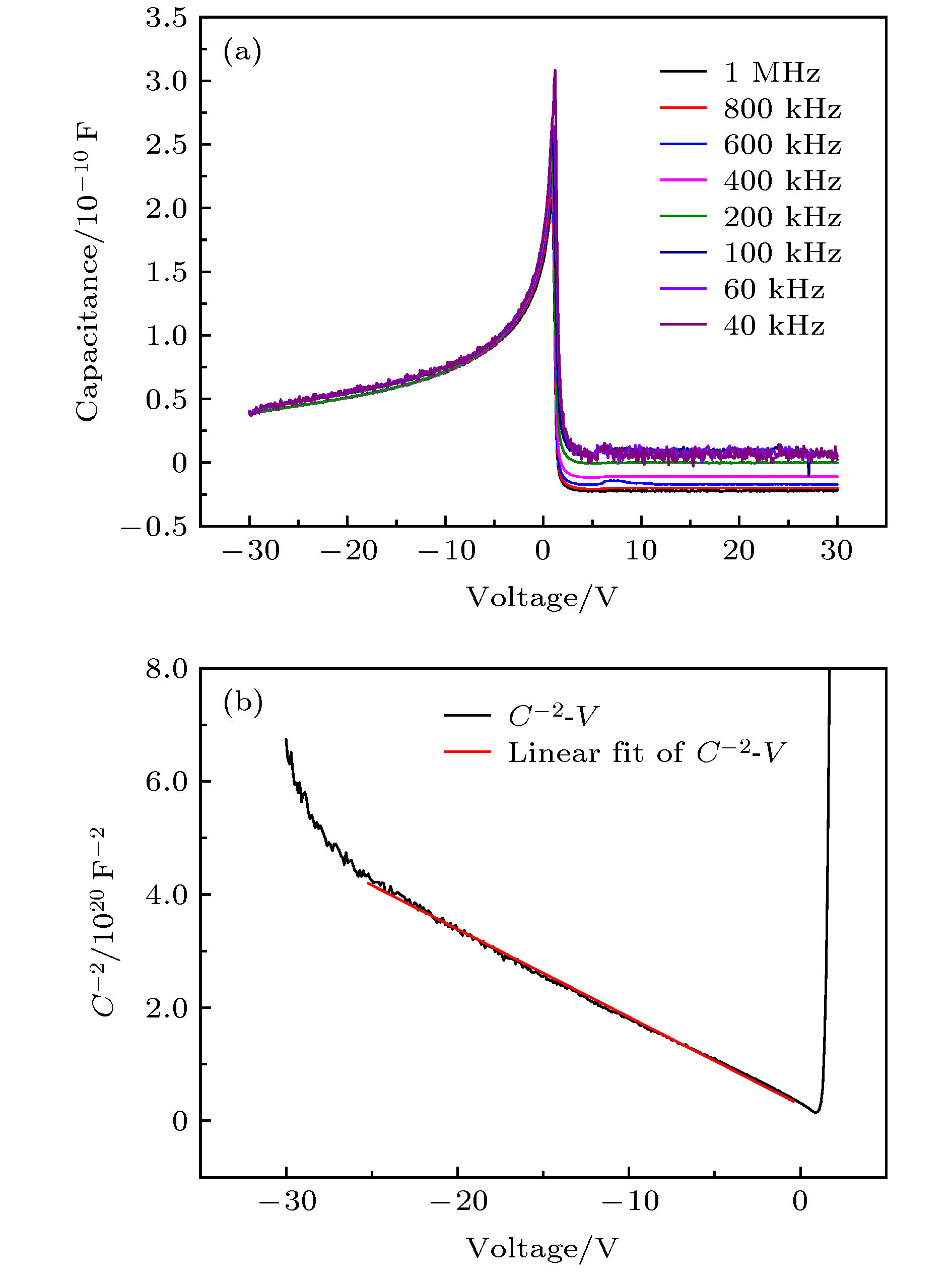
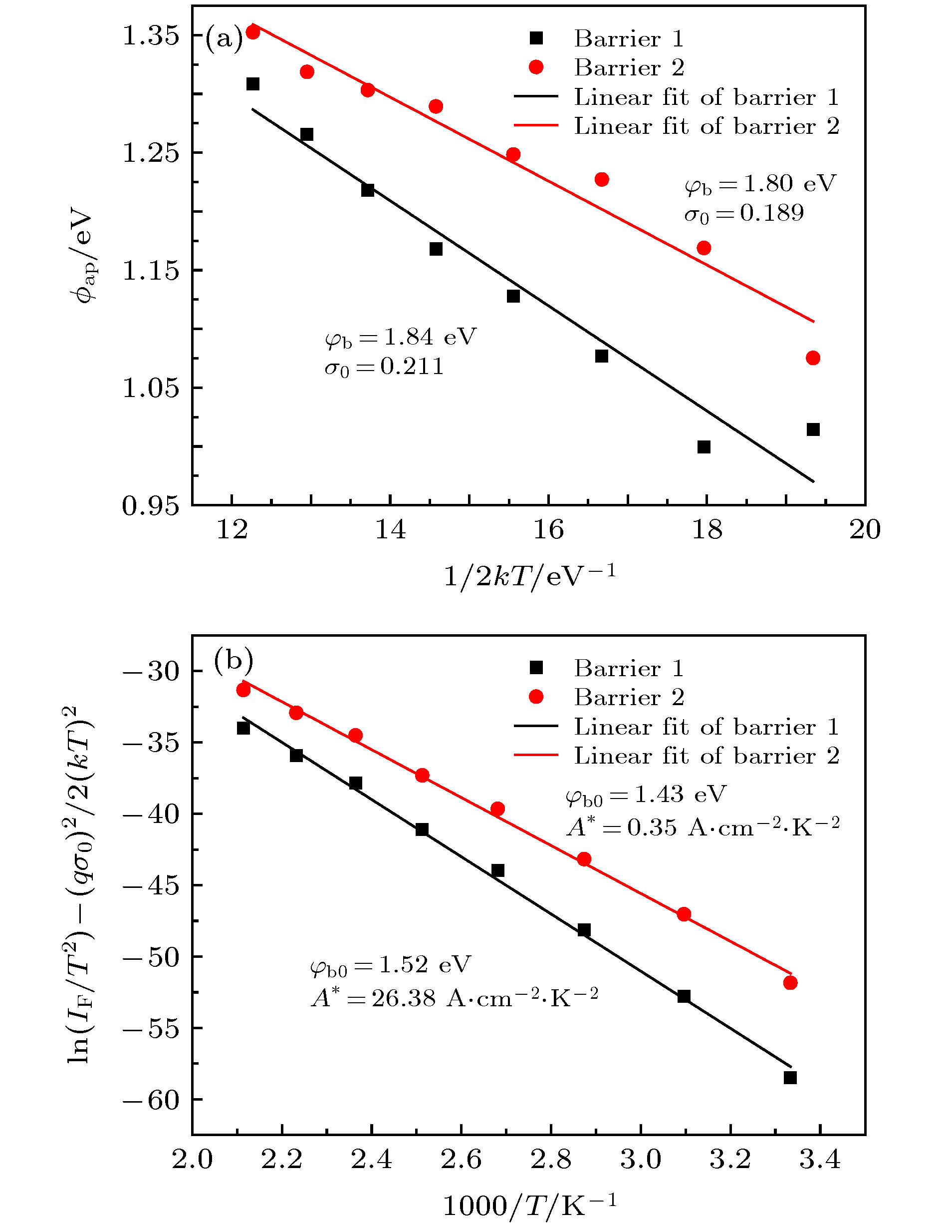
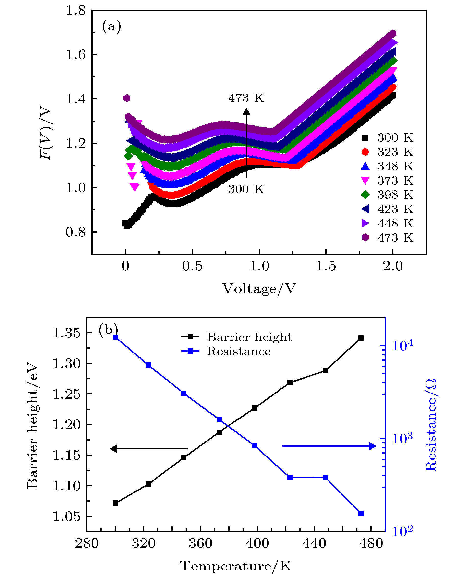
| [1] |
张裕, 刘瑞文, 张京阳, 焦斌斌, 王如志.氧化镓悬臂式薄膜日盲探测器及其电弧检测应用. 必威体育下载 , 2024, 73(9): 098501.doi:10.7498/aps.73.20240186 |
| [2] |
况丹, 徐爽, 史大为, 郭建, 喻志农.基于铝纳米颗粒修饰的非晶氧化镓薄膜日盲紫外探测器. 必威体育下载 , 2023, 72(3): 038501.doi:10.7498/aps.72.20221476 |
| [3] |
武鹏, 朱宏宇, 吴金星, 张涛, 张进成, 郝跃.基于湿法腐蚀凹槽阳极的低漏电高耐压AlGaN/GaN肖特基二极管. 必威体育下载 , 2023, 72(17): 178501.doi:10.7498/aps.72.20230709 |
| [4] |
武鹏, 李若晗, 张涛, 张进成, 郝跃.AlGaN/GaN肖特基二极管阳极后退火界面态修复技术. 必威体育下载 , 2023, 72(19): 198501.doi:10.7498/aps.72.20230553 |
| [5] |
落巨鑫, 高红丽, 邓金祥, 任家辉, 张庆, 李瑞东, 孟雪.退火温度对氧化镓薄膜及紫外探测器性能的影响. 必威体育下载 , 2023, 72(2): 028502.doi:10.7498/aps.72.20221716 |
| [6] |
刘增, 李磊, 支钰崧, 都灵, 方君鹏, 李山, 余建刚, 张茂林, 杨莉莉, 张少辉, 郭宇锋, 唐为华.具有大光电导增益的氧化镓薄膜基深紫外探测器阵列. 必威体育下载 , 2022, 71(20): 208501.doi:10.7498/aps.71.20220859 |
