| [1] |
任延英, 李雅宁, 柳洪盛, 徐楠, 郭坤, 徐朝辉, 陈鑫, 高峻峰.过渡金属元素掺杂对磁铁矿磁矩及磁各向异性的调控. 必威体育下载 , 2024, 73(6): 066104.doi:10.7498/aps.73.20231744 |
| [2] |
樊晓筝, 李怡莲, 吴怡, 陈俊彩, 徐国亮, 安义鹏.二维磁性半导体笼目晶格Nb3Cl8单层的磁性及自旋电子输运性质. 必威体育下载 , 2023, 72(24): 247503.doi:10.7498/aps.72.20231163 |
| [3] |
尤明慧, 李雪, 李士军, 刘国军.晶格匹配InAs/AlSb超晶格材料的分子束外延生长研究. 必威体育下载 , 2023, 72(1): 014203.doi:10.7498/aps.72.20221383 |
| [4] |
卿煜林, 彭小莉, 胡爱元.自旋为1的双层平方晶格阻挫模型的相变. 必威体育下载 , 2022, 71(4): 047501.doi:10.7498/aps.71.20211685 |
| [5] |
孟婧, 冯心薇, 邵倾蓉, 赵佳鹏, 谢亚丽, 何为, 詹清峰.具有不同交换偏置方向的外延FeGa/IrMn双层膜的磁各向异性与磁化翻转. 必威体育下载 , 2022, 71(12): 127501.doi:10.7498/aps.71.20220166 |
| [6] |
