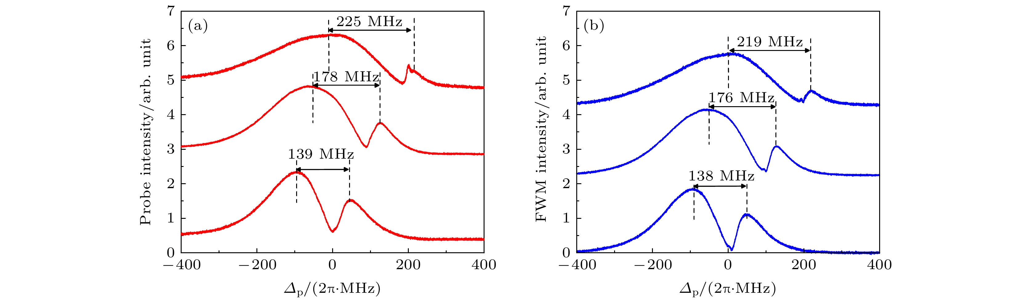
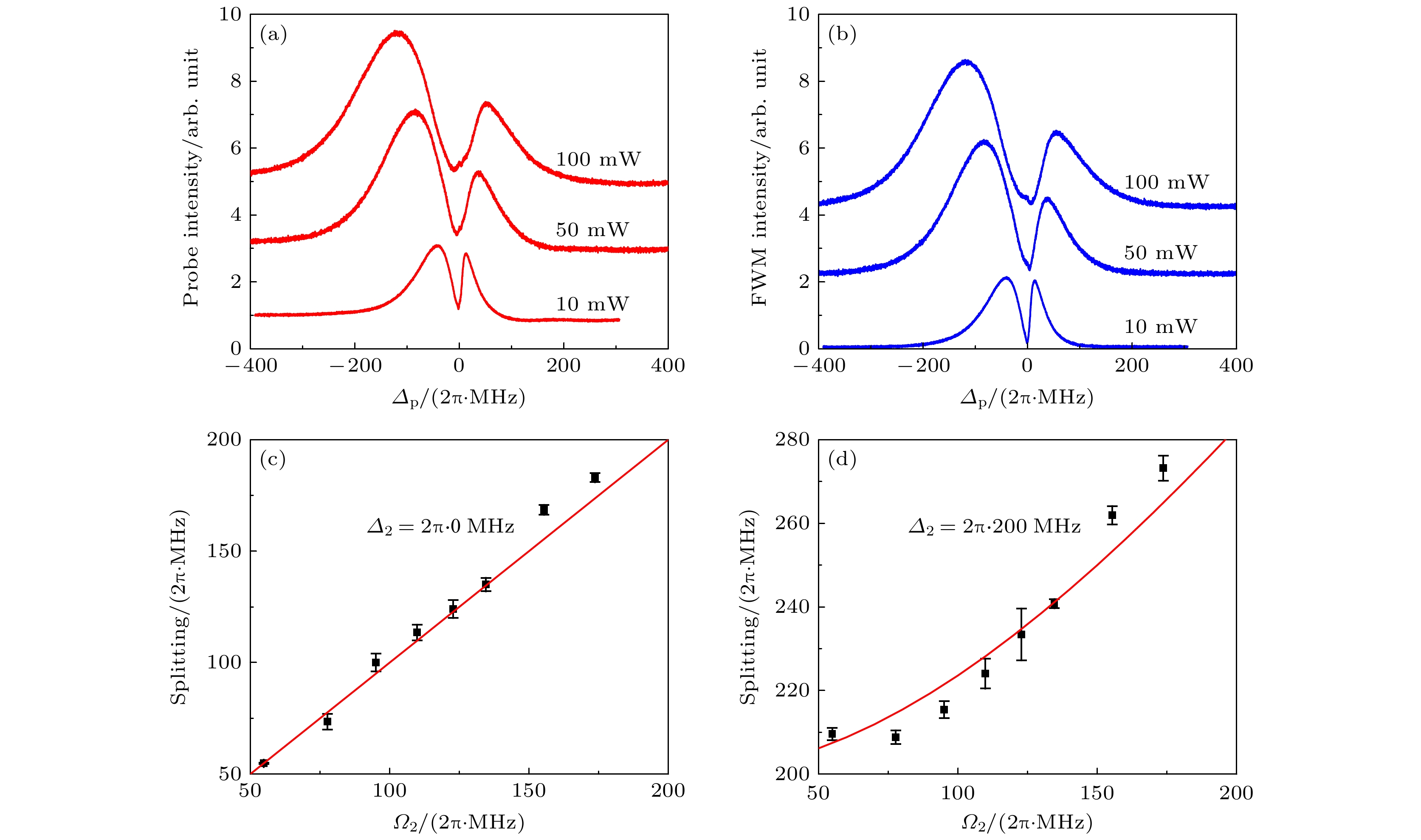
Focusing on the frequency division multiplexing technology in the applications of large scale optical communication, the double-channel optical gain spectrum with two frequency bands is studied in this paper. The double-channel gain spectrum, named probe channel and four wave mixing channel, comes from a co-propagating degenerate four wave mixing in a hot atomic ensemble. The intention is to divide the gain spectrum into several sub frequency bands through dressed four wave mixing. When a dressed field is exerted on one transition that shares the common excited state with the degenerate four wave mixing, the excited state can experience dressed splitting. It opens two transition paths for the degenerate four wave mixing simultaneously. Because of quantum interference between the two paths, the degenerate four wave mixing are suppressed at two-photon resonance. Consequently, Autler-Townes splitting appears in the gain spectrum, i.e. spectrum is changed from single frequency band into two “M”-type bands. In this paper, the nonlinear density matrix element describing the degenerate (dressed) four wave mixing is solved through perturbation theory, and then the gain spectrum in Doppler broadening atomic medium is plotted, and its Autler-Townes splitting is analyzed by using the dressed-state theory. It shows that the Autler-Townes splitting depends on both the Rabi frequency and single photon detuning of the dressed field. Relevant experiment is performed in cesium vapor at 60 ℃, a pair of high-gain optical spectra with two frequency bands for both double channels is successfully obtained. Moreover, the Autler-Townes splitting as a function of the dressed field intensity and single photon detuning are studied quantitatively. The experimental results accord well with the theoretical predictions. Compared with the degenerate four wave mixing, the atom-field coupled system is changed from an original open two-level into a closed Λ three-level due to the external dressed field, which greatly improves the atomic population on the coherent ground state via optical pumping, and therefore enhancing the gain significantly. This work is important for the field of atom-based optical communication. It provides an optional way of conveying multi-frequency information to the two parallel channels as well as improving the gain of four wave mixing.