As a typical helimagnet, ZnCr
2Se
4possesses fascinating effects including magnetoelectric coupling, magnetostriction, negative thermal expansion, as well as possible diversity in quantum ground states. Here in this work, we investigate magnetic excitation arising from spiral spin structure in ZnCr
2Se
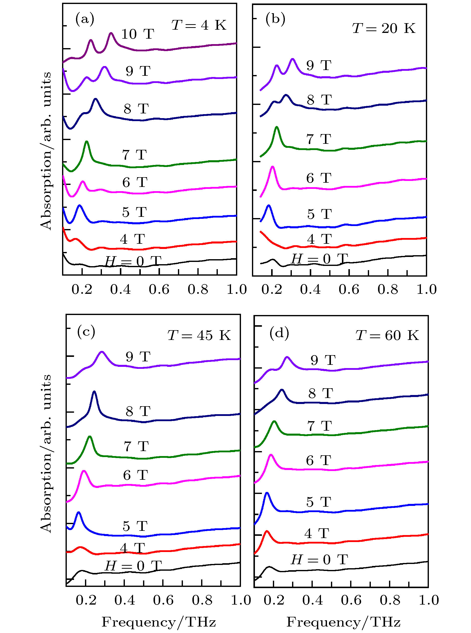
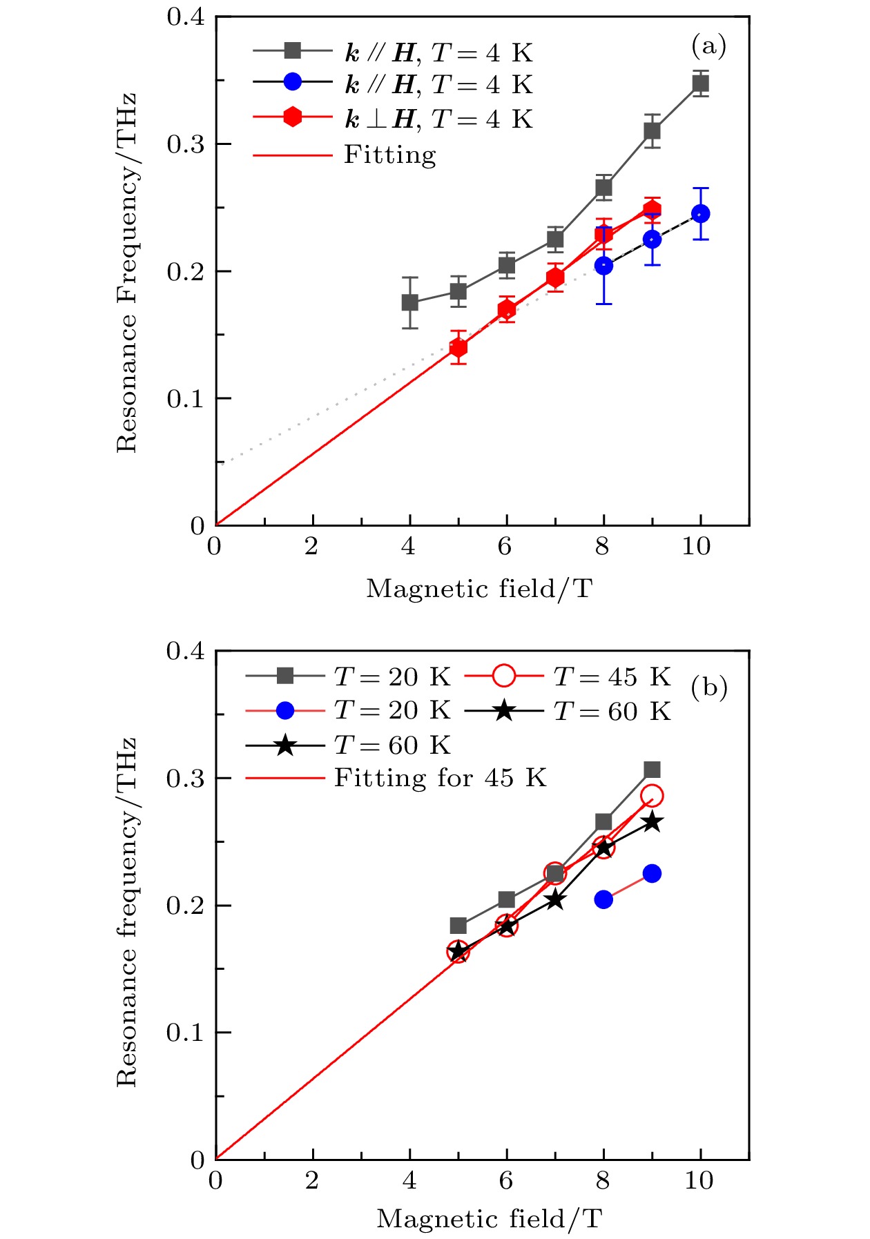
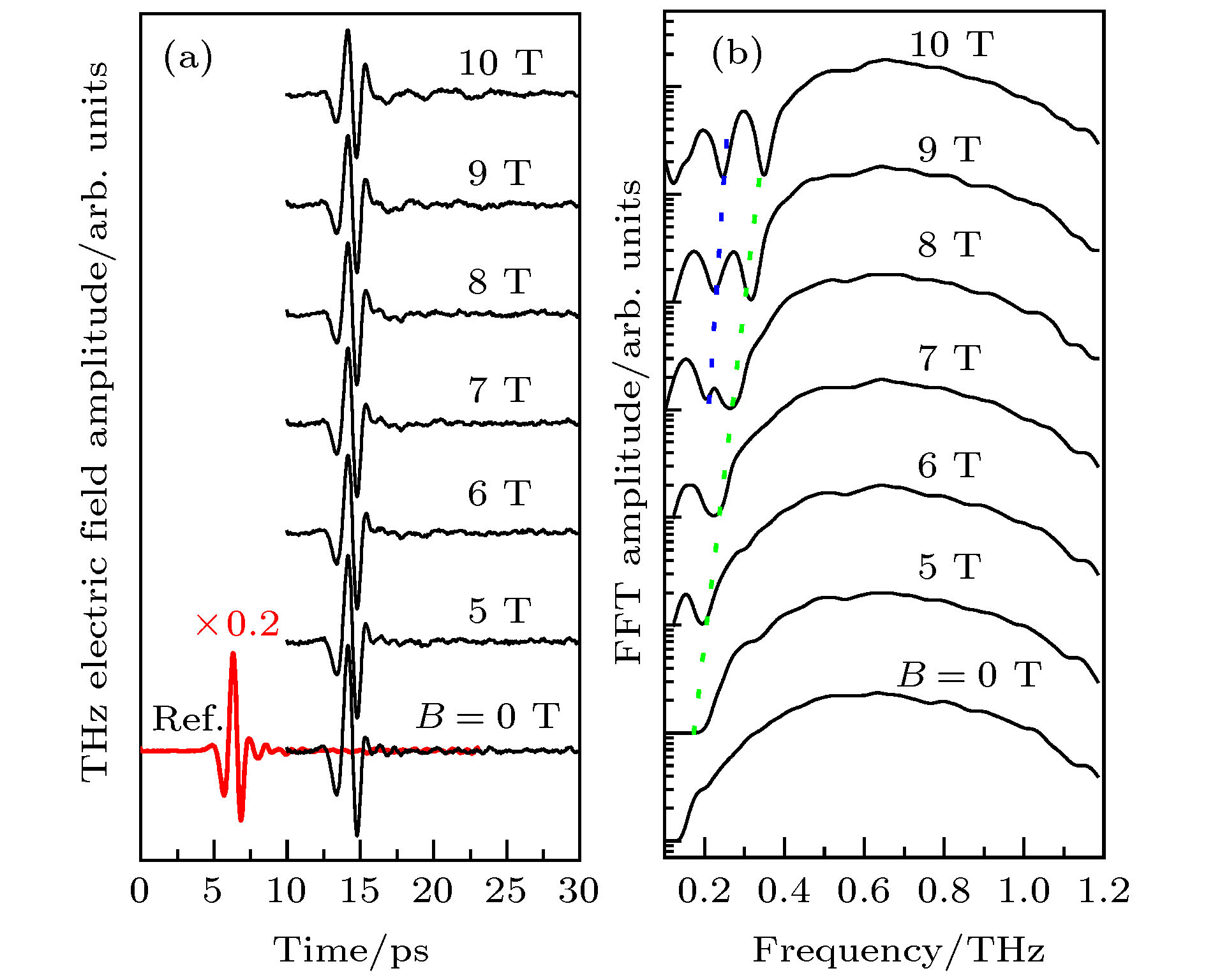
4single crystal by using terahertz (THz) time domain spectroscopy (THz-TDS) under magnetic fields up to 10 T and at low temperatures. The magnetic resonance absorption is observed in a sub-THz region as the applied magnetic field is above 4 T, featuring the blue shift with magnetic field increasing. As the THz wave vector (
k) is vertical to the external magnetic field (
H), the single resonance frequency conforms well with the linear Larmor relation, corresponding to a spin structure transformation from helical to ferromagnetic state with magnetic field increasing in ZnCr
2Se
4. However, in the geometry in which both
kand
Hare along the
$ \langle 111\rangle $
direction of crystal, a well-defined resonance splitting emerges when
H> 7 T. Especially, the high-frequency absorption shows pronouncedly nonlinear magnetic field dependence. It is suggested that such anisotropic spin dynamics below Néel temperature be linked with the field-driven quantum criticality unveiled in recent work.