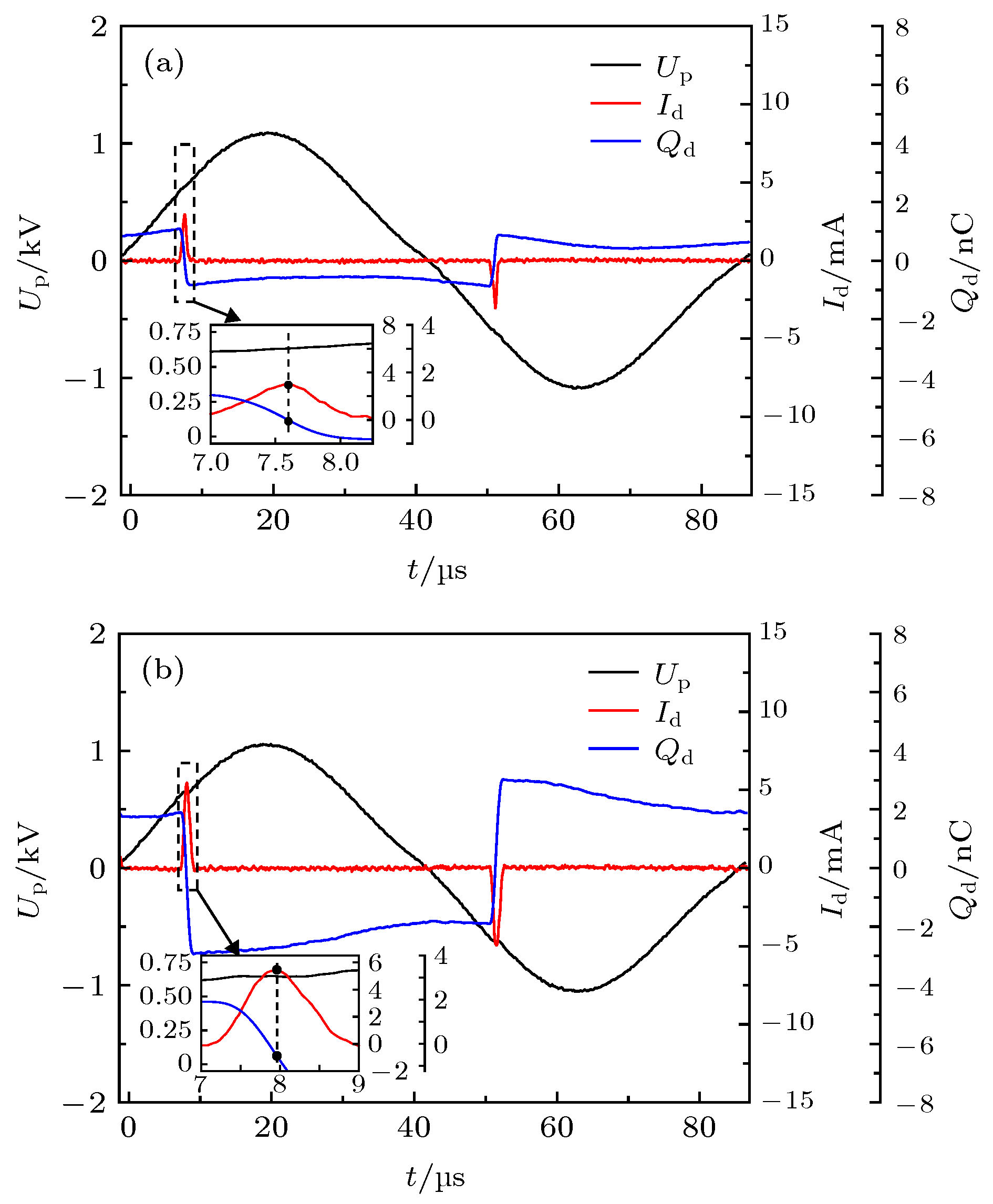
Dielectric barrier discharge is widely used as a low-temperature plasma source in industry. Columnar discharge is an important form of dielectric barrier discharge. However, its discharge theory has not been clear yet. In this paper, the dielectric barrier discharges in helium at atmospheric pressure are carried out between parallel dielectric barrier electrodes to study the evolutionary dynamics of single-multiple columns. By reducing the applied voltages to a value lower than the initial discharge voltage, the pattern of the columnar discharge evolves from a single column into multiple columns. Discharge images from the bottom are taken to observe the evolution of discharge and measure the diameter of discharge column and spacing between columns. The applied voltage, the Lissajous figure, the discharge current, and the discharge transferred charge are measured in order to calculate the Coulomb force and the magnetic field force exerted on the column by the other columns. It is found that in columnar discharge, there is a dynamic evolution process that the single columnar discharge evolves into the two-layered columnar discharge when the applied voltage slightly decreases instantaneously. On the one hand, the column diameter is different in different layer: the column diameter increases from the center to the outer layer. On the other hand, as the applied voltage decreases, the diameter of the center column grows and the spacing between the center column and its adjacent column decreases. The calculations show that the Coulomb force is far greater than the magnetic field force when the evolution is stable, which indicates that, as mentioned in the established knowledge, there is a confinement potential to balance the Coulomb force, thereby keeping the distribution of discharge columns stable. Furthermore, the results also show that the Coulomb force on the discharge columns at different voltage and position is different. The strength of Coulomb force on column is different at different layer: it decreases from the outermost layer to the center column, which is zero on the center column. Based on the balance between the Coulomb force and the confinement potential in columnar discharge, it is suggested that the strength of the latter may also follow the same law. In addition, as the applied voltage decreases, the charges accumulated on the surface of the dielectric and the number of discharge columns both increase, which results in the increase of the maximum of the Coulomb force. The confinement potential may increase as well and follow the same law.