搜索

x

留言板

姓名
邮箱
手机号码
标题
留言内容
验证码

downloadPDF
引用本文:
Citation:

    吐达洪·阿巴, 屈瑜, 白俊冉, 张中月

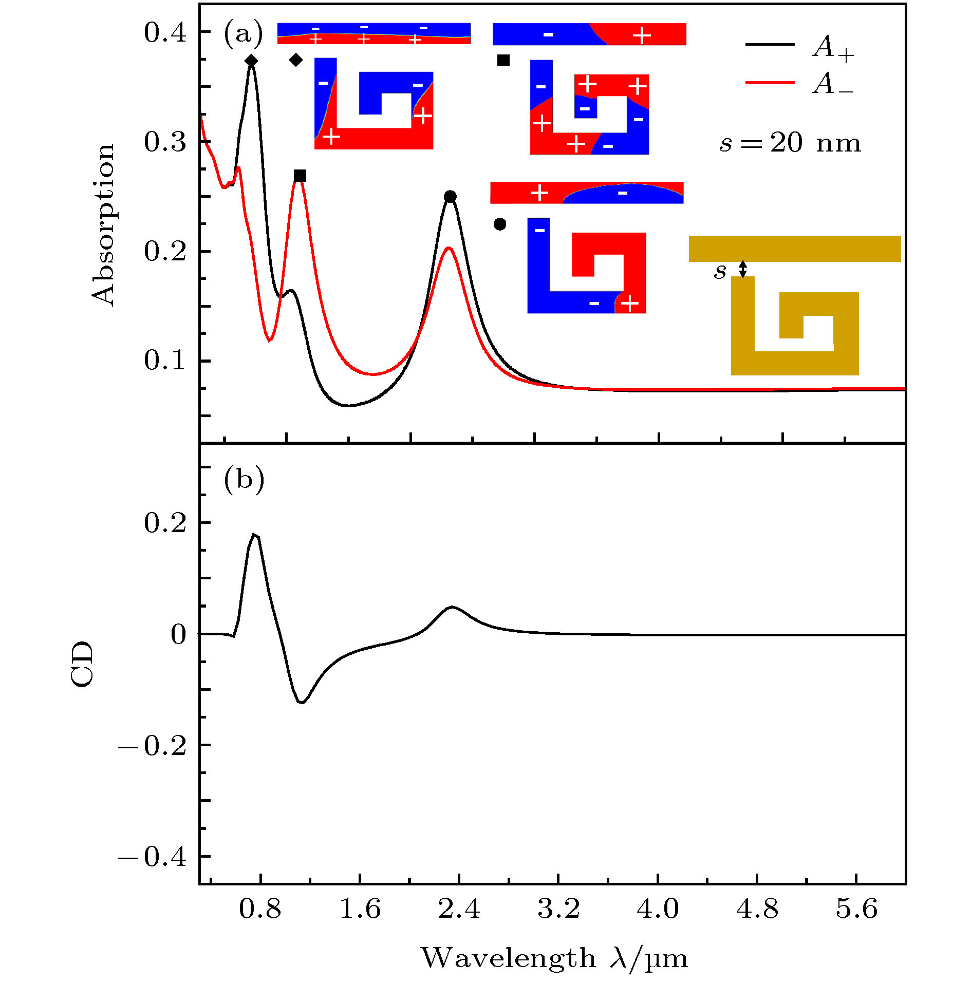
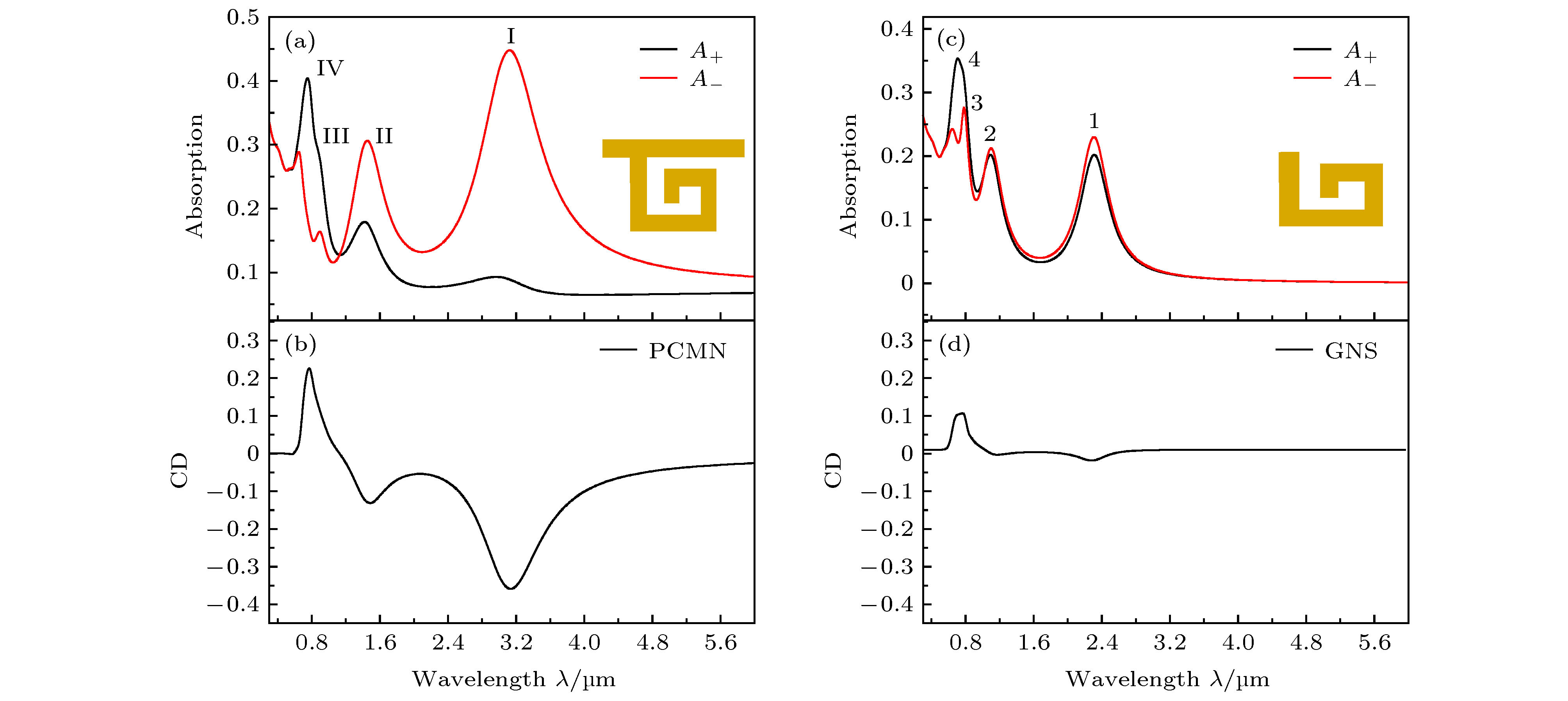
    Studies of circular dichroism of planar composite metal nanostructure arrays

    Tudahong Aba, Qu Yu, Bai Jun-Ran, Zhang Zhong-Yue
    PDF
    HTML
    导出引用
    计量
    • 文章访问数:7361
    • PDF下载量:150
    • 被引次数:0
    出版历程
    • 收稿日期:2020-01-18
    • 修回日期:2020-03-17
    • 刊出日期:2020-05-20

      返回文章
      返回