-
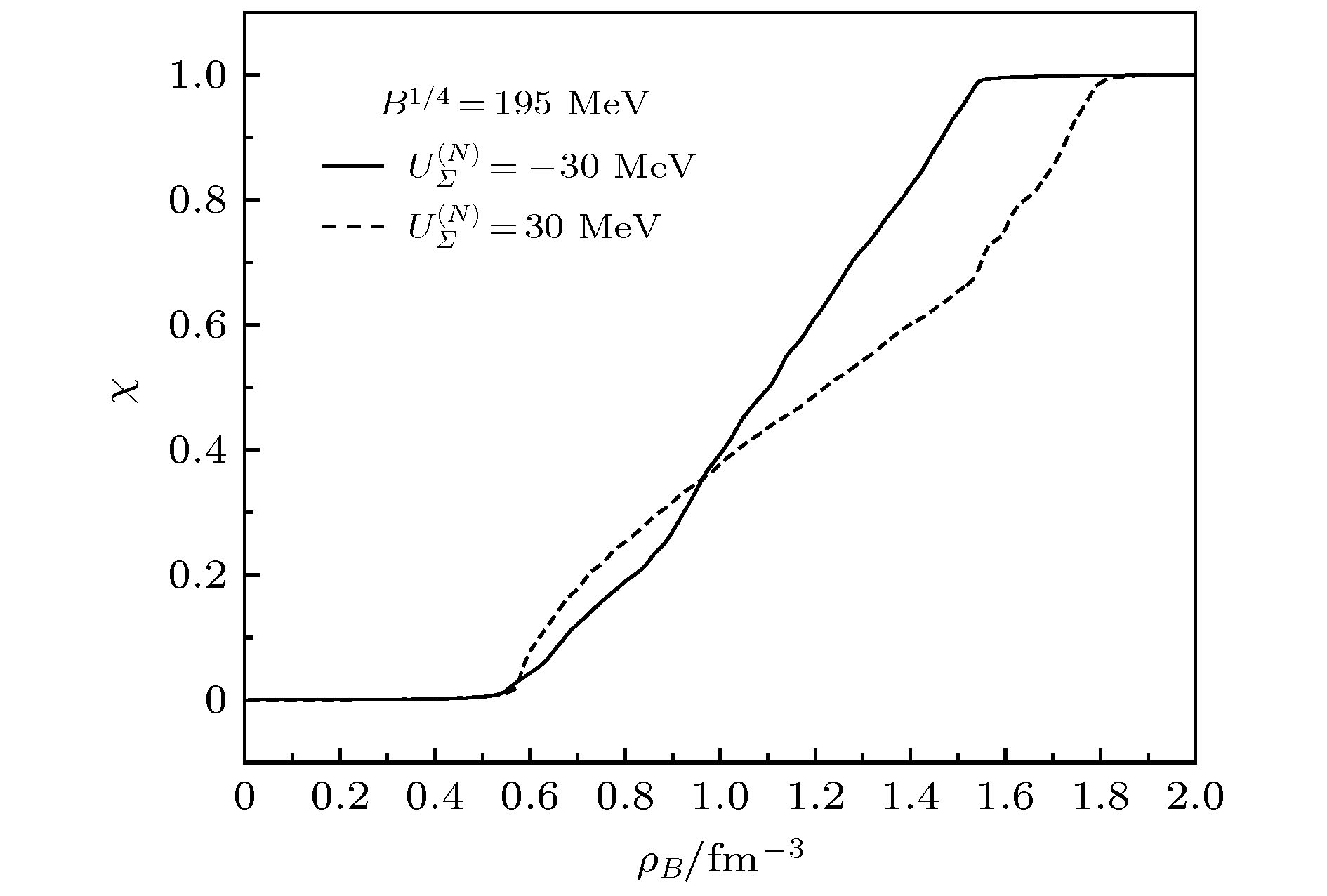
高密度物质环境内可能存在多种相互竞争的粒子相. 利用包含 ω 2 ρ 2相互作用项的相对论平均场理论中FSUGold参数组描述强子相物质, 夸克质量密度相关的有效质量口袋模型描述夸克相物质, 再通过Gibbs相平衡条件构建强子-夸克混合相物质, 研究了处于 β平衡的混合中子星性质. 计算口袋常数 B对混合中子星性质的影响, 结果表明 B对始末点、粒子分布均有较大影响, 且相较于相变开始点, 相变结束点受 B的影响会更加明显. 随着 B的增大, 混合中子星物质状态方程变硬, 质量-半径关系曲线上升, 极限质量在1.3—1.4倍太阳质量( M ☉)范围内, 半径在9—12 km之间. 此外, 还研究了吸引和排斥的 Σ势对混合中子星性质的影响, 结果表明不同 Σ势对混合中子星内的粒子种类影响较大, 且相较于 Σ引力势, 混合中子星在 Σ斥力势下拥有更大的极限质量. 计算得到吸引和排斥的 Σ势下混合中子星的极限质量分别为1.38 M ☉和1.41 M ☉.Astronomical statistics shows that the mass of neutron star is of the order of the solar mass, but the radius is only about ten kilometers. Therefore, the neutron star is highly condensed and there may be a variety of competing material phases inside the compact star. Hadron-quark deconfinement phase transition that is poorly understood at high density can be studied by the matter properties of hybrid star. The hybrid star contains many kinds of material phases, which cannot be described uniformly by one theory. So, different material phases are described by different theories. The hadronic phase is described by the relativistic mean-field theory with parameter set FSUGold including ω 2 ρ 2interaction term, and the quark phase is described by an effective mass bag model in which the quark mass is density-dependent. The hadron-quark mixed phase is constructed by the Gibbs phase transition, and the properties of hybrid star in βequilibrium is studied in this model. It is found that the bag constant Bhas a great influence on the starting point and ending point of the hadron-quark deconfinement phase transition and the particle composition in the hybrid star. Comparing with the