According to the first-principles calculation within PBE+
Umethod and tight-binding model, the magnetic properties and electronic structures of two-dimensional (2D) CrPSe
3monolayer were investigated. Constructed by a Cr-honeycomb hexagonal lattice, 2D CrPSe
3was predicted to be in a half-metallic ferromagnetic state with dynamic stability, confirmed by the phonon spectrum with no imaginary dispersion. The Curie temperature was estimated as 224 K by Monte Carlo simulation within the Metropolis algorithm under the periodic boundary condition. The thermal stability of CrPSe
3monolayer was estimated at 300 K by a first-principles molecular dynamics simulation. It is found that the magnetic ground state of CrPSe
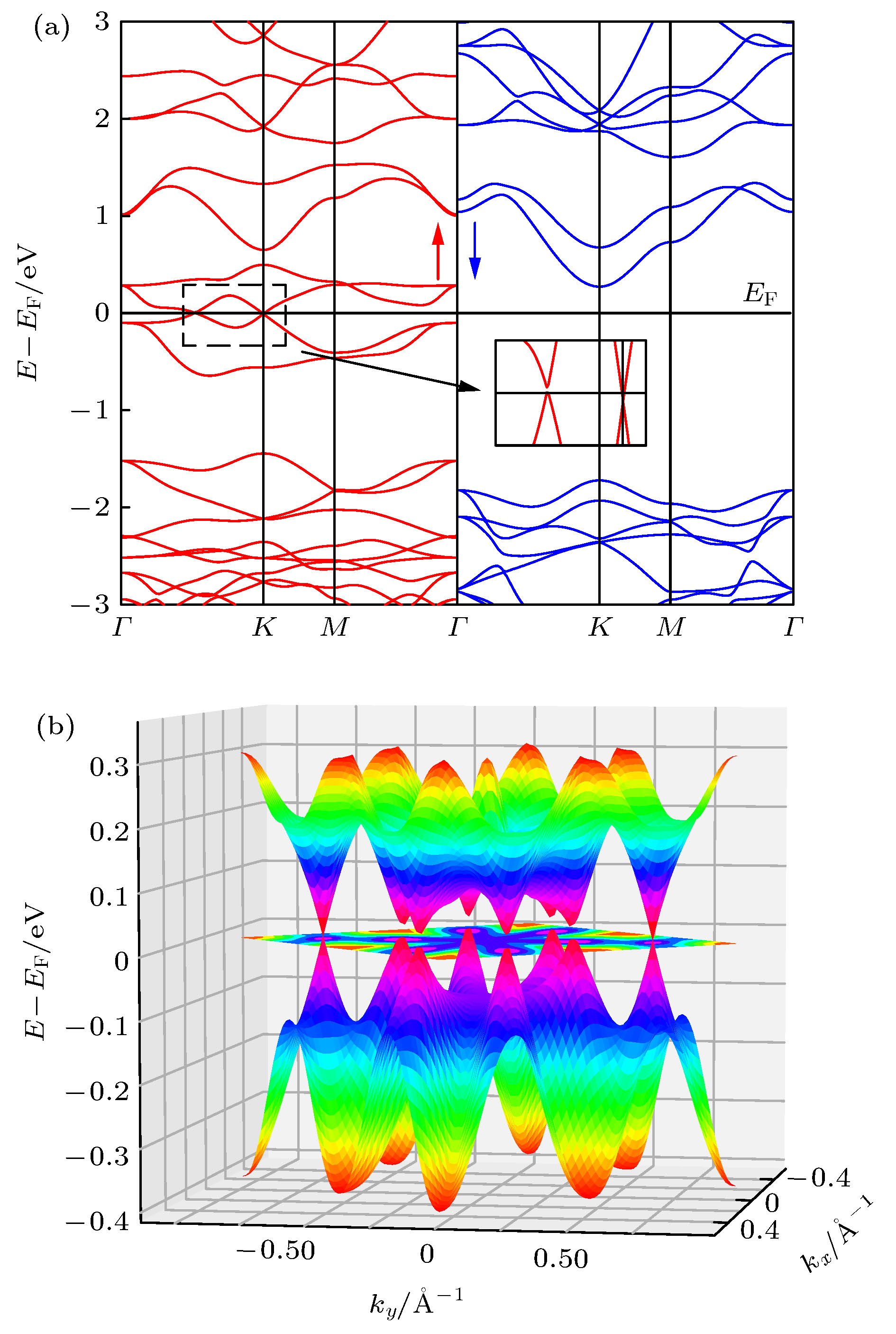
3monolayer is determined by a competition between the antiferomagnetic d-d direct exchange interactions and the Se-p orbitals mediated ferromagnetic p-d superexchange interactions. Most interestingly, in the half-metallic state the band structure exhibits multiple Dirac cones in the first Brillouin zone: two cones at
Kpoint showing a very high Fermi velocity
${v_{\rm F}{(K)}} = 15.8 \times 10^5 \;{\rm m \!\cdot\! s^{-1}}$
about twice larger than the
$ v_{\rm F} $
of graphene in the vicinity of Fermi level, and six cones at
$ K'/2 $
points with
${ v_{\rm F} {(K'/2)}} = 10.1 \times 10^5\;{\rm m \!\cdot\! s^{-1}}$
close to the graphene's value. These spin-polarized Dirac cones are mostly composed of Cr
${\rm d}_{xz}$
and
${\rm d}_{yz}$
orbitals. The novel electronic structure of CrPSe
3monolayer is also confirmed by the HSE06 functional. A tight-binding model was built based on the Cr-honeycomb structure with two Cr-d orbitals as the basic with the first, second and third nearest-neighboring interactions, further demonstrating that the multiple Dirac cones are protected by the Cr-honeycomb lattice symmetry. Our findings indicate that 2D CrPSe
3monolayer is a candidate with potential applications in the low-dimensional, high speed and temperature spintronics.