| [7] |
姚海云, 闫昕, 梁兰菊, 杨茂生, 杨其利, 吕凯凯, 姚建铨.图案化石墨烯/氮化镓复合超表面对太赫兹波在狄拉克点的动态多维调制. 必威体育下载 , 2022, 71(6): 068101.doi:10.7498/aps.71.20211845 |
| [8] |
汪海波, 万丽娟, 樊敏, 杨金, 鲁世斌, 张忠祥.势垒可调的氧化镓肖特基二极管. 必威体育下载 , 2022, 71(3): 037301.doi:10.7498/aps.71.20211536 |
| [9] |
宋建军, 张龙强, 陈雷, 周亮, 孙雷, 兰军峰, 习楚浩, 李家豪.基于晶向优化和Sn合金化技术的一种2.45 G弱能量微波无线输能用Ge基肖特基二极管. 必威体育下载 , 2021, 70(10): 108401.doi:10.7498/aps.70.20201674 |
| [10] |
汪海波, 万丽娟, 樊敏, 杨金, 鲁世斌, 张忠祥.势垒可调的氧化镓肖特基二极管. 必威体育下载 , 2021, (): .doi:10.7498/aps.70.20211536 |
| [11] |
李妤晨, 陈航宇, 宋建军.用于提高微波无线能量传输系统接收端能量转换效率的肖特基二极管. 必威体育下载 , 2020, 69(10): 108401.doi:10.7498/aps.69.20191415 |
| [12] |
杜园园, 张春雷, 曹学蕾.基于4H-SiC肖特基势垒二极管的射线探测器. 必威体育下载 , 2016, 65(20): 207301.doi:10.7498/aps.65.207301 |
| [13] |
马海林, 苏庆.氧分压对溅射制备氧化镓薄膜结构及光学带隙的影响. 必威体育下载 , 2014, 63(11): 116701.doi:10.7498/aps.63.116701 |
