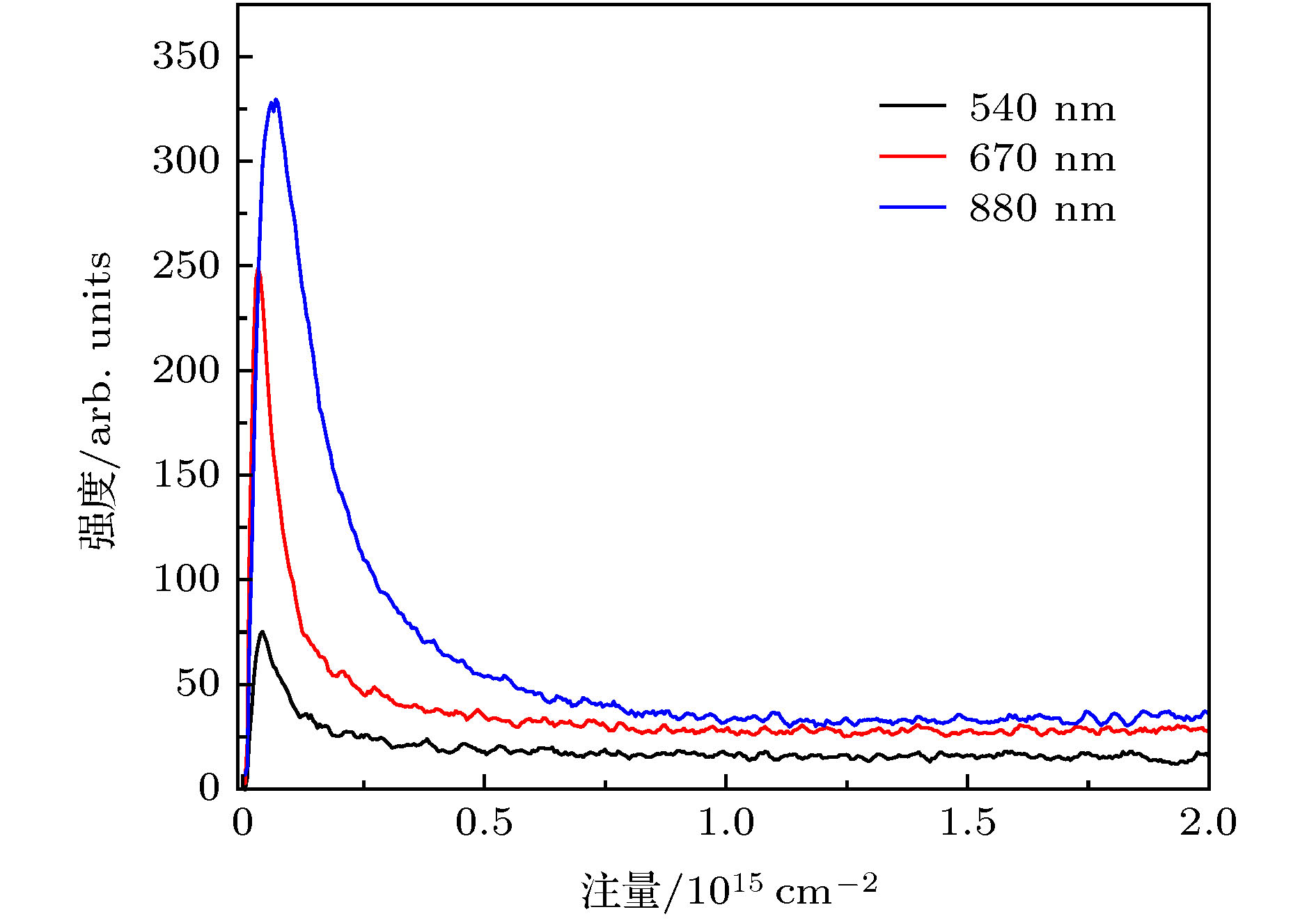
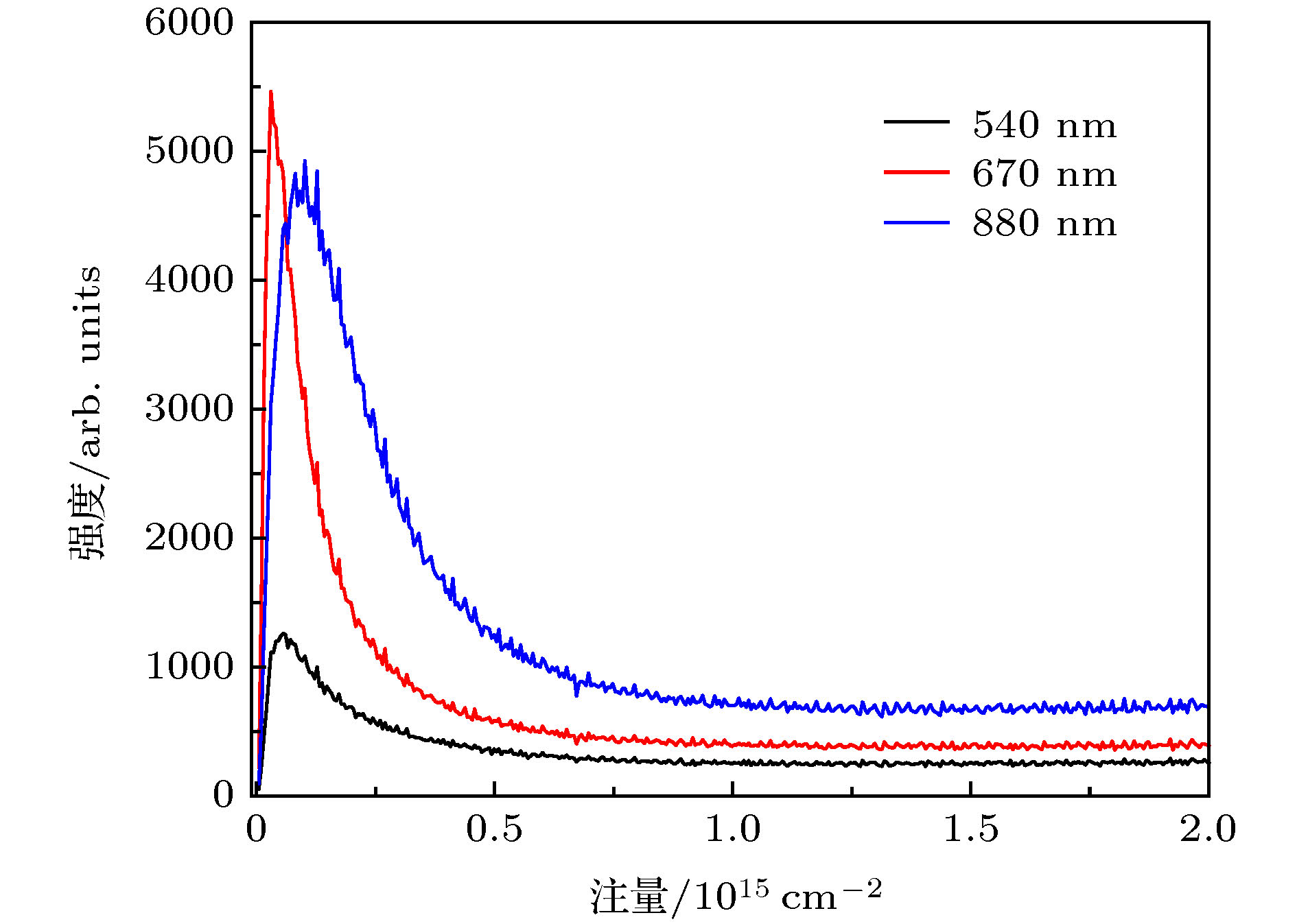
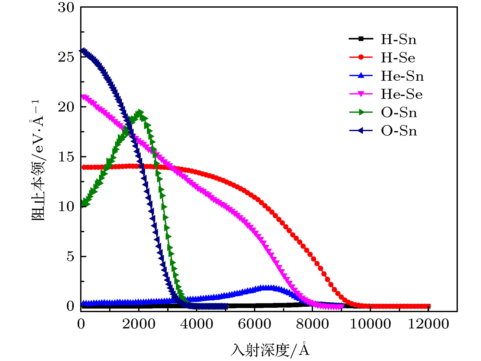
To contrast the generation and their evolution behaviors of irradiation damage in lithium fluoride under various ion, in situ luminescence measurements from lithium fluoride are carried out under 100 keV H
+, He
+and O
+on the ion beam induced luminescence(IBIL) experimental setup on BNU400 ion implanter. Combined with Stopping and Range of Ions in Matter (SRIM) calculation of 100 keV H
+, He
+and O
+stopping power in lithium fluoride, the emission intensity under He
+is the strongest,due to the higher excitation density of electron-hole pairs than them under H
+and the rising non-radiative recombination ratio under heavy ion O
+. With the mass number increase of the incident ion, the nuclear stopping power would be increased, resulting in the faster rate of both formation and annihilation of point defects、the lower fluence for F-type centers reaching the highest intensity and the weaker luminescence intensity at the state of equilibrium. The irradiation resistance of
$ \rm F_3^{-}/F_2^+ $
centers at 880 nm are better than the F
2centers at 670 nm, shown not only in the slower formation and annihilation rates of
$ \rm F_3^{-}/F_2^+ $
centers but also the higher luminescence intensity of
$ \rm F_3^{-}/F_2^+ $
centers under heavy ion O
+.