-
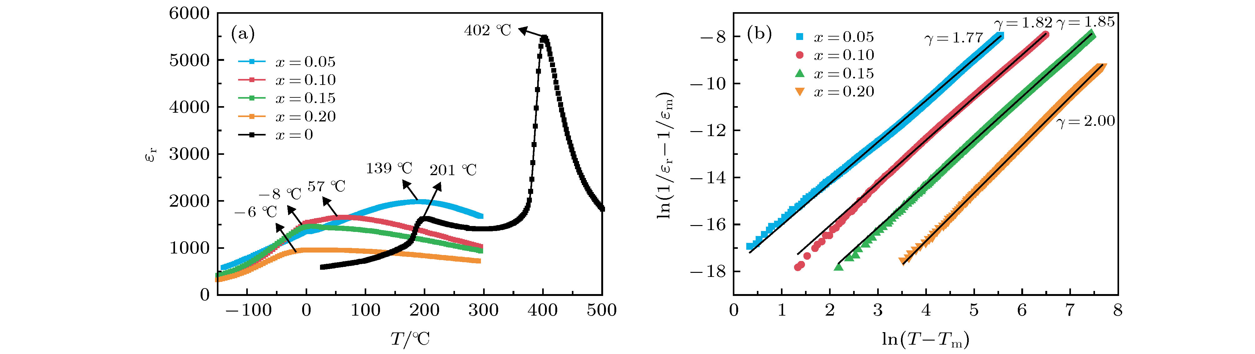
利用传统固相法制备了(1– x)K 0.5Na 0.5NbO 3- xBi(Mg 0.5Ti 0.5)O 3(简写: (1– x)KNN- xBMT, x= 0.05, 0.10, 0.15, 0.20)无铅弛豫铁电陶瓷, 并对其相结构、微观形貌、介电特性与储能行为进行了系统的研究. 研究结果表明, 随着BMT含量的增加, (1– x)KNN- xBMT陶瓷由正常铁电体逐渐转变为弛豫铁电体, 表现出强烈的弥散相变特征, 其最大极化强度 P max随之逐渐降低. 当 x= 0.15时, 陶瓷具有最大的击穿电场, 为275 kV·cm –1. 采用间接方式对(1– x)KNN- xBMT陶瓷的储能性能进行计算, 发现当BMT的含量为 x= 0.15时, 可获得最佳的储能性能: 当场强为275 kV·cm –1时, 可释放储能密度 W rec为2.25 J·cm –3, 储能效率 η高达84%. 鉴于实际应用的需求, 对各组分陶瓷进行直接测试, 结果表明随掺杂量的增加, 储能密度 W dis呈现先增大后减小的变化趋势, 当 x= 0.15时, 储能密度为1.54 J·cm –3, 放电时间仅为88 ns. 另外, 该材料在1—50 Hz范围内具有良好的频率稳定性, 在25—125 ℃范围内具有良好的温度稳定性, 储能密度的变化量低于8%. 该研究表明KNN-BMT陶瓷在环境友好高储能密度电容器领域具有广阔的应用前景.
-
关键词:
- K0.5Na0.5NbO3基/
- 储能性能/
- 无铅/
- 弛豫铁电/
- 直接测试
Lead-free dielectric ceramics with high energy-storage density and efficiency are ideal energy materials for sustainable development of the enery resource. In this paper, (1– x)K 0.5Na 0.5NbO 3– xBi(Mg 0.5Ti 0.5)O 3((1– x)KNN- xBMT, x= 0.05, 0.10, 0.15, 0.20) lead-free relaxor ferroelectric ceramics are prepared by the traditional solid-state method. The effects of BMT on the phase structure, microstructure, dielectric properties and energy storage behavior of KNN based ceramics are studied. With the increase of BMT content, the crystal structures of (1– x)KNN- xBMT ceramics gradually change from orthorhombic to pseudo-cubic phase, and transform into cubic phase finally. The addition of BMT can suppress grain growth of the ceramics, resulting in the average grain size decreasing from 850 to 195 nm when xincreases from 0.05 to 0.20. Dielectric properties exhibit that the Curie temperature decreases with BMT content increasing, and dielectric peak at Curie temperature is broadened due to the addition of BMT. In addition, ferroelectric properties demonstrate that the addition of BMT reduces the remnant polarization ( P r) and coercive field ( E c) of the ceramics. The results indicate that (1– x)KNN- xBMT ceramics transform from ferroelectric to relaxor ferroelectric phase. Based on the calculation of hysteresis loop, the best energy storage performance is obtained at x= 0.15, of which the recoverable energy storage density ( W rec) and the energy storage efficiency ( η) are 2.25 J·cm –3and 84% at its dielectric breakdown strength of 275 kV·cm –1. Meanwhile, the ceramic with x= 0.15 exhibits good stability in a frequency range of 1–50 Hz, with an energy density variation of less than 5%, and temperature stability in a range of 25–125 ℃ with change of less than 8%. Moreover, based on direct measurement, the energy storage density ( W dis) of the ceramic with x= 0.15 is 1.54 J·cm –3, and the discharge time is only 88 ns. The research shows that (1– x)KNN- xBMT ceramics have a wide application prospect in the field of environmentally friendly capacitors with high energy storage density.[1] [2] [3] [4] [5] [6] [7] [8] [9] [10] [11] [12] [13] [14] [15] [16] [17] [18] [19] [20] [21] [22] [23] [24] [25] [26] [27] [28] [29] [30] [31] [32] [33] [34] [35] [36] [37] [38] [39] [40] [41] [42] [43] [44] [45] [46] [47] [48] [49] [50] [51] [52] -
Material systerm Wrec/J·cm–3 η/% BDS /kV·cm–1 Wdis/J·cm–3 t90/ns Reference 0.88BT-0.12BMT 1.81 88 224 — — [20] 0.85BT-0.15BY 0.50 — 100 — — [22] 0.61BF-0.33BT-0.06BMN 1.56 75 125 — — [24] 0.7BNT-0.3ST + 0.05MnO2 0.96 74.6 95 — — [25] 0.8KNN-0.2SSN 2.02 81.4 295 — — [31] 0.85KNN-0.15ST 4.03 52 400 — — [32] 0.85KNN-0.15BMT 2.25 84 275 1.54 88 This work -
[1] [2] [3] [4] [5] [6] [7] [8] [9] [10] [11] [12] [13] [14] [15] [16] [17] [18] [19] [20] [21] [22] [23] [24] [25] [26] [27] [28] [29] [30] [31] [32] [33] [34] [35] [36] [37] [38] [39] [40] [41] [42] [43] [44] [45] [46] [47] [48] [49] [50] [51] [52]
计量
- 文章访问数:8725
- PDF下载量:318
- 被引次数:0












下载:







