-
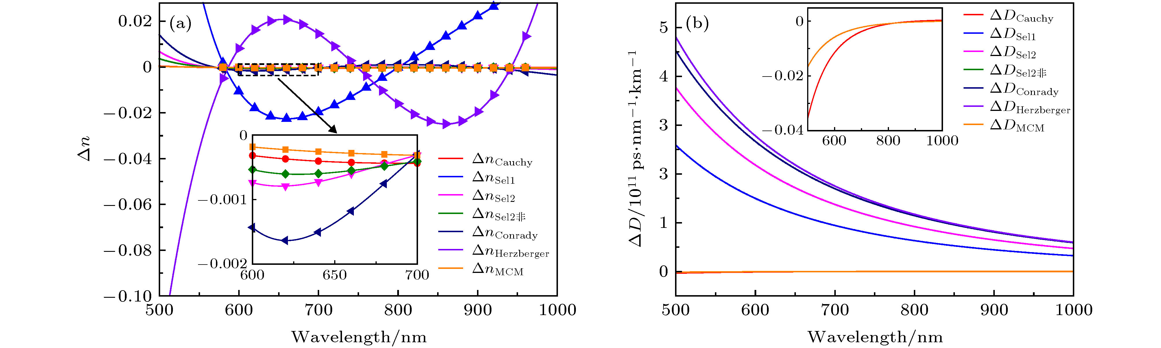
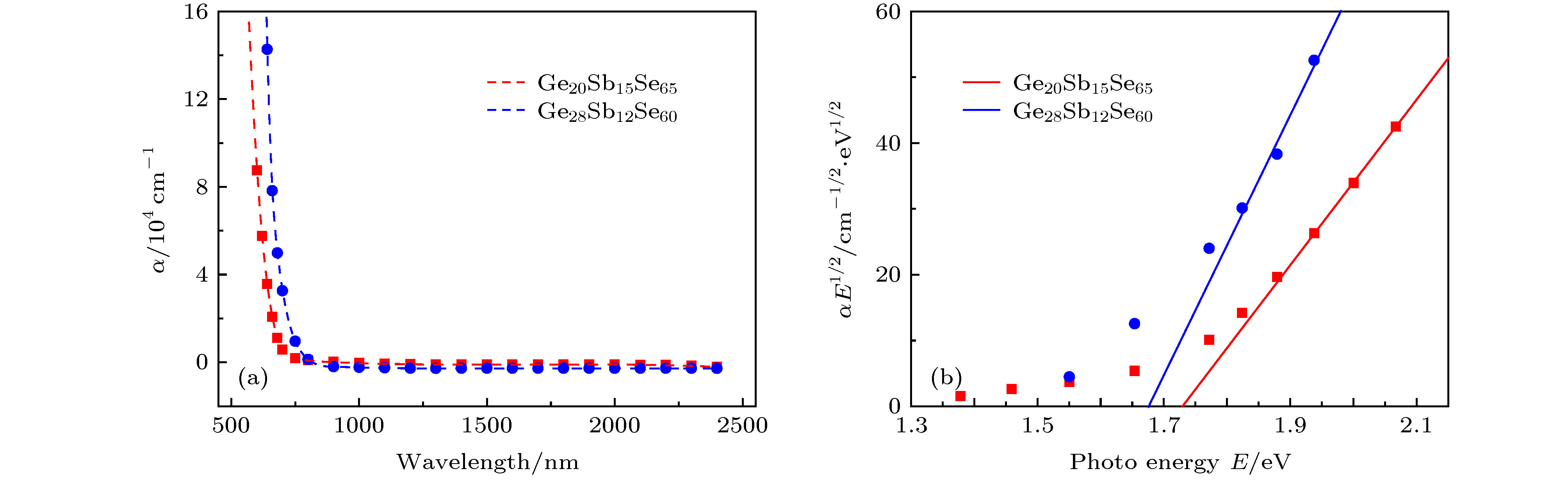
提出一种综合利用区域逼近法和柯西拟合法精确获取Ge 20Sb 15Se 65薄膜和Ge 28Sb 12Se 60薄膜透射光谱范围内任意波长处折射率与色散的多点柯西法, 并从理论上证明了该方法的准确性. 实验上, 采用磁控溅射法制备了这两种Ge—Sb—Se薄膜, 利用傅里叶红外光谱仪测得了透射光谱曲线, 运用分段滤波的方法去除噪声, 然后使用多点柯西法得到了这两种薄膜在500—2500 nm波段的折射率、色散、吸收系数和光学带隙. 结果表明Ge 28Sb 12Se 60薄膜的折射率和吸收系数大于Ge 20Sb 15Se 65薄膜, Ge 28Sb 12Se 60薄膜的光学带隙小于Ge 20Sb 15Se 65薄膜. 最后, 利用拉曼光谱对两种薄膜的微观结构进行了表征, 从原子之间的键合性质解释了这两种硫系薄膜不同光学性质的原因.Multipoint Cauchy method (MCM) is presented to investigate the refractive index and dispersion for each of Ge 20Sb 15Se 65and Ge 28Sb 12Se 60chalcogenide thin films at any wavelength in the transmission spectrum based on the regional approach method and Cauchy fitting. We theoretically calculate and compare the refractive index and dispersion curves obtained by using six different models. The results show that the most accurate results are obtained by the MCM. Two Ge—Sb—Se films are prepared by magnetron sputtering experimentally, and transmission spectrum curves are measured by Fourier infrared spectrometer, the noise is removed by segmental filtering and then the refractive index, dispersion, absorption coefficient, and optical band gap of the two films ina range of 500–2500 nm are obtained by the MCM. The results show that the refractive index of Ge 28Sb 12Se 60film is larger than that of Ge 20Sb 15Se 65film, which is caused by the higher polarizability and density of the former. The refractive indexes of both films decrease with wavelength increasing, so the long waves travel faster than short waves in the two films. The optical band gap of Ge 28Sb 12Se 60film (1.675 eV) is smaller than that of Ge 20Sb 15Se 65film (1.729 eV), and the corresponding wavelengths of the two are 740.3 nm and 717.2 nm. Finally, the microstructures of the two films are characterized by Raman spectra, and the reasons why the two chalcogenide films have different optical properties are explained from the bonding properties between the atoms.
[1] [2] [3] [4] [5] [6] [7] [8] [9] [10] [11] [12] [13] [14] [15] [16] [17] [18] [19] [20] [21] [22] [23] [24] [25] [26] [27] [28] [29] [30] [31] [32] [33] [34] [35] [36] [37] [38] -
名称 模型 Cauchy $n = A + \dfrac{B}{{{\lambda ^2}}} + \dfrac{C}{{{\lambda ^4}}}$ 二阶归一化标准Sellmeier $n = \sqrt {1 + \dfrac{{A \cdot {\lambda ^2}}}{{{\lambda ^2} - B}} + \dfrac{{C \cdot {\lambda ^2}}}{{{\lambda ^2} - D}}} $ 三阶归一化标准Sellmeier $n = \sqrt {1 + \dfrac{{A \cdot {\lambda ^2}}}{{{\lambda ^2} - B}} + \dfrac{{C \cdot {\lambda ^2}}}{{{\lambda ^2} - D}} + \dfrac{{E \cdot {\lambda ^2}}}{{{\lambda ^2} - F}}} $ 二阶非标准形式的Sellmeier $n = \sqrt {A + \dfrac{{B \cdot {\lambda ^2}}}{{{\lambda ^2} - C}} + D \cdot {\lambda ^2}} $ Conrady $n = A + \dfrac{B}{\lambda } + \dfrac{C}{{{\lambda ^{3.5}}}}$ Herzberger $n = A + B \cdot {\lambda ^2} + C \cdot {\lambda ^2} + \dfrac{D}{{\left( {{\lambda ^2} - 0.028} \right)}} + \dfrac{E}{{{{\left( {{\lambda ^2} - 0.028} \right)}^2}}}$ λ TM Tm n d m0 m n0 d0 972.4 0.9202 0.5007 2.9173 6.001 6.0 2.9169 1000.0 911.2 0.9199 0.4904 2.9613 6.501 6.5 2.9611 1000.0 859.0 0.9193 0.4801 3.0066 1000.0 7.002 7.0 3.0062 1000.0 814.1 0.9183 0.4697 3.0527 1000.4 7.501 7.5 3.0526 1000.1 774.9 0.9165 0.4591 3.0996 1000.1 8.002 8.0 3.0993 1000.0 740.5 0.9134 0.4485 3.1471 999.5 8.502 8.5 3.1468 1000.0 710.0 0.9080 0.4376 3.1951 999.7 9.002 9.0 3.1947 1000.0 682.8 0.8984 0.4260 3.2435 999.4 9.502 9.5 3.2430 999.9 658.4 0.8818 0.4132 3.2921 1000.2 10.002 10.0 3.2917 1000.0 636.3 0.8530 0.3982 3.3410 999.3 10.503 10.5 3.3402 999.9 616.3 0.8050 0.3796 3.3898 999.6 11.003 11.0 3.3893 999.9 598.1 0.7252 0.3546 3.4335 1020.4 11.483 11.5 3.4387 1001.6 581.3 0.6127 0.3191 3.4878 1000.6 12.002 12.0 3.4874 1000.0 565.9 0.4595 0.2678 3.5368 981.9 12.502 12.5 3.5365 1000.0 551.7 0.2879 0.1965 3.5856 1001.6 13.001 13.0 3.5857 1000.1 注: $ \qquad \quad \overline d = 1000.2;{\sigma _1} = 7.58;\overline {{d_0}} = 1000.1;{\sigma _0} = 0.40$. A B C D E F Cauchy 2.6006 2.9900 × 105 2.4107 × 108 二阶归一化标准Sellmeier 6.0592 1.3837 × 105 0.5371 1.3837 × 105 三阶归一化标准Sellmeier 11.1212 6.4542 × 104 5.9297 6.4455 × 104 –11.3546 –4.9139 × 104 二阶非标准形式的Sellmeier –30.1052 36.8509 4.3322 × 104 –0.0079 Conrady 2.3534 502.8603 1.2718 × 109 Herzberger 4.3450 –3.1408 × 10–8 1.7525 × 10–12 3.0038 × 105 9.0228 × 1010 λ Δncauchy ΔnSel2 ΔnSel3 Δnsel2非 ΔnConrady ΔnHerzberger ΔnMCM 580 –0.0002 0.0018 –0.0005 –0.0003 –0.0007 –0.0050 –0.0001 600 –0.0003 –0.0107 –0.0007 –0.0005 –0.0014 0.0081 –0.0002 620 –0.0004 –0.0180 –0.0008 –0.0006 –0.0016 0.0162 –0.0002 640 –0.0004 –0.0216 –0.0007 –0.0006 –0.0015 0.0201 –0.0003 660 –0.0004 –0.0226 –0.0006 –0.0005 –0.0012 0.0207 –0.0003 680 –0.0004 –0.0218 –0.0005 –0.0005 –0.0008 0.0186 –0.0003 700 –0.0004 –0.0197 –0.0003 –0.0004 –0.0003 0.0146 –0.0003 720 –0.0004 –0.0167 –0.0002 –0.0003 0.0001 0.0091 –0.0003 740 –0.0004 –0.0131 –0.0001 –0.0003 0.0005 0.0028 –0.0003 760 –0.0004 –0.0090 0.0000 –0.0002 0.0008 –0.0038 –0.0003 780 –0.0004 –0.0047 0.0000 –0.0002 0.0010 –0.0103 –0.0003 800 –0.0004 –0.0002 0.0000 –0.0002 0.0011 –0.0160 –0.0003 820 –0.0004 0.0043 0.0000 –0.0002 0.0011 –0.0207 –0.0003 840 –0.0003 0.0089 0.0000 –0.0002 0.0009 –0.0238 –0.0003 860 –0.0003 0.0134 –0.0001 –0.0002 0.0007 –0.0249 –0.0003 880 –0.0003 0.0178 –0.0002 –0.0002 0.0004 –0.0236 –0.0003 900 –0.0003 0.0222 –0.0003 –0.0002 –0.0001 –0.0196 –0.0003 920 –0.0002 0.0264 –0.0004 –0.0003 –0.0006 –0.0123 –0.0003 940 –0.0002 0.0305 –0.0006 –0.0004 –0.0012 –0.0014 –0.0003 960 –0.0002 0.0345 –0.0007 –0.0004 –0.0019 0.0134 –0.0003 $\begin{aligned}{\text{注}}:\; & \Delta {n_{{\rm{Cauchy}}}} = 0.0003;\sigma {n_{{\rm{Cauchy}}}} = 0.0002;\Delta {n_{{\rm{Sel2}}}} = 0.0253;\sigma {n_{{\rm{Sel2}}}} = 0.0273;\\ &\Delta {n_{{\rm{Sel3}}}} = 0.0006;\sigma {n_{{\rm{Sel3}}}} = 0.0010;\Delta {n_{{\rm{Sel}}2{\simfont\text{非}}}} = 0.0005;\sigma {n_{{\rm{Sel}}2{\simfont\text{非}}}} = 0.0005;\\ & \Delta {n_{{\rm{Conrady}}}} = 0.0016;\sigma {n_{{\rm{Conrady}}}} = 0.0022;\Delta {n_{{\rm{Herzberger}}}} = 0.0226;\sigma {n_{{\rm{Herzberger}}}} = 0.0225;\\ & \Delta {n_{{\rm{MCM}}}} = 0.0002;\sigma {n_{{\rm{MCM}}}} = 0.0001 .