| [14] |
陈伟超, 唐慧丽, 罗平, 麻尉蔚, 徐晓东, 钱小波, 姜大朋, 吴锋, 王静雅, 徐军.GaN基发光二极管衬底材料的研究进展. 必威体育下载 , 2014, 63(6): 068103.doi:10.7498/aps.63.068103 |
| [15] |
翟东媛, 赵毅, 蔡银飞, 施毅, 郑有炓.沟槽形状对硅基沟槽式肖特基二极管电学特性的影响. 必威体育下载 , 2014, 63(12): 127201.doi:10.7498/aps.63.127201 |
| [16] |
刘玉栋, 杜磊, 孙鹏, 陈文豪.静电放电对功率肖特基二极管I-V及低频噪声特性的影响. 必威体育下载 , 2012, 61(13): 137203.doi:10.7498/aps.61.137203 |
| [17] |
杨丽侠, 杜 磊, 包军林, 庄奕琪, 陈晓东, 李群伟, 张 莹, 赵志刚, 何 亮.60Co γ-射线辐照对肖特基二极管1/f噪声的影响. 必威体育下载 , 2008, 57(9): 5869-5874.doi:10.7498/aps.57.5869 |
| [18] |
王艳新, 张琦锋, 孙 晖, 常艳玲, 吴锦雷.ZnO纳米线二极管发光器件制备及特性研究. 必威体育下载 , 2008, 57(2): 1141-1144.doi:10.7498/aps.57.1141 |
| [19] |
郭大勃, 元 光, 宋翠华, 顾长志, 王 强.碳纳米管的变温场发射. 必威体育下载 , 2007, 56(10): 6114-6117.doi:10.7498/aps.56.6114 |
| [20] |
刘 杰, 郝 跃, 冯 倩, 王 冲, 张进城, 郭亮良.基于I-V-T和C-V-T的GaN上Ni/Au肖特基接触特性研究. 必威体育下载 , 2007, 56(6): 3483-3487.doi:10.7498/aps.56.3483 |