Melting of the dielectric phase change material inside a closed square enclosure is numerically investigated. The fully coupled equations including Navier-Stokes equations, Poisson's equation, charge conservation equation and the energy equation are solved using the lattice Boltzmann method (LBM). Strong charge injection from a high temperature vertical electrode is considered and the basic characteristics of fluid flow, charge transport and heat transfer in solid-liquid phase change process under the coupling of Coulomb force and buoyancy force are systematically studied. Emphasis is put on analysing the influence of multiple non-dimensional parameters, including electric Rayleigh number
T, Stefan number
$Ste$
, mobility number
M, and Prandtl number
$Pr$
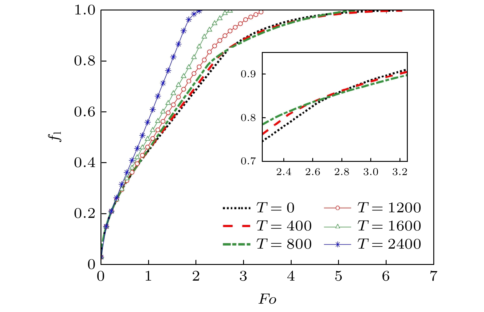
on electrohydrodynamic (EHD) solid-liquid phase change. The numerical results show that comparing with the melting process driven by buoyancy force, the applied electric field will not only change the flow structure in liquid region and the evolution of the liquid-solid interface, but also increase the heat transfer efficiency of dielectric phase change material and thus enhance the solid-liquid phase change process. In particular, we find that this phenomenon becomes more pronounced when
Tis larger. Further, the dimensionless parameter
$\varPhi$
is introduced to characterize the effect of EHD enhanced solid-liquid phase change, and the results indicate that the effect of EHD enhancement solid-liquid phase change is weakened with the increase of Stefan number
$Ste$
, However the change of
$Ste$
does not make much difference in EHD enhancement solid-liquid phase change for a sufficiently high electric Rayleigh number
T, and it is attributed to the fully developed convection cells at a very early stage of the melting process. Moreover, it is found that the effect of EHD enhancement solid-liquid phase change is negatively related to the mobility number
Mand that the effect of Prandtl number
$Pr$
on the EHD enhancement solid-liquid phase change largely depends on the mobility number
M, which is due to the simultaneous influence of electric field force and buoyancy force. In general, the electric field has a significant influence on the melting process of dielectric phase change material, especially at high
T,
$Pr$
and low
$Ste$
,
M. And quantitatively, in all tested cases, a maximum melting time saves about 86.6% at
$T=1000$
,
$Ra=10000$
,
$M=3$
,
$Pr=20$
, and
$Ste=0.1$
.