\end{aligned}$ 波长/nm Ge20Sb15Se65薄膜 Ge28Sb12Se60薄膜 Texp TM m n Texp TM m n 600 0.2449 0.2682 8.7331 2.6902 0.0009 0.0253 13.3793 2.8670 620 0.3463 0.4036 8.0131 2.6530 0.0417 0.0726 12.7620 2.8259 640 0.4987 0.5496 7.4160 2.6208 0.1107 0.0957 12.2073 2.7902 660 0.4749 0.6845 6.9106 2.5929 0.2449 0.2519 11.7057 2.7592 680 0.7724 0.7891 6.4760 2.5685 0.2914 0.3957 11.2495 2.7320 700 0.6566 0.8552 6.0972 2.5472 0.5222 0.5266 11.0259 2.7081 750 0.9088 0.9096 5.7634 2.5041 0.7469 0.7853 10.1068 2.6597 800 0.6160 0.9219 5.4665 2.4720 0.6155 0.9123 9.3455 2.6233 900 0.6199 0.9321 4.9602 2.4285 0.8667 0.9681 8.1494 2.5735 1000 0.7666 0.9388 4.5433 2.4014 0.7547 0.9735 7.2448 2.5420 1100 0.8085 0.9429 4.1932 2.3835 0.6124 0.9773 6.5316 2.5210 1200 0.7580 0.9455 3.8945 2.3711 0.9678 0.9805 5.9523 2.5062 1300 0.6850 0.9472 3.6364 2.3622 0.6186 0.9813 5.4709 2.4955 1400 0.9418 0.9480 3.4109 2.3556 0.9556 0.9806 5.0638 2.4875 1500 0.7814 0.9482 3.2121 2.3506 0.7282 0.9801 4.7145 2.4813 1600 0.6521 0.9479 3.0356 2.3466 0.6430 0.9800 4.4112 2.4765 1700 0.7244 0.9474 2.8776 2.3435 0.8853 0.9800 4.1452 2.4726 1800 0.8914 0.9470 3.1213 2.3410 0.9383 0.9801 3.9099 2.4694 1900 0.9384 0.9470 2.9544 2.3389 0.7164 0.9801 3.7002 2.4668 2000 0.8249 0.9476 2.8046 2.3372 0.6282 0.9800 3.5121 2.4647 2100 0.7121 0.9491 2.6694 2.3358 0.6868 0.9800 3.2838 2.4628 2200 0.6614 0.9518 2.5468 2.3345 0.8411 0.9801 3.1325 2.4613 2300 0.6679 0.9559 2.4349 2.3335 0.9705 0.9804 2.9947 2.4599 2400 0.7188 0.9617 2.3326 2.3326 0.9441 0.9809 2.8686 2.4588 拉曼峰位/cm–1 振动模式 160 Se2Sb-SbSe2结构中的Sb—Sb同极键的振动 170 Ge2Se6/2结构中的Ge—Ge同极键的伸缩振动 197 SbSe3/2三角锥结构中的Sb—Se键的E1模式振动 203 共顶角GeSe4/2四面体中的Ge—Se键的V1模式振动 215 共边GeSe4/2四面体中的Ge—Se键振动 235 Sen环结构中的Se—Se键振动 256 Sen链结构中的Se—Se键振动 270 Ge-GemSe4-m结构中的Ge—Ge同极键的振动 303 GeSe4四面体的F2型不对称振动 -
[1] [2] [3] [4] [5] [6] [7] [8] [9] [10] [11] [12] [13] [14] [15] [16] [17] [18] [19] [20] [21] [22] [23] [24] [25] [26] [27] [28] [29] [30] [31] [32] [33] [34] [35] [36] [37] [38]
计量
- 文章访问数:9079
- PDF下载量:108
- 被引次数:0












下载:







