-
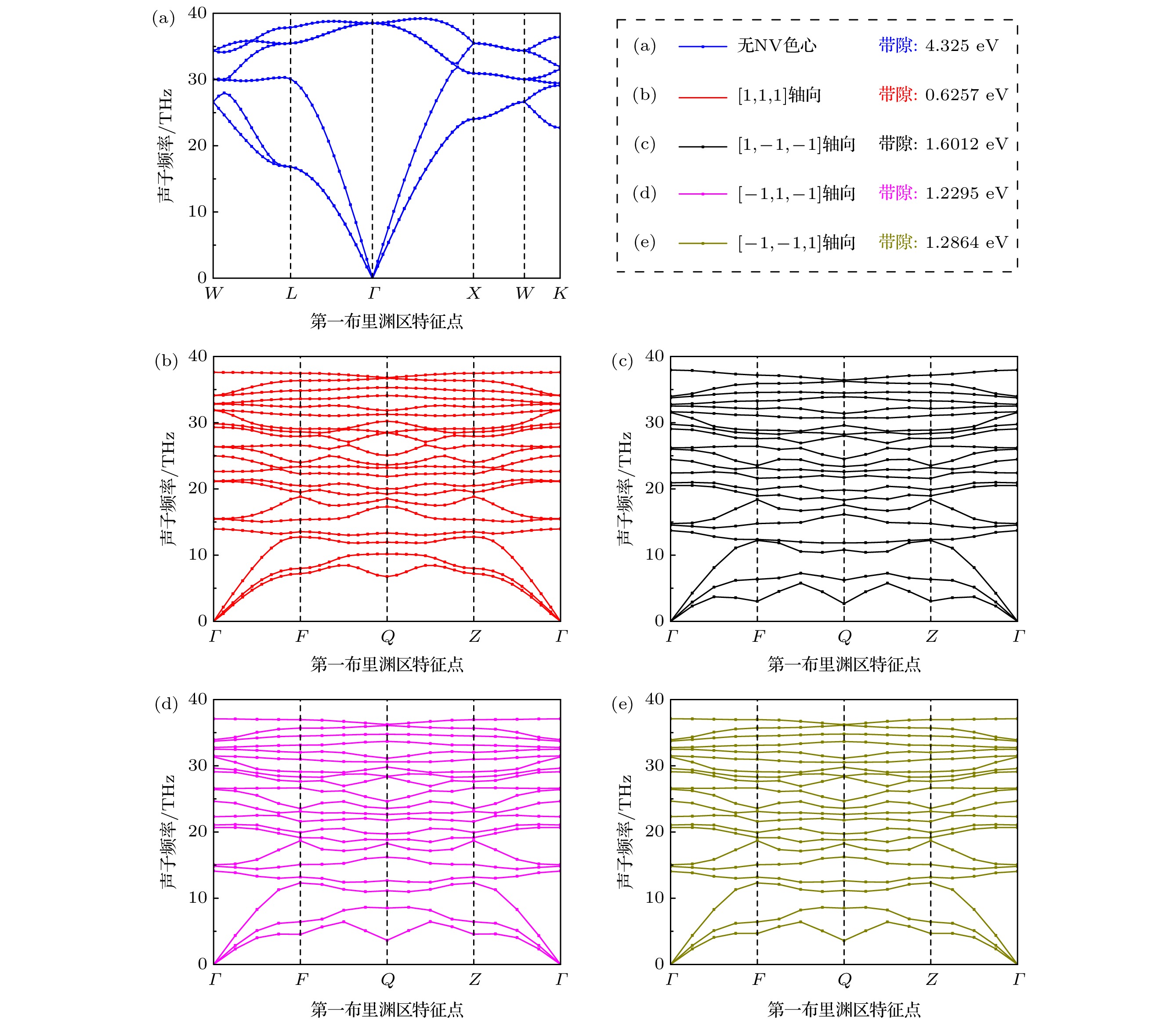
金刚石氮-空位色心结构因在量子精密测量领域的高灵敏度优势而备受关注. 本文引入耦合声子场对氮-空位色心原子自旋进行共振调控, 以提高氮-空位色心的自旋跃迁效率. 首先, 基于波函数和晶格的点阵位移矢量关系, 分析了声子与晶格能量交互作用, 研究了基于声子共振调控的氮-空位色心的自旋跃迁机理, 建立了基于应变诱导的能量转移声子-自旋交互耦合激发模型. 其次, 基于氮-空位色心晶格振动理论, 引入满足布洛赫定理的系数矩阵, 建立了不同轴向氮-空位色心第一布里渊区特征区域的声子谱模型. 同时, 基于德拜模型, 考虑热膨胀效应, 解析该声子共振系统的声子热平衡性质, 并对其比热模型进行研究. 最后, 基于分子动力学仿真软件CASTEP和密度泛函理论进行第一性原理研究, 构建了声子模式下不同轴向氮-空位色心的结构优化模型, 并分析了其结构特性、声子特性和热力学特性. 研究结果表明, 系统声子模式的演化依赖于氮-空位的占位, 声子模式强化伴随着热力学熵的降低. 含氮-空位色心金刚石的共价键较纯净无缺陷金刚石更弱, 热力学性质更不稳定. 含氮-空位色心金刚石的声子主共振频段处于THz量级, 次共振频率约为[800,1200] MHz. 根据次共振频段设计叉指宽度为1.5 μm的声表面波共振机构, 其中心频率约为930 MHz. 在该声子共振调控参数条件下, 声子共振调控方法可有效增大氮-空位色心的自旋跃迁概率, 实现氮-空位色心原子自旋操控效率的提高.The nitrogen-vacancy center structure of diamond has attracted widespread attention due to its high sensitivity in quantum precision measurement. In this paper, a coupled phonon field is used to resonantly regulate the atomic spins of the nitrogen-vacancy center for improving the spin transition efficiency. Firstly, the interaction between phonons and lattice energy is analyzed based on the relationship between the wave function and the lattice displacement vector. The spin transition mechanism is investigated based on phonon resonance regulation, and the strain-induced energy transferable phonon-spin interaction coupling excitation model is established. Secondly, the coefficient matrix satisfying Bloch’s theorem is adopted to develop the phonon spectrum model of the first Brillouin zone characteristic region for different axial nitrogen-vacancy centers. Considering the thermal expansion, the thermal balance properties of phonon resonance system are analyzed and its specific heat model is studied based on the Debye model. Finally, the structure optimization model of different axial nitrogen-vacancy centers under the phonon model is built up based on the molecular dynamics simulation software CASTEP and density functional theory for first-principles research. The structural characteristics, phonon characteristics, and thermodynamic properties of nitrogen-vacancy centers are analyzed. The research results show that the evolution of phonon mode depends on the occupation of the nitrogen-vacancy center. A decrease in thermodynamic entropy accompanies the strengthening of the phonon mode. The covalent bond of diamond with nitrogen-vacancy center is weaker than that of a defect-free diamond. The thermodynamic properties of a defect-free diamond are more unstable. The primary phonon resonance frequency of diamond with nitrogen-vacancy centers are on the order of THz, and the secondary phonon resonance frequency is about in a range of 800 and 1200 MHz. A surface acoustic wave resonance mechanism with an interdigital width of 1.5 μm is designed according to the secondary resonance frequency, and its center frequency is about 930 MHz. The phonon resonance control method can effectively increase the spin transition probability of nitrogen-vacancy center under suitable phonon resonance control parameters, and thus realizing the increase of atomic spin manipulation efficiency.
[1] [2] [3] [4] [5] [6] [7] [8] [9] [10] [11] [12] [13] [14] [15] [16] [17] [18] [19] [20] [21] [22] [23] [24] [25] [26] [27] [28] [29] [30] [31] [32] [33] [34] [35] [36] [37] [38] [39] [40] [41] [42] [43] [44] [45] [46] [47] [48] [49] [50] [51] -
NV色心轴向 晶格动力学矩阵元不对称关系 NV色心轴向 晶格动力学矩阵元不对称关系 无NV色心 $\left\{ \begin{aligned}&{ {D_{xy} }\left( {{q} } \right) = {D_{yx} }\left( {{q} } \right)}\\&{ {D_{yz} }\left( {{q} } \right) = {D_{zy} }\left( {{q} } \right)}\\&{ {D_{xz} }\left( {{q} } \right) = {D_{zx} }\left( {{q} } \right)}\end{aligned} \right.$ [–1, 1, –1]轴向 $\left\{ {\begin{aligned}&{{D_{xy}}\left( {{q}} \right) = - {k_{[ - 1, 1, - 1]}}{D_{yx}}\left( {{q}} \right)}\\&{{D_{yz}}\left( {{q}} \right) = - {k_{[ - 1, 1, - 1]}}{D_{zy}}\left( {{q}} \right)}\\&{{D_{xz}}\left( {{q}} \right) = {k_{[ - 1, 1, - 1]}}{D_{zx}}\left( {{q}} \right)}\end{aligned}} \right.$ [1, 1, 1]轴向 $\left\{ {\begin{aligned}&{{D_{xy}}\left( {{q}} \right) = {k_{[1, 1, 1]}}{D_{yx}}\left( {{q}} \right)}\\&{{D_{yz}}\left( {{q}} \right) = {k_{[1, 1, 1]}}{D_{zy}}\left( {{q}} \right)}\\&{{D_{xz}}\left( {{q}} \right) = {k_{[1, 1, 1]}}{D_{zx}}\left( {{q}} \right)}\end{aligned}} \right.$ [–1, –1, 1]轴向 $\left\{ {\begin{aligned}&{{D_{xy}}\left( {{q}} \right) = {k_{[ - 1, - 1, 1]}}{D_{yx}}\left( {{q}} \right)}\\&{{D_{yz}}\left( {{q}} \right) = - {k_{[ - 1, - 1, 1]}}{D_{zy}}\left( {{q}} \right)}\\&{{D_{xz}}\left( {{q}} \right) = - {k_{[ - 1, - 1, 1]}}{D_{zx}}\left( {{q}} \right)}\end{aligned}} \right.$ [1, –1, –1]轴向 $\left\{ {\begin{aligned}&{{D_{xy}}\left( {{q}} \right) = - {k_{[1, - 1, - 1]}}{D_{yx}}\left( {{q}} \right)}\\&{{D_{yz}}\left( {{q}} \right) = {k_{[1, - 1, - 1]}}{D_{zy}}\left( {{q}} \right)}\\&{{D_{xz}}\left( {{q}} \right) = - {k_{[1, - 1, - 1]}}{D_{zx}}\left( {{q}} \right)}\end{aligned}} \right.$ 特征线 声子谱波矢条件 声子谱函数 极化向量 Λ线 $ {{q}}_{{x}}={{q}}_{y}={{q}}_{{z}}={q} $ $\left\{\begin{aligned}&{\omega }_{1}=\sqrt {{ {A} }_ {[1, 1, 1]} ^ {\varLambda } + {2}{B} _ {[1, 1, 1]} ^ {\varLambda }} \\ &{\omega }_{2}=\sqrt {{ {A} }_ {[1, 1, 1]} ^ {\varLambda } {-}{ {B} }_ {[1, 1, 1]} ^ {\varLambda } } \\ &{\omega }_{3}=\sqrt{ { {A} }_ {[1, 1, 1]} ^ {\varLambda } {-}{ {B} }_ {[1, 1, 1]} ^ {\varLambda } }\end{aligned}\right.$ $ \left\{\begin{aligned}&{{e}}_{{q}{1}}=\left(\frac{1}{\sqrt{3}}, \frac{1}{\sqrt{3}}, \frac{1}{\sqrt{3}}\right)\\ &{{e}}_{{q}{2}}=\left({-}\frac{1}{\sqrt{2}}, \frac{1}{\sqrt{2}}{, 0}\right)\\ &{{e}}_{{q}{3}}=\left({-}\frac{1}{\sqrt{{6}}}{, -}\frac{1}{\sqrt{{6}}}, \frac{\sqrt{{6}}}{3}\right)\end{aligned}\right. $ $ \varDelta $线
(ΓF线)
(ZQ线)$ {{q}}_{{x}}={{q}}_{{z}}{=0} $ $\left\{\begin{aligned}&{\omega }_{1}=\sqrt{ { {A} }_{[1, 1, 1]}^{\varDelta }+{ {B} }_{[1, 1, 1]}^{\varDelta} }\\ &{\omega }_{2}=\sqrt{ { {B} }_{[1, 1, 1]}^{\varDelta } }\\ &{\omega }_{3}=\sqrt{ { {B} }_{[1, 1, 1]}^{\varDelta} }\end{aligned}\right.$ $ \left\{\begin{aligned}&{{e}}_{{q}{1}}=\left({0, 1, 0}\right)\\ &{{e}}_{{q}{2}}=\left({1, 0, 0}\right)\\ &{{e}}_{{q}{3}}=\left({0, 0, 1}\right)\end{aligned}\right. $ Σ线 ${ {q} }_{ {x} }={ {q} }_{y}={q},$
$ {{q}}_{{z}}= 0 $$\left\{\begin{aligned}&{\omega }_{1}=\sqrt{ { {A} }_{ [1, 1, 1] }^{\varSigma }+{ {B} }_ {[1, 1, 1]} ^ {\varSigma } }\\ &{\omega }_{2}=\sqrt{ { {A} }_{[1, 1, 1]} ^ {\varSigma } {-}{ {B} }_{[1, 1, 1]} ^ {\varSigma } } \\ &{\omega }_{3}=\sqrt{ { {C} }_ {[1, 1, 1]} ^{\varSigma } } \end{aligned}\right.$ $ \left\{\begin{aligned}&{{e}}_{{q}{1}}=\left(\frac{1}{\sqrt{2}}, \frac{1}{\sqrt{2}}{, 0}\right)\\ &{{e}}_{{q}{2}}=\left({-}\frac{1}{\sqrt{2}}, \frac{1}{\sqrt{2}}{, 0}\right)\\ &{{e}}_{{q}{3}}=\left({0, 0, 1}\right)\end{aligned}\right. $ M线
(ΓZ线)
(FQ线)$ {{q}}_{{x}}={{q}}_{y}={0} $ $\left\{\begin{aligned}&{\omega }_{1}=\sqrt{ { {A} }_ {[1, 1, 1]} ^{ {M} }+{ {B} }_ {[1, 1, 1]} ^{ {M} } }\\ &{\omega }_{2}=\sqrt{ { {B} }_ {[1, 1, 1]} ^{ {M} } }\\ &{\omega }_{3}=\sqrt{ { {B} }_ {[1, 1, 1]} ^{ {M} } }\end{aligned}\right.$ $ \left\{\begin{aligned}&{{e}}_{{q}{1}}=\left({0, 0, 1}\right)\\ &{{e}}_{{q}{2}}=\left({1, 0, 0}\right)\\ &{{e}}_{{q}{3}}=\left({0, 1, 0}\right)\end{aligned}\right. $ 注: $A_{[1, 1, 1]}^\varDelta = \left( {2{f_1}/3{k_{[1, 1, 1]}}M_l^\alpha } \right)\left[ {2 - 2\cos \left( {{q_y}a/2} \right)} \right]$, $B_{[1, 1, 1]}^\varDelta = \left( {2{f_1}/3{k_{[1, 1, 1]} }M_l^\alpha } \right)\left[ {\eta - \eta \cos \left( { {q_y}a} \right)} \right]$,
$A_{[1, 1, 1]}^\varSigma = \left( { {f_1}/3{k_{[1, 1, 1]} }M_l^\alpha } \right)\{ 3 - 2\cos \left( {qa/2} \right) - \cos \left( {qa} \right) + \left[ {2\eta - 2\eta \cos \left( {qa} \right)} \right]\}$, $B_{[1, 1, 1]}^\varSigma = \left( { {f_1}/3{k_{[1, 1, 1]} }M_l^\alpha } \right)\left[ {1 - \cos \left( {qa} \right)} \right]$,
$C_{[1, 1, 1]}^\varSigma = \left( {2{f_1}/3{k_{[1, 1, 1]} }M_l^\alpha } \right)\left[ {2 - 2\cos \left( {qa/2} \right)} \right]$, $A_{[1, 1, 1]}^M = \left( {2{f_1}/3{k_{[1, 1, 1]}}M_l^\alpha } \right)\left[ {2 - 2\cos \left( {{q_z}a/2} \right)} \right]$,
$B_{[1, 1, 1]}^M = \left( {2{f_1}/3{k_{[1, 1, 1]}}M_l^\alpha } \right)\left[ {\eta - \eta \cos \left( {{q_z}a} \right)} \right]$.声子极化方向 声子热平衡温度 声子极化方向 声子热平衡温度 $ {\varLambda } $线方向 ${T}_{ {\varLambda } }=\dfrac{ {-}{\hbar }\sqrt{ { {A} }_{ {[1, 1, 1]} }^{ {\varLambda } }+{ {2}{B} }_{ {[1, 1, 1]} }^{ {\varLambda } } } }{ {k}_{\rm{B} }{\ln}\left(\frac{\left\langle { {n} } \right\rangle}{ {1+}\left\langle { {n} } \right\rangle}\right)}$ $ {\varSigma } $线方向 ${T}_{ {\varSigma } }=\dfrac{ {-}{\hbar }\sqrt{ { {A} }_{ {[1, 1, 1]} }^{ {\varSigma } }+{ {B} }_{ {[1, 1, 1]} }^{ {\varSigma } } } }{ {k}_{\rm{B} }{\ln}\left(\frac{\left\langle { {n} } \right\rangle}{ {1+}\left\langle { {n} } \right\rangle}\right)}$ $ \varDelta $线方向 ${T}_{\varDelta }=\dfrac{ {-}{\hbar }\sqrt{ { {A} }_{ {[1, 1, 1]} }^{\varDelta }+{ {B} }_{ {[1, 1, 1]} }^{\varDelta } } }{ {k}_{\rm{B} }{\ln}\left(\frac{\left\langle { {n} } \right\rangle}{ {1+}\left\langle { {n} } \right\rangle}\right)}$ M线方向 ${T}_{ {M} }=\dfrac{ {-}{\hbar }\sqrt{ { {A} }_{ {[1, 1, 1]} }^{ {M} }+{ {B} }_{ {[1, 1, 1]} }^{ {M} } } }{ {k}_{\rm{B} }{\ln}\left(\frac{\left\langle { {n} } \right\rangle}{ {1+}\left\langle { {n} } \right\rangle}\right)}$ 注: 参数$ {{A}}_{{[1, 1, 1]}}^{{\varLambda }}, {{B}}_{{[1, 1, 1]}}^{{\varLambda }}, {{A}}_{{[1, 1, 1]}}^{\varDelta }, {{B}}_{{[1, 1, 1]}}^{\varDelta } $, $ {{A}}_{{[1, 1, 1]}}^{{\varSigma }}, {{B}}_{{[1, 1, 1]}}^{{\varSigma }}, {{A}}_{{[1, 1, 1]}}^{{M}} $和$ {{B}}_{{[1, 1, 1]}}^{{M}} $同表2. -
[1] [2] [3] [4] [5] [6] [7] [8] [9] [10] [11] [12] [13] [14] [15] [16] [17] [18] [19] [20] [21] [22] [23] [24] [25] [26] [27] [28] [29] [30] [31] [32] [33] [34] [35] [36] [37] [38] [39] [40] [41] [42] [43] [44] [45] [46] [47] [48] [49] [50] [51]
计量
- 文章访问数:7799
- PDF下载量:296
- 被引次数:0












下载:











