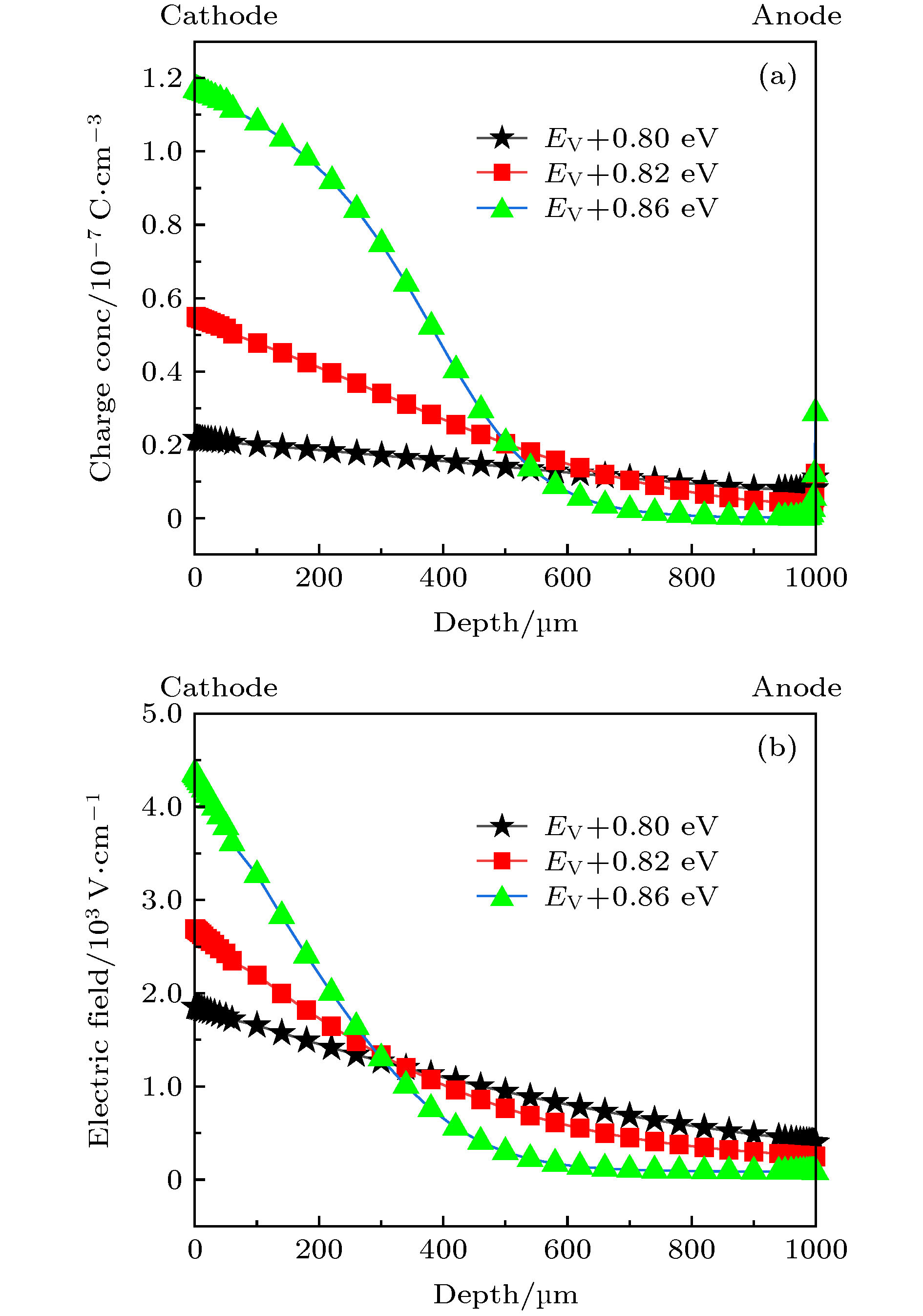
CdZnTe recently emerged as a leading semiconductor crystal for fabricating room-temperature x- and gamma-ray imaging detectors, due to its excellent energy resolution and sensitivity. However, its wide deployment is hampered by the low availability of high-quality CdZnTe crystals. As-grown CdZnTe crystals generally encounter the problems arising from the impurities and defects, especially deep level defects. The presence of impurities and defects leads to severe charge trapping, which significantly affects detector performance. Especially for high counting rate imaging detector used in medical imaging and tomography, the accumulation of space charge at deep levels significantly deforms the electric field distribution and subsequently reduces the charge collection efficiency. Therefore, a considerable interest is focused on the investigation of the space charge accumulation effect in CdZnTe crystal, which is the key factor to improve the performance of high counting rate imaging detector. Thus, the goal of this work is to investigate the effects of deep level defects on space charge distribution and internal electric field in CdZnTe detector. In order to reveal the major problem therein, Silvaco TCAD technique is used to simulate the space charge and electric field distribution profile in CdZnTe detector with considering the typical deep level defects
$ \rm Te_{Cd}^{++} $
in CdZnTe crystals with activation energy of
E
v+ 0.86 eV and concentration of 1 × 10
12cm
–3at room temperature. The simulation results demonstrate that the Au/ CdZnTe /Au energy band tilts intensively with the increase of applied bias, which makes the deep level ionization fraction increase. The space charge concentration also increases in the crystal. Meanwhile, the dead layer of electric field distribution decreases, which is of benefit to the carrier collection of CdZnTe detector. In addition, under the premiseof the high resistivity of CdZnTe crystal, the reduction of deep level defect concentration located at
E
v+ 0.86 eV can narrow the internal dead layer moderately. The deep level defect located at
E
v+ 0.8 eV can also reduce the space charge concentration near the cathode, which flattens the electric field distribution with narrower dead layer, thus significantly improving the carrier collection efficiency of CdZnTe detector. These simulation results will provide meaningful theoretical guidance for further optimizing the CdZnTe crystal growth, device design and fabrication.