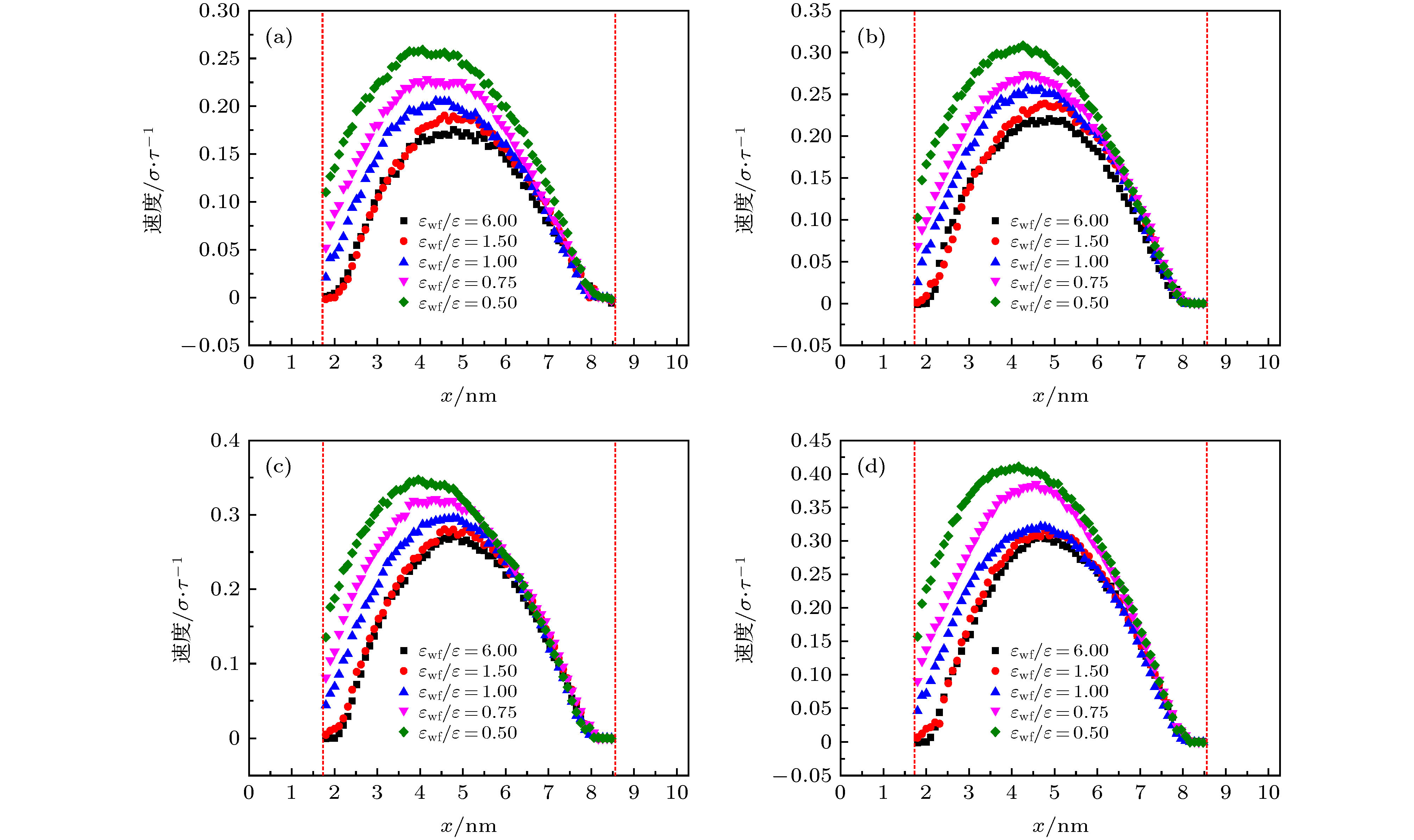
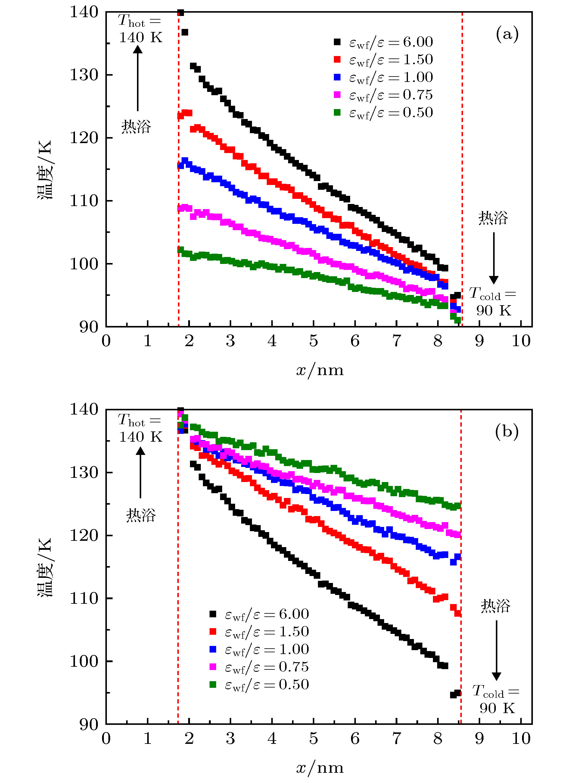
Heat transfer in a micro-scale system has less thermal inertia and faster thermal response, which has unique advantages in controlling heat transfer. Interface thermal resistance is an important physical quantity that reflects the heat transfer performance of the interface on a micro-scale. In this paper, the interface thermal resistance os static fluid and flowing fluid in nanochannel, which are different in the wall temperature and wettability, are studied by the molecular dynamics method. In the static fluid, the results show that the wall wettability has a significant influence on the interface thermal resistance, and the stronger the wall wettability, the smaller the values of interface thermal resistance is. For the walls with different temperatures, it can be observed that the interface thermal resistance on high temperature wall is higher than that on low temperature, when the wall wettability is weaker. On the contrary, when the wall wettability is stronger, the effect of wall temperatures on the interface thermal resistance is negligible. An external force applied to the fluid domain makes the fluid flow. In the flowing fluid, the results show that the variation of wall wettability and external force can lead to the slip to different degrees at the interface, and the slip-induced frictional viscous heat is generated at the solid-liquid interface, and thus increasing the fluid temperature and the heat flux of the system. The effect of external force on the thermal resistance is limited by the wall wettability. When the wall wettability is weaker, the increase of the external force will make the interface slip more easily and the thermal resistance decrease. With the stronger wall wettability, it is difficult to make the interface slip obviously with the increase of external force, and the influence of external force on interface thermal resistance decreases. The heat transfer performance at the solid-liquid interface is related to the number of fluid molecules adsorbed on the wall surface. The results show that in the static fluid, the increase of wall wettability will make more fluid molecules adsorbed on the wall, and the arrangement becomes more and more regular, which causes the interface thermal resistance to decrease and is beneficial to the interface heat transfer. In the flowing fluid, the change of external force has less influence on the number of adsorbed molecules, and the wall wettability is the main factor affecting the adsorption of fluid molecules on the wall.