-
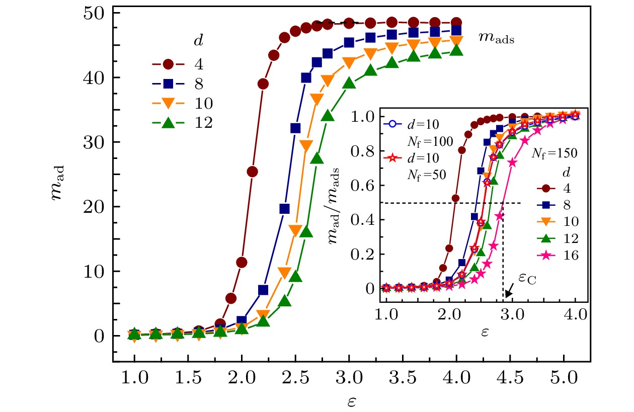
用Monte Carlo方法模拟研究了一条自由高分子链在分子刷表面吸附的静态和动态特性. 结果表明, 随着自由链与分子刷之间吸附作用能( ε)的增大, 自由链出现由脱吸附态到吸附态的相转变, 同时链的扩散由正常模式转为亚扩散模式. 临界吸附能( ε C)几乎与自由链长度无关, 但随着分子刷链长度的减小或分子刷链间距的增大而不断增大. 在 ε C附近, 自由链嵌入分子刷内部, 同时链尺寸达到极小, 而当 ε
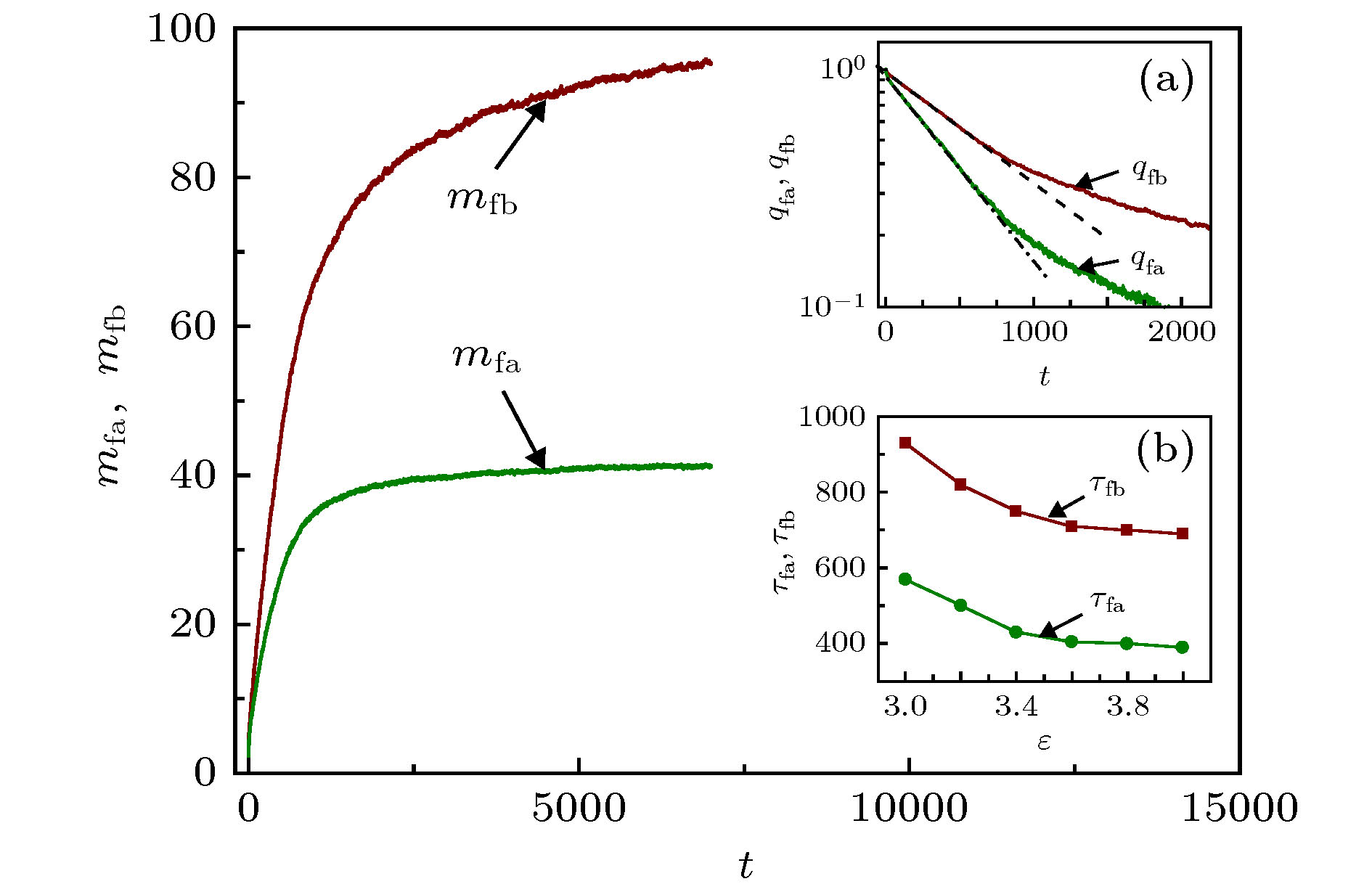
$\gg $ ε C时, 自由链处于强吸附态, 链节主要分布于分子刷表层, 同时整个吸附动态过程可分为自由链吸附和分子刷扩散两个阶段.-
关键词:
- 高分子链/
- 分子刷/
- 吸附/
- Monte Carlo模拟
The adsorption of polymer on surface is a hot topic in physical, chemical and biological communities, which is influenced by many factors, such as the topological structure and the flexibility of the polymer, the attractive interaction between the polymer and the surface, the detailed structure of the surface, etc. The adsorption of polymers on solid surfaces is extensively studied, while the adsorption behaviors of polymers on soft surfaces are still unclear. In this work, the static and dynamical characters of the adsorption of a free polymer chain on polymer brushes are studied by using Monte Carlo simulation. The brush is formed by grafted polymers with length N band distance d. Results indicate that, with increasing the adsorption energy ( ε) between the free polymer and the brush, the free polymer shows a phase transition from a desorbed state to an adsorbed state. Based on the dependence of the number of the adsorption segment of the free polymer ( m ad) on the adsorption energy ε, we defined the critical adsorption point ( ε C) where the phase transition occurs. ε Cis nearly independent of the length of the free polymer, but it increases with decreasing the length of the grafted polymer or increasing the distance between the grafted polymers. When ε< ε C, the free polymer is desorbed and its size is the same as that in free space. When ε≈ ε C, the free polymer is sucked into the brush and meanwhile the size is compressed. While when ε $\gg $ ε C, the free polymer is strongly adsorbed on the surface of the brush and forms a quasi two-dimensional conformation, and meanwhile the whole adsorption process contains two stages: the adsorption process of the free polymer and the diffusion process of the brush. Moreover, with the increase of ε, the diffusion of the free polymer shows an obvious transition from the normal model to the sub-diffusion model near ε C. The transition of the diffusion model maybe useful for separation of polymers with different attractive polymer-brush interactions. For example, one may construct a brush surface and use it as a polymer separation device. Under weak driving force parallel to the surface, polymers with polymer-brush interaction ε< ε Ccan move quickly, while polymers with ε> ε Cwill move slowly or be trapped on the brush.-
Keywords:
- polymer Chain/
- polymer brush/
- adsorption/
- Monte Carlo simulation
[1] [2] [3] [4] [5] [6] [7] [8] [9] [10] [11] [12] [13] [14] [15] [16] [17] [18] [19] [20] [21] [22] [23] [24] [25] [26] [27] [28] [29] [30] [31] -
[1] [2] [3] [4] [5] [6] [7] [8] [9] [10] [11] [12] [13] [14] [15] [16] [17] [18] [19] [20] [21] [22] [23] [24] [25] [26] [27] [28] [29] [30] [31]
计量
- 文章访问数:6146
- PDF下载量:106
- 被引次数:0












下载:





