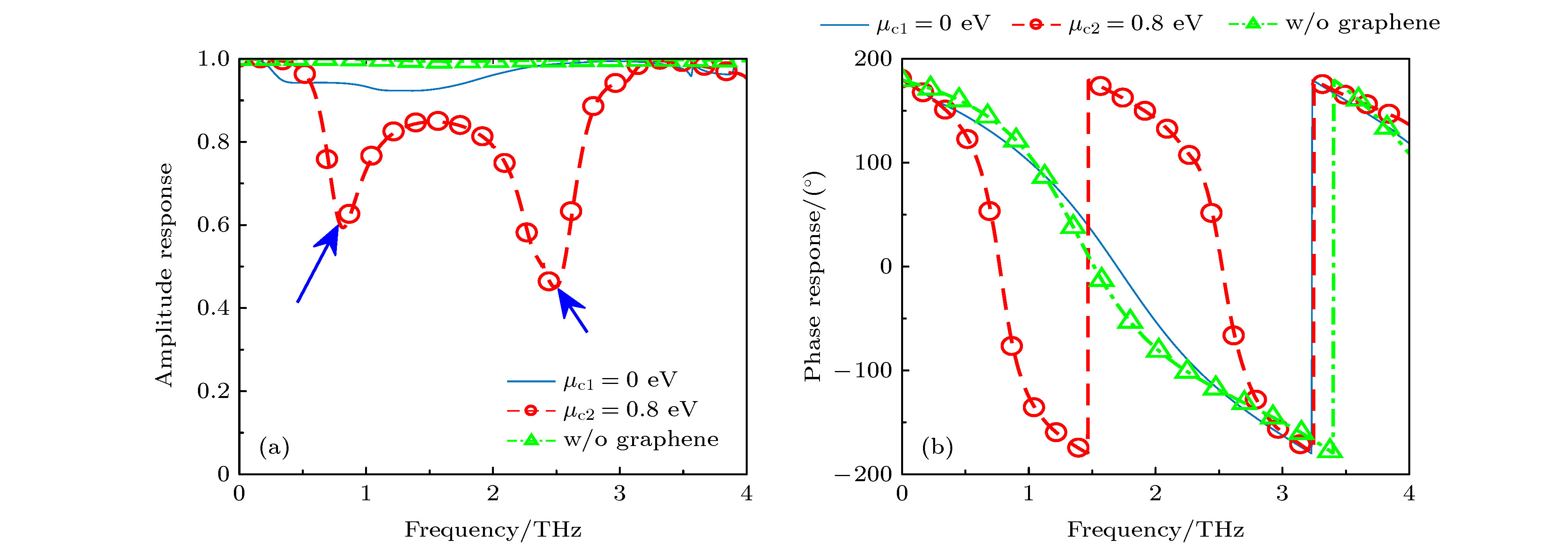
Electromagnetic diffusion surface can reduce the radar cross section, thus profiting stealth of targets. Terahertz diffusion surface has a wide prospect in the field of next-generation radar and communication, promising to act as a kind of intelligent smart skin. In this paper, utilizing the excellent tunable properties of graphene in the terahertz band, a hybrid structure of graphene and metal which has inverse phase response of reflecting waves is proposed. The reflection phase switches in the mechanism of resonant modes and can be controlled efficiently by the bias voltage. Meanwhile, unlike metal materials, graphene has a non-negligible loss characteristic, which leads the response amplitudes corresponding to the two different switching states to be inconsistent with each other. According to the interference and superposition principle of electromagnetic field, it is not conducive to eliminating the coherent far-field, leading to an unsatisfactory diffusion result. In this paper, we present a “molecular” structure by secondary combination of the above-mentioned reverse phase element states, and take it as the basic element of the diffusion surface. Finally, we use particle swarm optimization to optimize the arrangement of “molecular” structures. The final diffusion surface consists of a combinatorial design of “molecules” rather than randomly distributed reflection units. In addition, molecules designed artificially have similar amplitude responses but different phase responses, which improves the convergence speed and reduces the computation quantity during algorithm evolution. The method of designing molecular structure, described in this paper, is simple, rapid and widely applicable, which effectively improves the amplitude-to-phase modulation ability of graphene metasurface against electromagnetic waves. When diffuse reflection optimization is applied to most of graphene metasurfaces, the method described in this paper can achieve the results that are the same as or even better than the results after a large number of iterations of traditional particle swarm optimization in the most computation-efficient manner. The results show that the dynamic diffusion surface designed by this method has the advantages of fast convergence speed and small far-field peak.