-
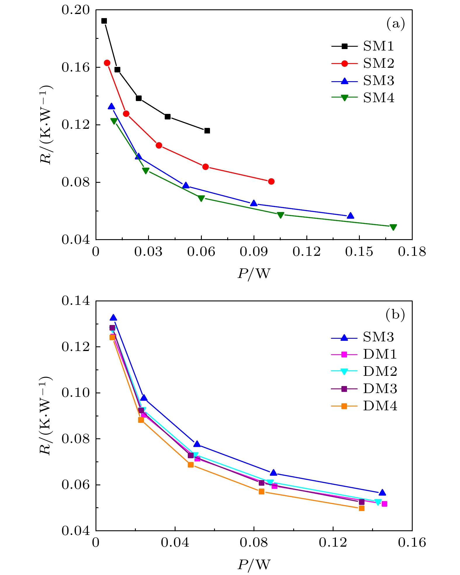
微通道散热器在集成电路中具有重要应用, 但目前传统的长直微通道散热过程导致温度不均匀, 散热效率较低. 本文设计了一种周期性分流微结构并与传统微通道进行集成, 实现了一种高效率的周期性分流微通道散热器. 基于以上周期性分流微通道, 系统研究了单根微通道内微结构数目、微结构的排布方式及结构参数对其散热性能的影响. 结果表明, 引入的分流微结构可增大换热面积、打破原有层流边界层、促进冷/热冷却液混合、显著改善微通道散热性能. 在100 W/cm 2的热流密度下, 入口端冷却液流速为1.18 m/s时, 单根微通道内引入9组微结构后, 其最高温度下降约24 K, 热阻下降约44%, 努塞尔数增大约124%, 整体传热性能(PEC)达1.465. 进一步地, 微结构采用交错渐变的周期排布方式, 沿流动方向逐渐变宽的扰流元使得冷却液被充分利用, 减少了高/低温区的存在且缓解了散热面沿流动方向存在的温度梯度, 压降损失相较于均匀排布也有一定程度的降低, 有效提升了散热效率. 本文提出的周期性分流微通道将在大功率集成电路及电子冷却领域中具有广阔的应用前景.Microchannel heat sinks have important applications in integrated circuits, but the current traditional long straight microchannel heat dissipation process causes uneven temperature and low heat dissipation efficiency. In this paper, a periodic split-flow microstructure is designed and integrated with traditional microchannels to form a periodic split-flow microchannel heat sink. Numerical simulation is used to study the influence of the number, the arrangement and structural parameters of microstructures in a single microchannel on its thermal performance. The simulation results show that the split-flow microstructure can increase the heat exchange area, break the original laminar boundary layer, promote the mixing of cold/hot coolant, and significantly improve the heat dissipation performance of the microchannel. Through comparative experiments, 9 groups are finally determined as the optimal number of microstructures in a single microchannel. At a heat flux of 100 W/cm 2, when the coolant flow rate at the inlet is 1.18 m/s, after 9 groups of microstructures are added into a single microchannel, the maximum temperature drops by about 24 K and the thermal resistance decreases by about 44%. The Nusselt number is increased by about 124%, and the performance evaluation criterion (PEC) reaches 1.465. On this basis, the microstructure adopts a staggered gradual periodic arrangement to avoid the long-distance non-microstructure section between the two groups of microstructures. The turbulence element that gradually widens along the flow direction makes the coolant fully utilized. This results in a reduction in the high/low temperature zone and alleviates the temperature gradient that exists along the flow direction of the heat dissipation surface, and the pressure drop loss is also reduced to a certain extent compared with the pressure drop in the uniform arrangement, and the comprehensive thermal performance is further improved. It shows broad application prospects in the field of high-power integrated circuits and electronic cooling.
[1] [2] [3] [4] [5] [6] [7] [8] [9] [10] [11] [12] [13] [14] [15] [16] [17] [18] [19] [20] [21] [22] [23] [24] [25] [26] [27] [28] [29] [30] [31] [32] [33] [34] -
温度
T/K密度ρ/
(kg·m–3)恒压热容cp/
(J·kg–1·K–1)导热系数κ/
(W·m–1·K–1)动态黏度μ/
(10–4Pa·s)293.15 998.2 4186.9 0.59423 10.093 303.15 995.62 4179.7 0.61055 7.96 313.15 992.2 4176.5 0.62516 6.51 323.15 988.05 4176.8 0.6381 5.47 333.15 983.22 4180.2 0.64942 4.70 343.15 977.78 4186.3 0.65916 4.10 353.15 971.78 4194.8 0.66738 3.59 363.15 965.3 4205.4 0.67413 3.17 373.15 958.39 4218.2 0.67944 2.82 383.15 958.39 4233 0.68337 2.53 材料
物性密度ρ/
(kg·m–3)恒压热容cp/
(J·kg–1·K–1)导热系数k/
(W·m–1·K–1)硅 2329 700 130 网格1893083 网格21128905 网格31414841 网格41702482 网格51916125 网格63475672 压降损失($ \Delta P $) 4195.0 4287.0 4341.2 4379.9 4409.6 4406.1 最高温度(Tm) 353.05 352.65 352.32 351.94 351.88 351.87 误差 4.8%; 0.33% 2.7%; 0.22% 1.47%; 0.13% 0.59%; 0.020% 0.079%; 0.0028% 基准 -
[1] [2] [3] [4] [5] [6] [7] [8] [9] [10] [11] [12] [13] [14] [15] [16] [17] [18] [19] [20] [21] [22] [23] [24] [25] [26] [27] [28] [29] [30] [31] [32] [33] [34]
计量
- 文章访问数:8843
- PDF下载量:241
- 被引次数:0












下载:











