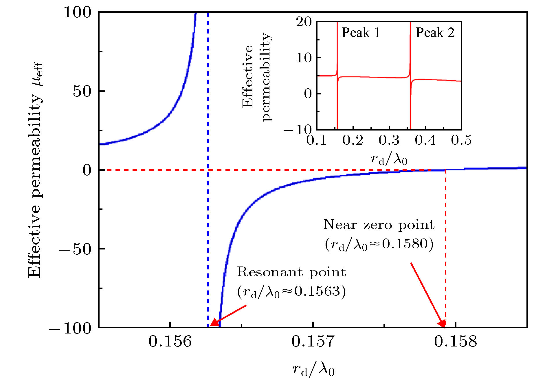
Field enhancement is an interesting and important topic in electromagnetic study. Electromagnetic field concentration and enhancement devices have wide applications in high directional antenna design, laser ignition, optical control, etc. At present, there are usually two ways of implementing the field enhancement, one is to use the artificial electromagnetic materials to realize the radiation direction control and energy concentration, which is more suitable for the applications at microwave or lower frequencies, and the other is to use the materials with high permittivity or high permeability. However, the latter is extremely sensitive to the position and characteristic of the radiation source and the cross-sectional area of the material, and depends heavily on the value of the relative permittivity or the relative permeability of the material. Therefore, both methods cannot fully meet the application requirements of creating high field intensity in optical band, such as laser ignition, etc. In this paper, based on the theory of photonic crystal doping, the strong electromagnetic field enhancement has been successfully realized by epsilon-near-zero medium filled with ordinary dielectric dopant. We first make the comprehensive theoretical analysis of the field enhancement in the structure of epsilon-near-zero medium with dielectric dopant. The method of calculating the central magnetic field in the doped medium is then rigorously derived, and the formula for the ratio of the central magnetic field in the doped medium to the external radiation field is deduced. We find that the optimal magnetic field enhancement occurs only when the proposed structure is equivalent to an epsilon-mu-near-zero medium. Subsequently, under the above condition, various parameters (radius of the cylindrical dopant, number of sources, etc.) are studied to analyze the magnetic field enhancement performance inside the doped medium. The theoretical analysis and simulation results show that the proposed structure can significantly enhance the magnetic field which is applicable in a broad frequency band from microwave to optical region, and meets the application requirements of providing high field intensity. Finally, as a practical realization example, an ultraviolet ignition device working at 270 nm is designed, which presents an efficient and alternative way of developing electromagnetic (optical) devices for producing strong field enhancement.