starting point of phase transition, the influence of Bon the ending point of phase transition is very obvious. For the hybrid star, the equation of state of matter becomes stiffer at low density and softer at high density as Bincreases. The overall effect is that the slope of the mass-radius curve increases with Bincreasing. The calculated results show that the maximum mass of hybrid star is between 1.3 solar mass and 1.4 solar mass ( M ☉), and the radius is between 9 km and 12 km. In addition, the influence of attractive and repulsive Σpotential on the properties of hybrid stars are studied. The results show that the Σpotential has a great influence on the particle composition in the hybrid star. We also find that the repulsive Σpotential makes the hybrid star have a greater maximum mass then an attractive Σpotential. For the attractive Σpotential, the maximum mass of hybrid star is 1.38 M ☉, while for the repulsive Σpotential, the maximum mass of hybrid stars is 1.41 M ☉.
-
Keywords:
- dense nuclear matter/
- relativistic mean field/
- effective mass bag model/
- nuclear astrophysics
[1] [2] [3] [4] [5] [6] [7] [8] [9] [10] [11] [12] [13] [14] [15] [16] [17] [18] [19] [20] [21] [22] [23] [24] [25] [26] [27] [28] [29] [30] [31] [32] [33] [34] [35] [36] [37] [38] [39] [40] [41] [42] [43] [44] [45] [46] [47] [48] [49] [50] [51] [52] -
[1] [2] [3] [4] [5] [6] [7] [8] [9] [10] [11] [12] [13] [14] [15] [16] [17] [18] [19] [20] [21] [22] [23] [24] [25] [26] [27] [28] [29] [30] [31] [32] [33] [34] [35] [36] [37] [38] [39] [40] [41] [42] [43] [44] [45] [46] [47] [48] [49] [50] [51] [52]
计量
- 文章访问数:5008
- PDF下载量:65
- 被引次数:0












下载:





