Organic photovoltaics (OPVs) have been considered as one of the preliminary candidates for the third-generation solar cells due to their particularly advantages, such as light-weight, low cost, solution processability and mechanical flexibility. In recent years, the power conversion efficiency (PCE) of OPVs has achieved remarkable progress with the development of non-fullerene acceptors (NFAs), which exhibit stronger capability of light absorption and stability than the fullerene acceptors. However, the narrow absorption properties of organic materials still restrict the further breakthrough of the performance of OPVs. It is difficult for the binary heterojunction films to realize the effective wide spectrum utilization of solar energy. Ternary strategy, which consists of one donor and two acceptors or two donors and one acceptor in a bulk-heterojunction, has proven to be an effective and facile way to enhance performances of OPVs. The emergence of new NFAs such as ITIC, IT-4F, Y6
etc.greatly increases the selectivity of acceptors in a ternary system. It is necessary to investigate the compatibility of latest NFA materials and corresponding ternary device performance.
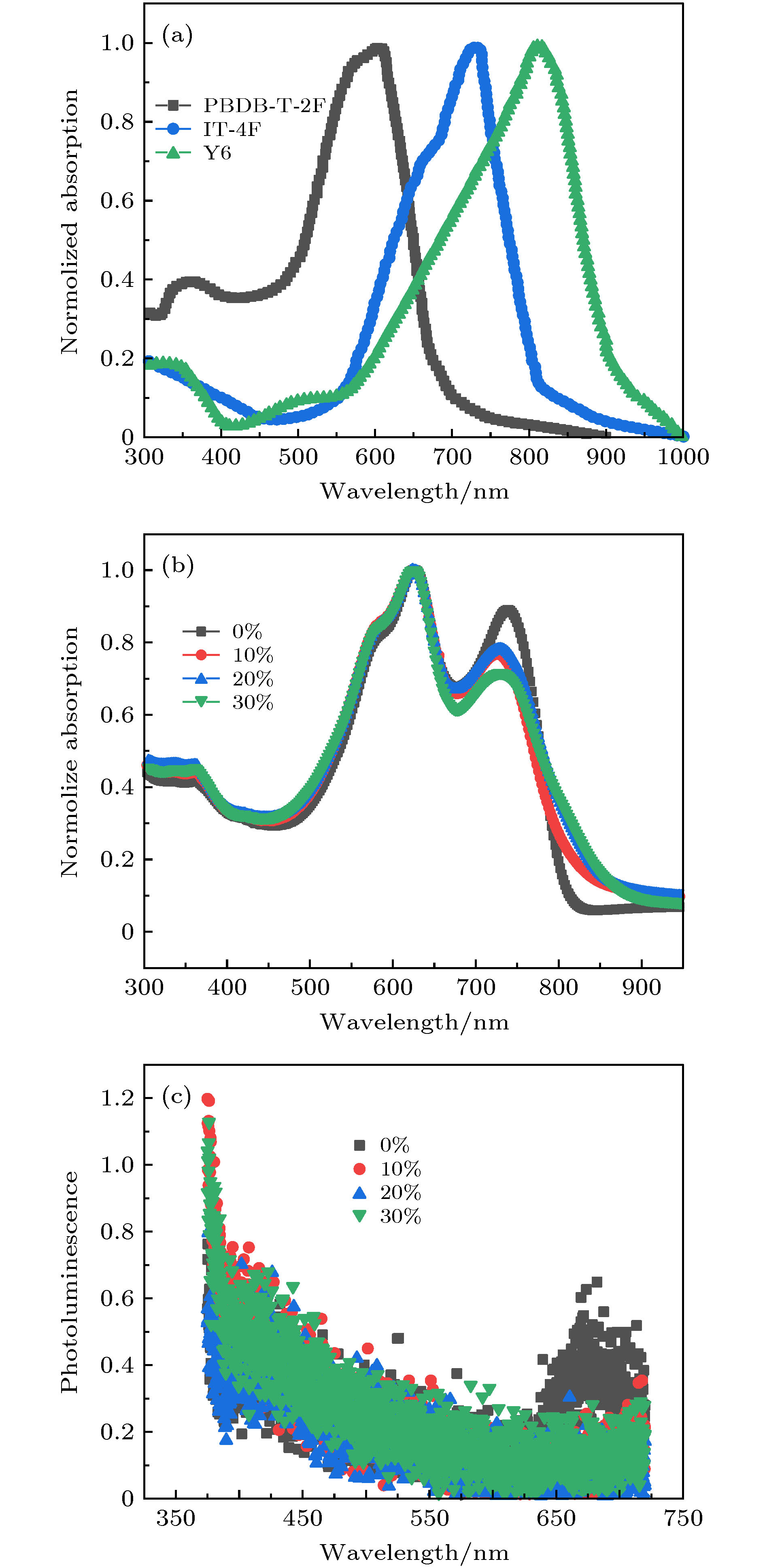
In this article, we report a new ternary OPV system with dual NFAs and a polymer donor. The excellent NFA material (Y6), which was first reported in 2019, is used as the third component. Different concentrations of Y6 are introduced into the binary system based on PBDB-T-2F:IT-4F. The compatibility between materials and device performances are investigated through absorption capability of blend films, AFM, water contact angle, GISAXS, and corresponding electrical properties of devices. The 12.48% PCE is achieved from ternary OPVs with PBDB-T:IT-4F as the active layers containing 20wt% Y6 in acceptors, resulting from the enhanced
J
scof 22.09 mA/cm
2,
V
ocof 0.83 V and
FFof 68.45%. The origin of the improvement of the ternary OPVs is summarized below. Firstly, an apparently complementary absorption spectrum is obtained through the introduction of Y6, which has a stronger photo harvesting capability in the spectral range from 750 to 950 nm than IT-4F, and higher short current density (
J
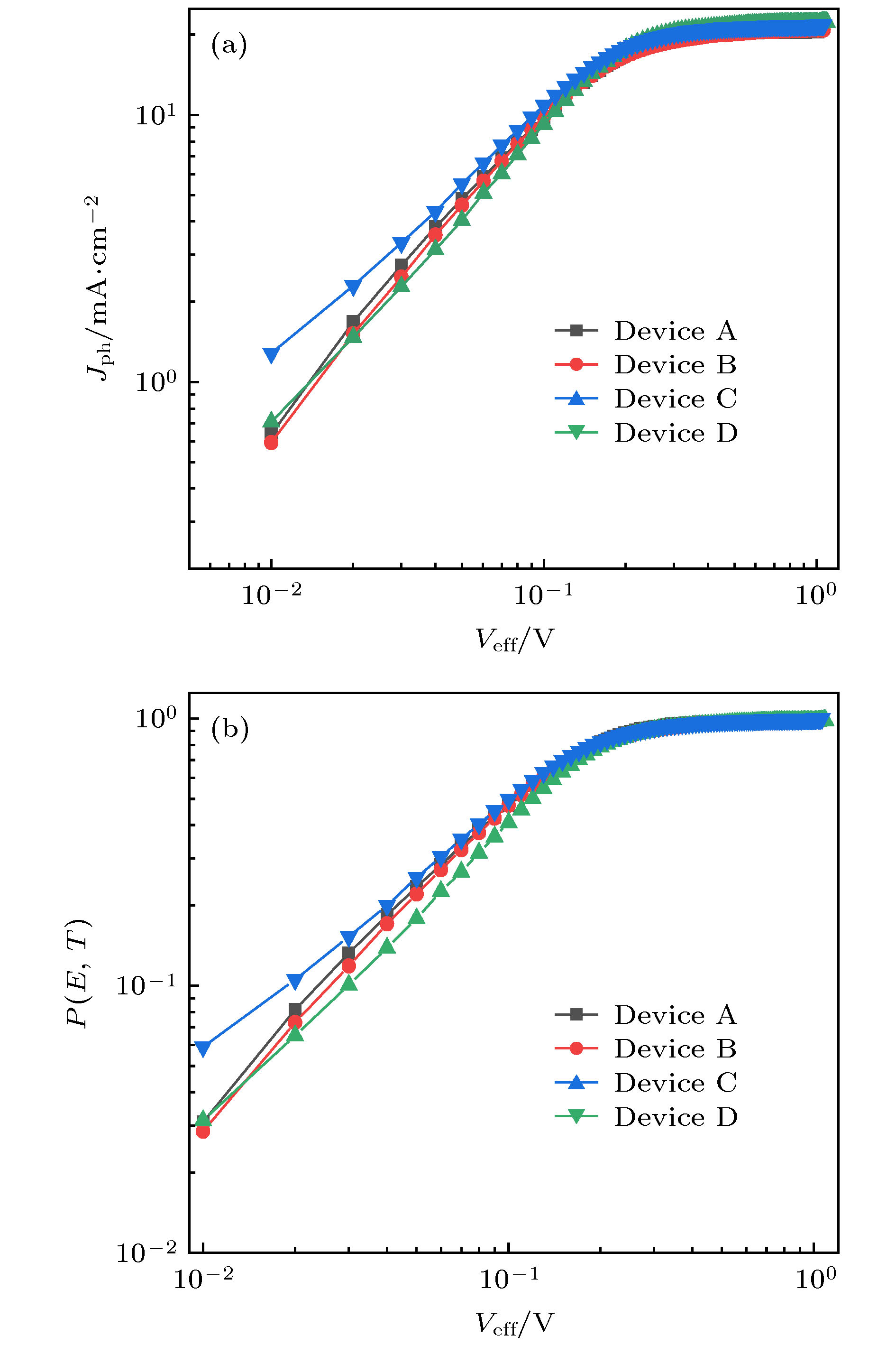
sc) is observed in the ternary devices than in the binary device. Secondly, a rougher surface of the active layer is observed by increasing the Y6 concentration, which may result in an inferior exciton dissociation and charge transport process, the existence of larger-scaled crystal is proved by the GISAXS technology. Thirdly, the introduced Y6 can help to suppress the bimolecular recombination, which is in favor of the incremental device performance. Approximately 17.85%
PCEimprovement is obtained in comparison with PBDB-T-2F:IT-4F based binary OPVs.