Residence-times distribution function (RTDF), as a distribution function of times between two consecutive switches in a bistable system, is extensively used to characterize the phenomenon of stochastic resonance (SR). However, most of the studies focus on the symmetric bistable systems. As a matter of fact, the majority of asymmetric systems encountered in nature are more universal and practical. Additionally, due to the combination of diverse propagations or transduction mechanisms, noise recycling, constituted by the superposition of a master noise with a secondary component delayed by a time shift
τ, can be generated while a noise is injected into a system and transmitted across the system. Therefore, an asymmetric system subjected to noise recycling is no longer non-Markovian. As a result, it is essential to take the special correlation of noise recycling into account when studying the transition dynamics of particles, which makes it difficult to obtain the analytical formula of RTDF. To solve the above problem, a theoretical method to calculate the RTDF of an asymmetric bistable system driven by noise recycling is put forward in this paper. By using the two-state model with piecewise escape rate, the piecewise escape rate function can be established, based on which the RTDF is derived theoretically with a piecewise formula. It is emphatically demonstrated theoretically and numerically that the RTDF exhibits a feedback-induced structure due to the asymmetry of system. Meanwhile, the effects of relative strength and recycling lag on the structure of RTDF are investigated theoretically and numerically. The results are shown as follows: when the asymmetry satisfies
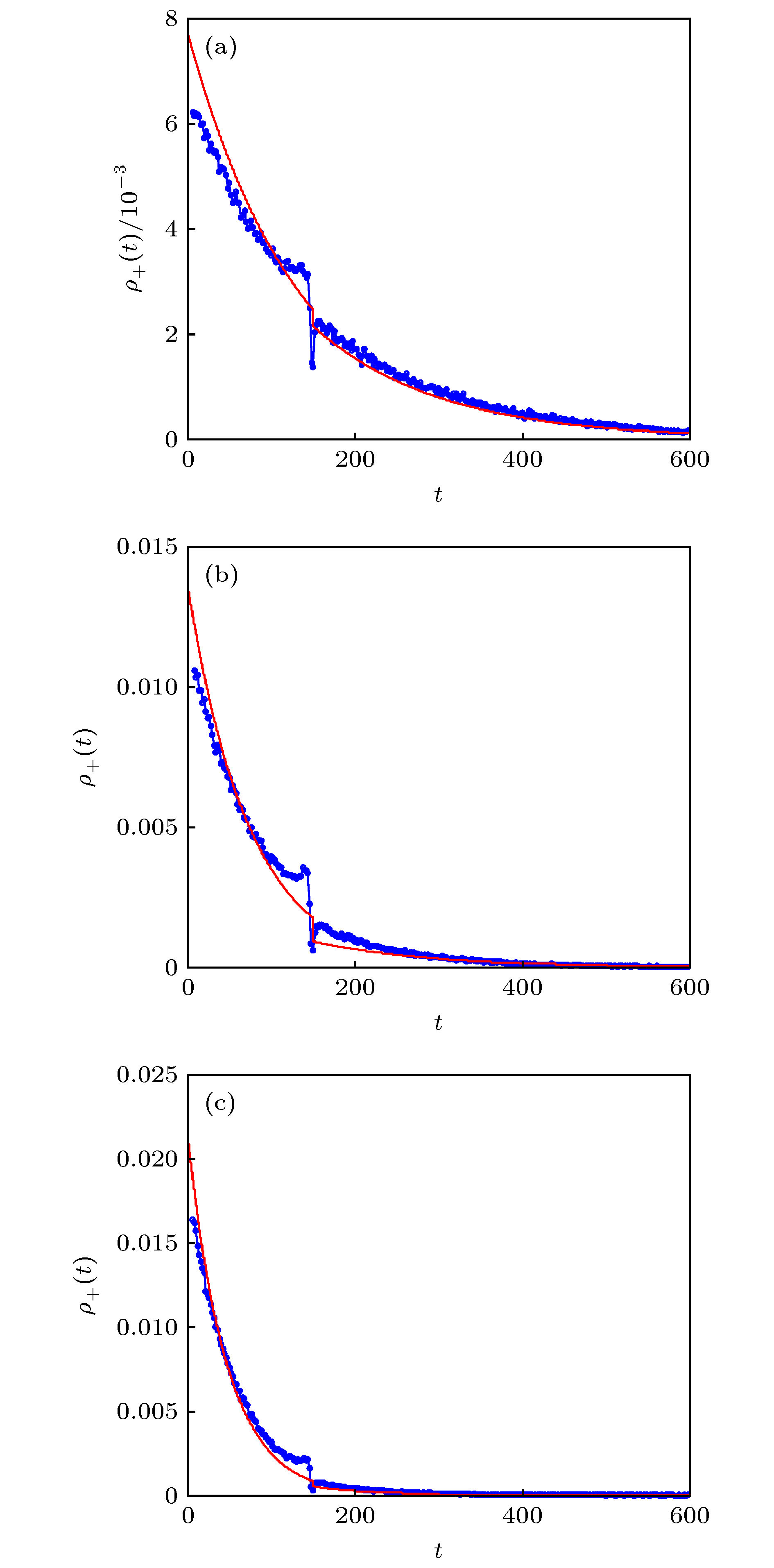
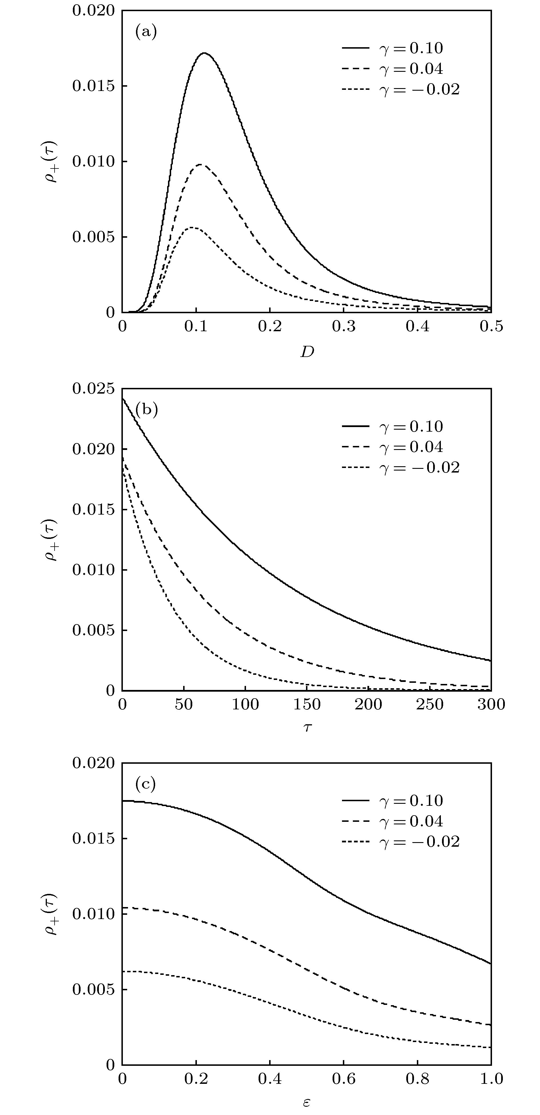
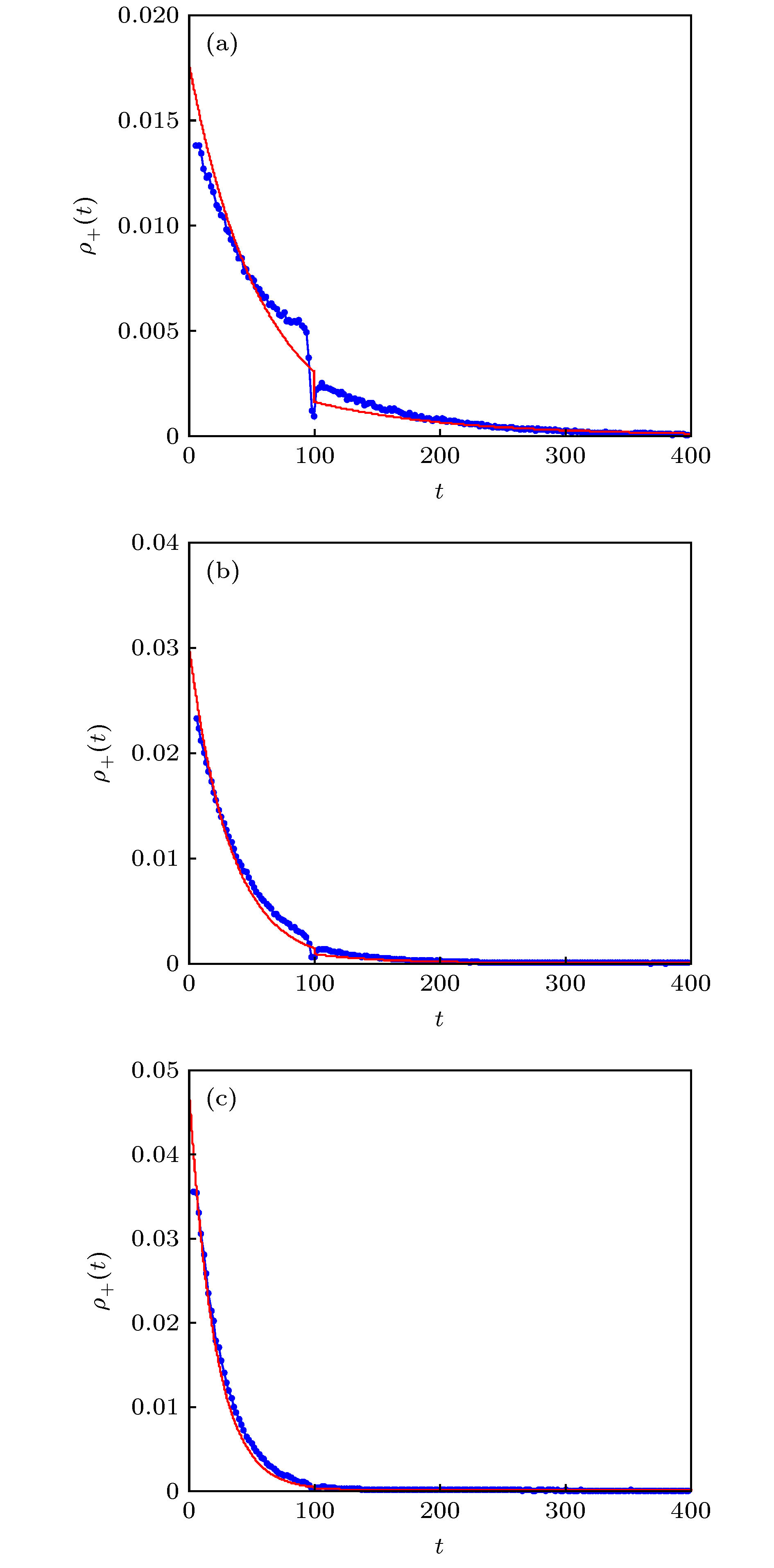
γ> 0 and taking
γas the appropriate values, the RTDF decays exponentially and exhibits a sharp dip at
t=
τ. Nevertheless, on the contrary, under the condition for
γ< 0, the dip at
t=
τof RTDF almost disappears and the rate of decay of RTDF turns to increase. When the relative strength and recycling lag take the appropriate values separately, the RTDF displays piecewise exponential decay and declines sharply at
t=
τ. It is worth noting that the interval between discontinuities becomes smaller, or even disappears with the relative strength and recycling lag increasing separately. Further, the value of RTDF at
t=
τpresents a maximum value with the noise intensity and the relative strength varying, which illustrates that the noise recycling procedure can play a crucial role in inducing the phenomenon of SR in the asymmetric bistable system.