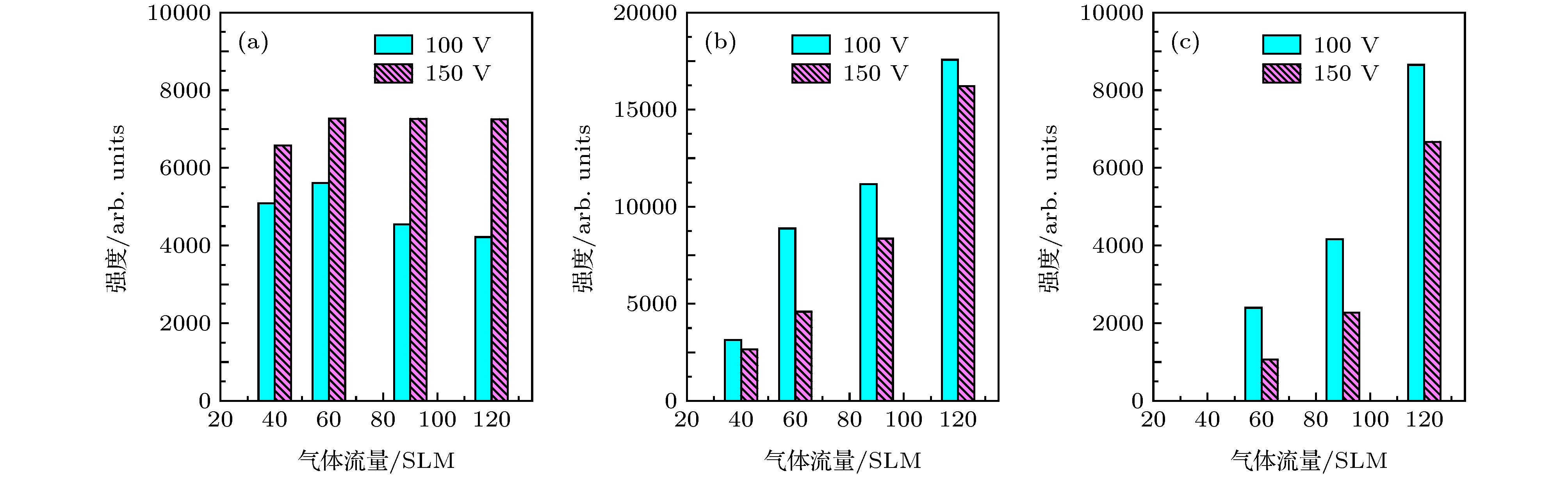
Alternating current rotating gliding arc discharge can produce large-scale, wide-range non-equilibrium plasma at atmospheric pressure. In order to investigate the gliding discharge mode, discharge characteristics and Spectral characteristics of AC rotating gliding arc discharge plasma, high speed camera, oscilloscope and spectrometer are used to collect discharge images and electrical signals of rotating gliding arc synchronously. Thus the dynamic behavior of arc and the characteristics of electric signal in the process of rotating gliding arc can be analyzed. The experimental results show that there are two different discharge modes in the rotating gliding arc discharge process, namely the breakdown gliding discharge mode (B-G mode) and the stable gliding discharge mode (A-G mode). The B-G mode is mainly characterized by high-frequency breakdown phenomenon (breakdown-extinguish-breakdown) during the arc gliding process, while the A-G mode is mainly characterized by stable continuous arc sliding. The paper also discusses the working mechanism in which the working parameters influence the gliding arc discharge characteristics. It is shown that the discharge mode and discharge characteristics of arc are the result of the combined action of excitation voltage and gas flow. When the gas flow is large and the excitation voltage is small, the gliding arc is an unstable discharge dominated by the B-G mode. Conversely, when the excitation voltage is large and the gas flow is small, the gliding arc is a stable gliding discharge dominated by the A-G mode. In addition, in B-G mode, the energy consumption is mainly concentrated in the breakdown moment, and the energy release is mainly pulsed. However, when the gliding arc discharge is in A-G mode, the energy dissipation is mainly used to maintain the continuous existence of the arc without extinguishing, and the energy release is stable and continuous. Affected by the gas flow rate and excitation voltage, the breakdown frequency of the B-G mode is greater than that of the A-G mode. Higher repeat breakdown frequency can cause multiple ionization in the process of gliding arc discharge, which produces more active particles. The research conclusions in this paper provide theoretical support for regulating the operating characteristics of the gliding arc discharge. In engineering application, the discharge mode, breakdown frequency and breakdown current of the gliding arc can be adjusted by changing the working parameters to obtain plasma sources with different characteristics.