The diffusive transport in complex confined media is ubiquitous such as diffusions of micro- or nano-particles in glassy liquids and polymer solutions, protein diffusions under crowded conditions, and deliveries of drugs in the biological media. Therefore, the understanding of the diffusive transport arouses the great interest of researchers in the physics, materials science, and biology circles. Despite the fact that the shape of the colloidal particles acts as one of the important physical factors influencing their dynamic behaviors, the study of the anisotropic particles diffusing in confined media is still lacking. In this work, we propose a simple experimental model to investigate the confined diffusion of shape-anisotropic particles. The diffusion of an ellipsoid at different area fractions (
ϕ) of colloidal spheres is investigated through video microscopy. At low
ϕ, ellipsoid exhibits a random trajectory and free diffusion in translational and rotational degree of freedom; while at high
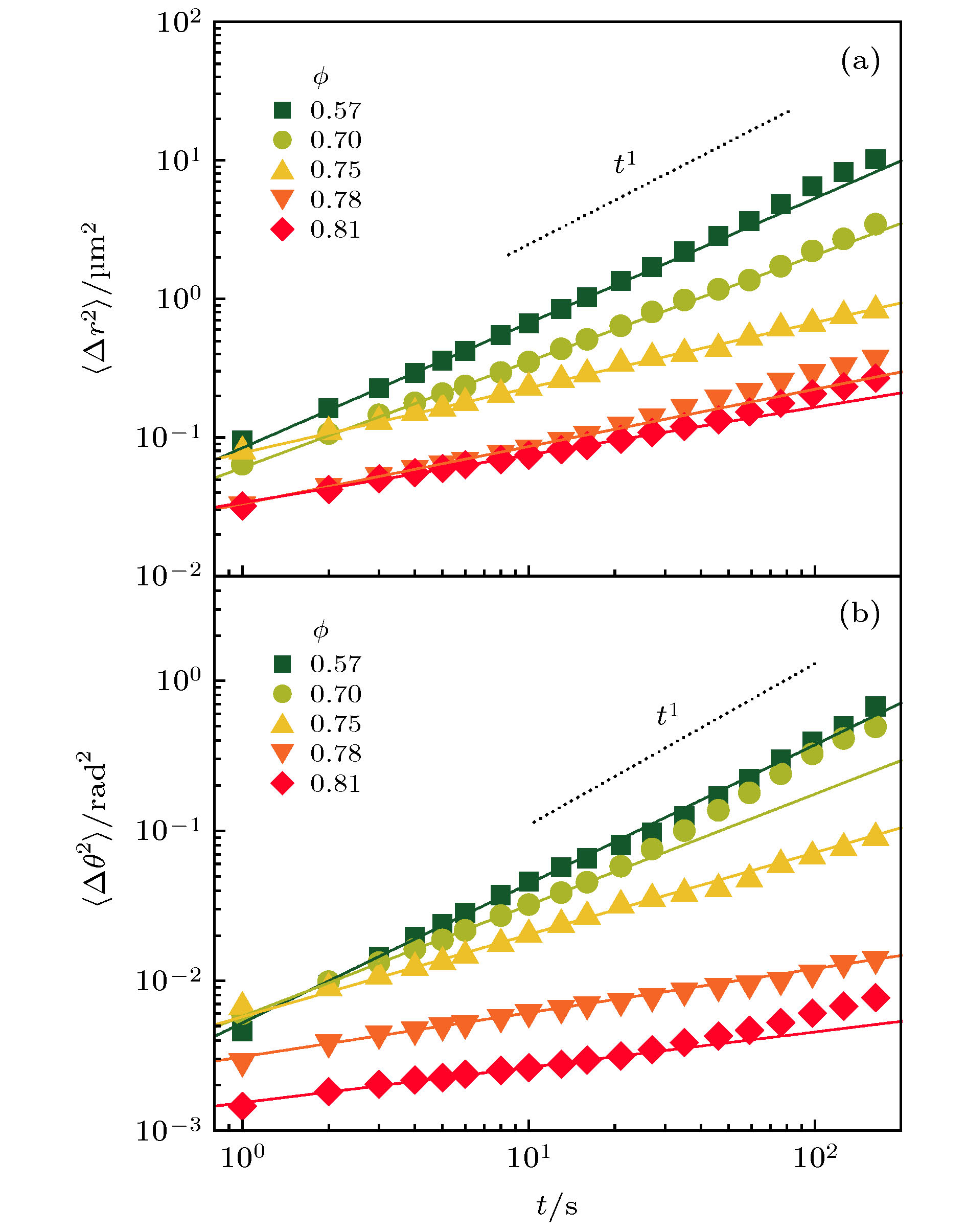
ϕ, the trajectory is in a small spatial range with a nearly constant orientation of the particle, indicating that the arrested diffusion takes place in translational and rotational degree of freedom. The translational and rotational mean square displacement decrease with the increase of
ϕ. By power-law fitting (~
tβ), it is found that
βdecreases from 1 to a small value at high
ϕ, demonstrating that the ellipsoid experiences a transition from normal diffusion to sub-diffusion. Moreover,
βfor rotational motion decreases faster than that for translational motion at high
ϕ, which signifies that the the rotational motion decouples from the translational motion with increasing
ϕ. The results from the van Hove correlation function show that the translational displacement along the major axis of the ellipsoid is always larger than that along the minor axis, manifesting the ellipsoid prefers to diffuse along its major axis independent of
ϕ. Significant non-Gaussian tail is observed in the distribution of the translational displacement along the major axis with increasing
ϕ. However, the distribution of the translational displacement along the minor axis presents a nearly Gaussian behavior independent of
ϕ. This indicates that the translational motion along the major axis decouples from the translational motion along the minor with increasing
ϕ. For the rotational displacement, the non-Gaussian tail is only observed at the intermediate
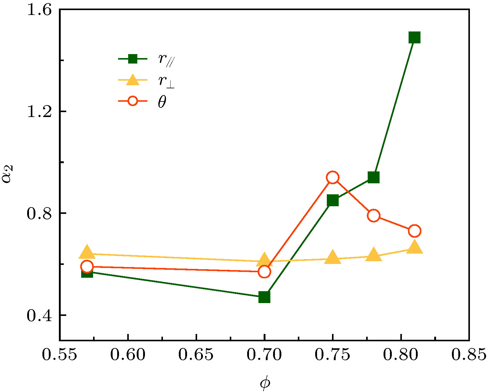
ϕ. These non-Gaussian behaviors are confirmed by calculating the non-Gaussian parameter (
α
2). Our experiments demonstrate that the confinements give rise to the anomalous diffusion behaviors of the anisotropic colloids, which is conducive to the understanding of transportations of anisotropic objects in complex environments.