The photovoltaic effect of ferroelectric BiFeO
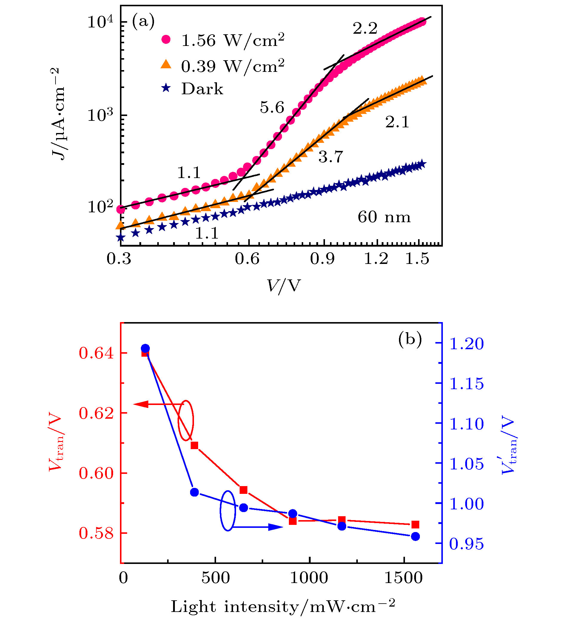
3(BFO)-based heterojunction has been one of hot subjects of theoretical and experimental studies due to its important application prospects, and the coexistence of varieties of photovoltaic effect mechanisms (bulk photovoltaic effect, domain wall effect, interfacial barrier effect, etc.) can bright rich and complicated physics nature. In order to investigate the important role that the interface plays in the photovoltaic effect, we prepare the Pt/BFO(60 nm)/Nb:SrTiO
3(NSTO) heterojunction with an asymmetric metal/ferroelectric/semiconductor structure, and systematically investigate the photovoltaic effect under laser irradiation with different wavelengths (365 nm and 445 nm). The heterojunction exhibits much stronger open-circuit voltage (
V
oc, ~0.55 V at 74 mW/cm
2) and short-circuit current density (
J
sc, ~ 208 μA/cm
2at 74 mW/cm
2) for the laser irradiation with 365 nm wavelength than those for the laser irradiation with 445 nm wavelength, and the
V
ocand
J
scare both strengthened with the increase of light intensity. This is because the 365 nm light with the photon energy ~3.4 eV can stimulate photon-induced carriers in both BFO (band gap ~2.7 eV) and NSTO (band gap ~3.2 eV) at both the Pt/BFO interface and the BFO/NSTO interface, while the 445 nm light with the photon energy ~2.8 eV can only generate carriers in BFO. Thus the photovoltaic voltage is much bigger for the 365 nm light. Furthermore, the laser absorption process is much more efficient for the 365 nm light (79% absorbed in BFO and 21% absorbed in NSTO) than for the 445 nm light (21% absorbed in BFO). In addition, the temperature dependent
V
ocand
J
scare also investigated. It is found that for the 365 nm and 445 nm laser irradiation, the
V
ocincreases with temperature decreasing, which is possibly due to the variations of the built-in potential, concentration of thermal charge carriers, and/or electron-phonon scatterings. The sharper variation of
V
ocabove ~ 200 K may suggest the more significant role of thermal charge carriers at high temperatures. Interestingly, the temperature dependent
J
scbehaves differently for the 365 nm and 445 nm light. Under the 365 nm laser irradiation, the
J
scremains almost unchanged below 170 K and increases sharply with temperature increasing above 170 K, which may be related to the dominant role of thermal excitation for the 365 nm light. While for the 445 nm light, the
J
scdecreases with temperature increasing, which follows the variation trend of its
V
oc. What is more, the conduction mechanism of Pt/BFO/NSTO heterojunction under laser irradiation is also studied. It is found that the conduction for the 445 nm light can be nicely described by the space-charge-limited bulk conduction (SCLC) model and the photon-generated carriers may fill the traps and thus leading the transition voltage to decrease. While for the 365 nm light, the conduction is more complicated and cannot be described by the SCLC model. Our findings may be helpful in understanding the photovoltaic effect in transition-metal oxide based heterojunctions and designing photovoltaic devices.