-
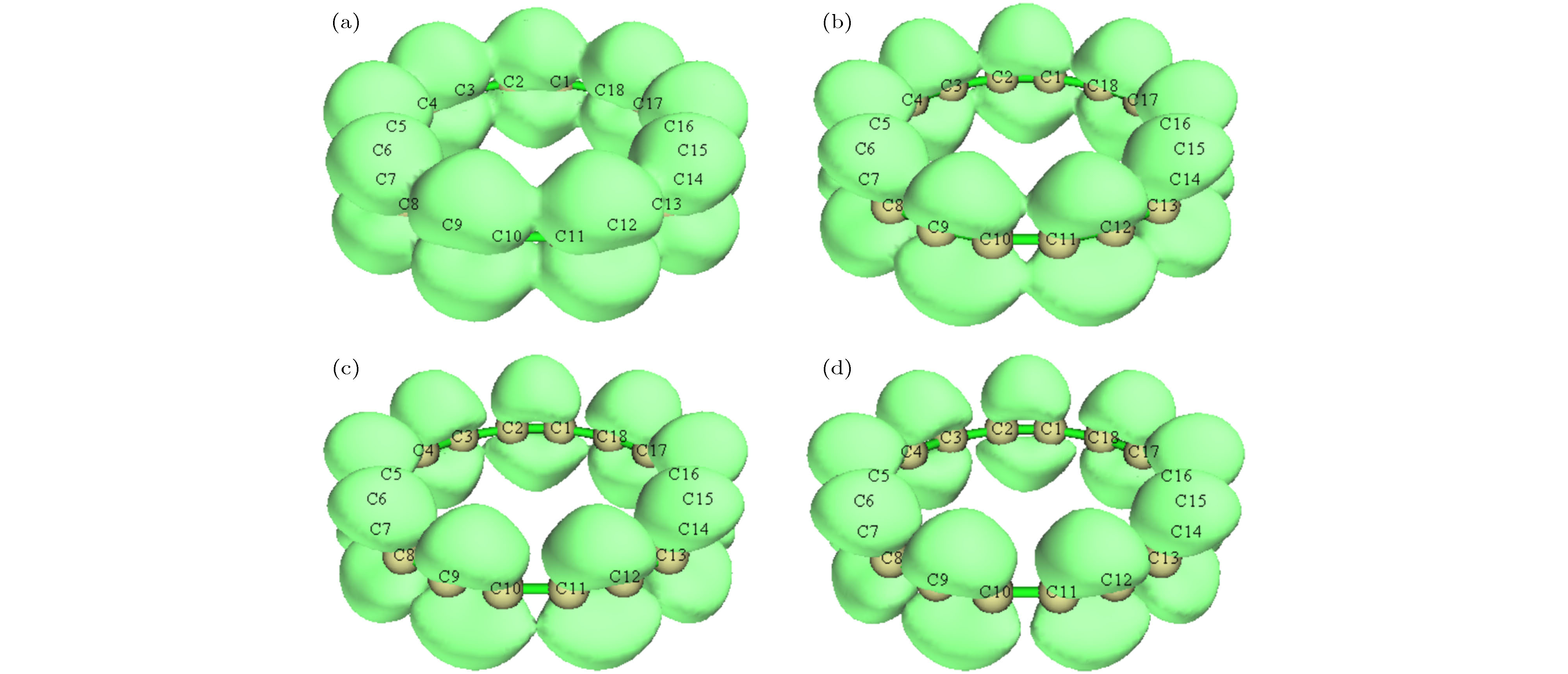
采用密度泛函理论方法(ωB97XD/def2-TZVP)研究了沿不同方向( x, y, z)加电场对环形C 18的基态几何结构、能量、电子结构、芳香性、红外及拉曼光谱特性的影响; 继而采用含时的TD-ωB97XD方法研究了C 18在外电场下的激发特性. 研究结果表明: 外电场导致分子对称性降低, 偶极矩随外电场的增加逐渐增加, 体系总能量和LUMO-HOMO能隙随着外电场的增加一直减小. 外电场将改变环上π电子的离域特征以及分子芳香性, 如分子 z方向加入电场将减弱π电子离域性及分子芳香性, 分子 x或 y方向加入电场可以增强π电子离域性及分子芳香性. 外电场将改变红外光谱特征, 如谐振频率的移动以及红外峰的增强或减弱. 外电场对环形C 18的激发特性影响较大, 如当分子 y方向加电场时, 激发波长发生红移; 同时对振子强度有很大影响, 原来振子强度很强的激发态变弱或成为禁阻跃迁, 而原来振子强度很弱或禁阻的激发态变强. 可以通过改变外电场来控制C 18的基态性质和光谱特性, 促进C 18在分子器件等纳米领域的应用.In this work, density functional theory method with the ωB97XD/def2-TZVP level is carried out to investigate the ground state structures, energy, electronic structures, aromaticity, infrared and Raman spectra of cyclo[18]carbon under different external electric field in the x, yand zdirection of cyclo[18]carbon molecule. The excitation properties (the first 48 excited states containing excited energies, excited wavelengths and oscillator strengths) of cyclo[18]carbon are calculated by the time-dependent density functional theory method (TD-ωB97XD) with the def2-TZVP basis set under the same external electric field. The results show that cyclo[18]carbon can be elongated in the xor ydirection under the electric field, and some C-C bond lengths can be elongated or shortened under the electric field. Meanwhile, the calculated results show that electric dipole moment is proved to be increasing with the increase of the external field intensity, but the total energy and LUMO-HOMO gap are proved to decrease with the increase of external field intensity. Moreover, addition of electric field can modify the electron delocalization and molecular aromaticity, such as external electric field in zdirection can lower the electron delocalization and molecular aromaticity and external electric field in xor ydirection can enhance the electron delocalization and molecular aromaticity. The addition of electric field can modify the infrared spectra, such as shift of vibrational frequencies and strengthening of infrared peaks. Furthermore, the calculated results indicate that the external electric field has significant effects on the excitation properties of cyclo[18]carbon. The increase of the electric field intensity can lead to the redshift of transition wavelengths (such as the first excited state). With the change of the electric field intensity, the stronger excited state (with the bigger oscillator strength) can become weak (with the small oscillator strength) or optically inactive (with the oscillator strength of zero). Meanwhile, the weak or optically inactive excited state can become stronger excited state by the external field. The ground state properties and excitation properties of cyclo[18]carbon can be modified by the external electric field. Our works can provide theoretical guidance for the application of cyclo[18]carbon in the nanotechnology such as molecular device.
-
Keywords:
- C18/
- external electric field/
- ground state/
- excitation properties
[1] [2] [3] [4] [5] [6] [7] [8] [9] [10] [11] [12] [13] [14] [15] [16] [17] [18] [19] [20] [21] [22] [23] [24] [25] [26] [27] [28] [29] [30] [31] [32] [33] -
F/a.u. EH – 3 EH – 2 EH – 1 EH EL EL + 1 EL + 2 EL + 3 Eg/eV 0 –8.5508 –8.5508 –8.4485 –8.4485 –1.7005 –1.7005 –1.6754 1.6754 6.7479 0.005z –8.5544 –8.5544 –8.4486 –8.4486 –1.7141 –1.7141 –1.6666 1.6666 6.7345 0.010z –8.5650 –8.5650 –8.4495 –8.4495 –1.7392 –1.7392 1.6547 1.6547 6.7102 0.015z –8.5819 –8.5819 –8.4518 –8.4518 –1.7700 –1.7700 –1.6461 –1.6461 6.6818 0.020z –8.6044 –8.6044 –8.4562 –8.4562 –1.8056 –1.8056 –1.6415 –1.6415 6.6505 0.005x –8.6369 –8.5205 –8.4629 –8.3831 –1.8002 –1.7217 –1.6612 –1.6317 6.5829 0.010x –8.7048 –8.5881 –8.3700 –8.3153 –1.9358 –1.8075 –1.6986 –1.6119 6.3794 0.015x –8.7516 –8.6519 –8.2846 –8.2518 –2.0999 –1.9295 –1.8027 –1.6493 6.1518 0.050y –8.6367 –8.5204 –8.4630 –8.3831 –1.8005 –1.7222 –1.6609 –1.6315 6.5825 0.010y –8.7046 –8.5879 –8.3700 –8.3153 –1.9359 –1.8075 –1.6988 –1.6120 6.3793 0.015y –8.7527 –8.6529 –8.2847 –8.2516 –2.0992 –1.9293 –1.8012 –1.6482 6.1524 F/a.u. z x y 0 4.253 4.253 4.253 0.005 4.248 4.256 4.257 0.010 4.232 4.398 4.399 0.015 4.205 4.682 4.706 0.020 4.170 F/a.u. E/eV n= 1 2 6 7 14 21 22 23 35 36 0 2.5076 2.6372 3.1285 3.1285 3.8301 5.6519 5.6519 5.7890 6.4794 6.4794 0.005 2.4993 2.6264 3.0978 3.1234 3.8130 5.6339 5.6558 5.7753 6.4573 6.4644 0.010 2.4560 2.5759 2.9933 3.0229 3.7358 5.5725 5.6564 5.7195 6.3833 6.4070 0.015 2.3747 2.4684 2.8621 2.9017 3.6094 5.4638 5.6232 5.6320 6.2782 6.3067 F/a.u. f n= 1 2 6 7 14 21 22 23 35 36 0 0.0000 0.0000 0.0030 0.0030 0.0000 3.0216 3.0216 0.0000 0.3695 0.3695 0.005 0.0000 0.0003 0.0025 0.0028 0.0132 2.9676 3.0222 0.0000 0.3831 0.3838 0.010 0.0000 0.0011 0.0014 0.0002 0.0463 2.8009 2.9973 0.0000 0.4379 0.4337 0.015 0.0000 0.0000 0.0003 0.0000 0.0842 2.4917 0.0000 2.4509 0.5197 0.5373 F/a.u. $\lambda $/nm n= 1 2 6 7 14 21 22 23 35 36 0 494.43 470.14 396.30 396.30 323.71 219.37 219.37 214.17 191.35 191.35 0.005 496.08 472.07 400.24 396.96 325.17 220.07 219.21 214.68 192.01 191.80 0.010 504.82 481.32 414.20 410.15 331.88 222.49 219.19 216.77 194.23 193.51 0.015 522.11 502.28 433.20 427.29 343.51 226.92 220.49 220.14 197.48 196.59 -
[1] [2] [3] [4] [5] [6] [7] [8] [9] [10] [11] [12] [13] [14] [15] [16] [17] [18] [19] [20] [21] [22] [23] [24] [25] [26] [27] [28] [29] [30] [31] [32] [33]
计量
- 文章访问数:7050
- PDF下载量:155
- 被引次数:0












下载:









