Surface magnetic resonance sounding (MRS) has generally been considered to be an efficient tool for hydrological investigations. As is well known, the effective relaxation time
$ T_2^*$
which characterizes the decay rate of MRS free-decay-induction (FID) signal and is used to measure pore-scale properties, is particularly limited for several special cases (e.g. areas with magnetic rock subsurfaces). Recent years, the transverse relaxation time
$ T_2$
obtained from spin-echo signal was adopted to implement the surface MRS, and showed great potentials for estimating the porosity and permeability. However, owning to the short period of development, the related modeling and inversion strategies are rarely introduced and summarized. Actually, the general practice for surface MRS
$ T_2$
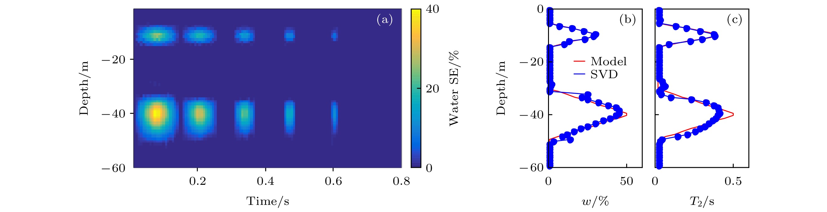
measurement fits the spin-echo by the exponential function and the fitting line was directly used as the FID signal for inversion. This scheme not only limits the precision of interpretation, but also loses part of valid information about original field data. Aiming at these problems, in this paper, we introduce the calculation of forward model and thus a two-stage framework with singular value decomposition (SVD) linear inversion involved is derived to quantify the
$ T_2$
distributed with depth. Considering the fact that the inversion result of SVD is always strongly affected by the noise level, an improved method which combines the simultaneous iterative reconstruction technology (SIRT) with SVD is proposed. To be specific, we compare the measurement schemes with kernel functions between
$ T_2$
and the original theory in MRS, and then provide the forward and inversion formulations. In order to substantiate the effectiveness of this method, we conduct the synthetic experiments for Carr-Purcell-Meiboom-Gill sequence and explain the dataset with the mentioned strategies. As expected, the combined approach possesses a better performance in shallow layer with an error of 1.5% and 0.02 s for water content and
$ T_2$
for the contaminated data, respectively. With these advantages, it is expected to realize the adoption of the SVD with SIRT in field applications and further investigate the aquifer characterizations in the future.