黄玉昊, 张贵涛, 王如倩, 陈乾, 王金兰.二维双金属铁磁半导体CrMoI6的电子结构与稳定性. 必威体育下载 , 2021, 70(20): 207301.doi:10.7498/aps.70.20210949 |
| [7] |
文林, 胡爱元.双二次交换作用和各向异性对反铁磁体相变温度的影响. 必威体育下载 , 2020, 69(10): 107501.doi:10.7498/aps.69.20200077 |
| [8] |
卢启海, 唐晓莉, 宋玉哲, 左显维, 韩根亮, 闫鹏勋, 刘维民.氮化铁薄膜晶相合成热分析及其磁性. 必威体育下载 , 2019, 68(11): 118101.doi:10.7498/aps.68.20182195 |
| [9] |
姜兴东, 管兴胤, 黄娟娟, 范小龙, 薛德胜.N+注入修复外延Fe膜面内六重磁对称. 必威体育下载 , 2019, 68(12): 126102.doi:10.7498/aps.68.20190131 |
| [10] |
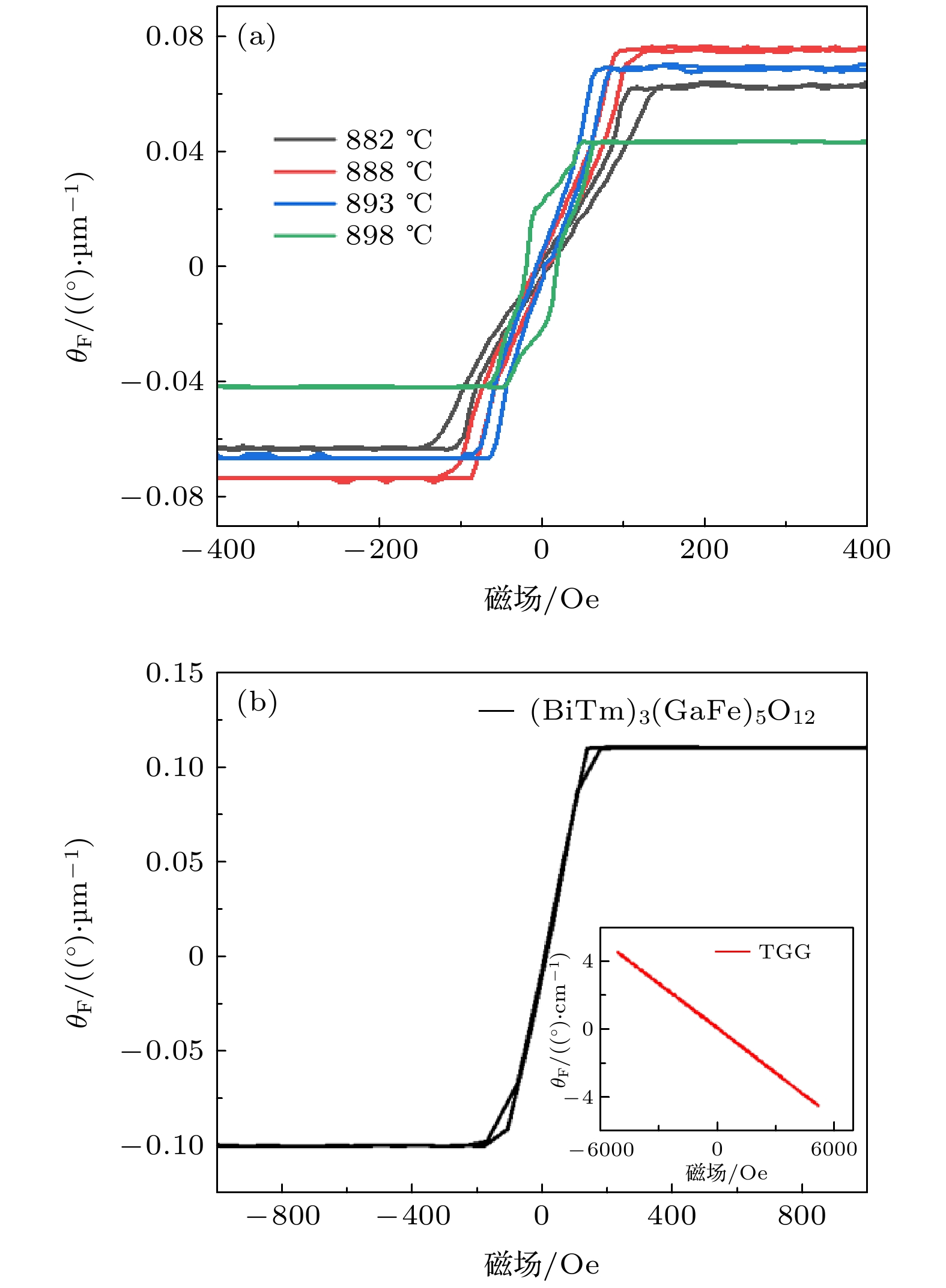
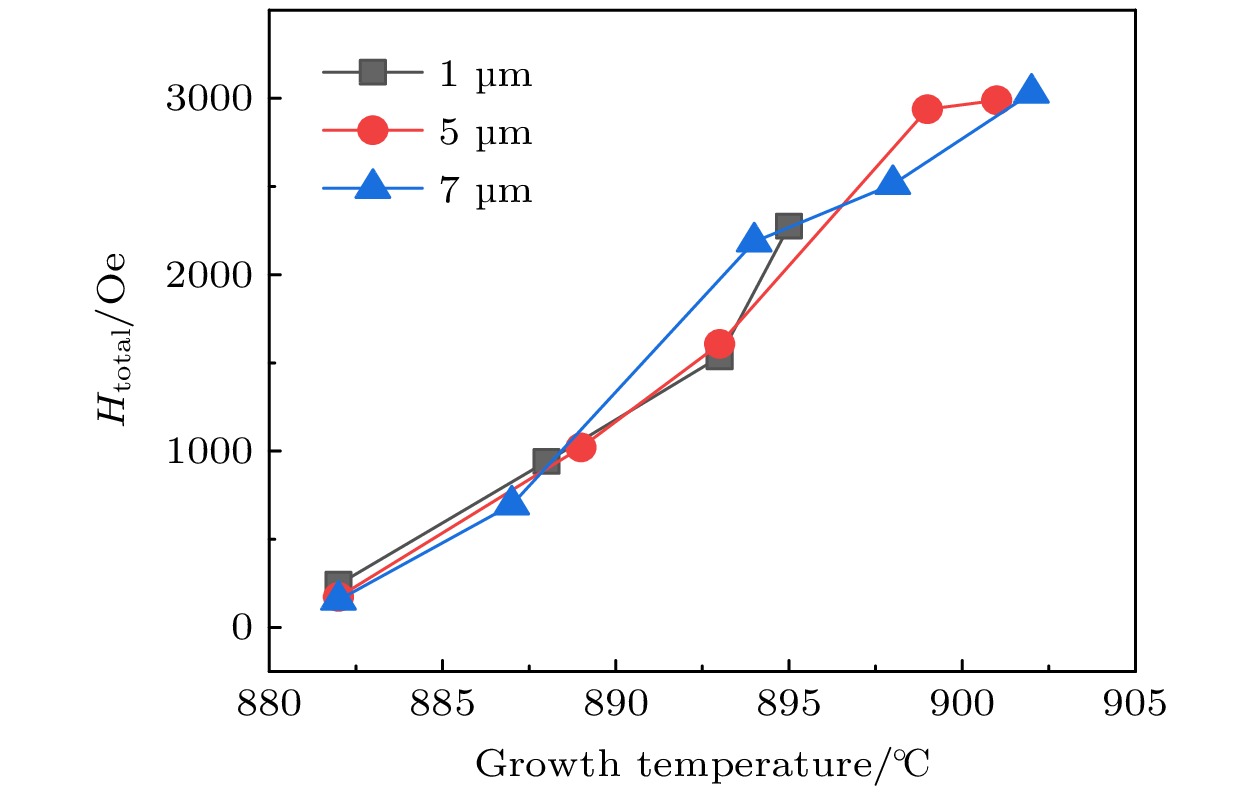
郝俊祥, 杨青慧, 张怀武, 文岐业, 白飞明, 钟智勇, 贾利军马博, 吴玉娟.晶格失配应力对单晶(BiTm)3(GaFe)5O12膜磁畴结构的影响. 必威体育下载 , 2018, 67(11): 117801.doi:10.7498/aps.67.20180192 |
| [11] |
肖嘉星, 鲁军, 朱礼军, 赵建华.垂直磁各向异性L10-Mn1.67Ga超薄膜分子束外延生长与磁性研究. 必威体育下载 , 2016, 65(11): 118105.doi:10.7498/aps.65.118105 |
| [12] |
彭红玲, 张玮, 孙利杰, 马绍栋, 石岩, 渠红伟, 张冶金, 郑婉华.直接键合的三结太阳能电池研究. 必威体育下载 , 2014, 63(17): 178801.doi:10.7498/aps.63.178801 |
| [13] |
聂帅华, 朱礼军, 潘东, 鲁军, 赵建华.分子束外延制备的垂直易磁化MnAl薄膜结构和磁性. 必威体育下载 , 2013, 62(17): 178103.doi:10.7498/aps.62.178103 |
| [14] |
陈家洛, 狄国庆.磁各向异性热电效应对自旋相关器件的影响. 必威体育下载 , 2012, 61(20): 207201.doi:10.7498/aps.61.207201 |
| [15] |
张辉, 曾德长.Tb0.3Dy0.7Fe2单晶中巨磁致伸缩的逆效应. 必威体育下载 , 2010, 59(4): 2808-2814.doi:10.7498/aps.59.2808 |
| [16] |
郭玉献, 王 劼, 徐彭寿, 李红红, 蔡建旺.Co0.9Fe0.1薄膜面内元素分辨的磁各向异性. 必威体育下载 , 2007, 56(2): 1121-1126.doi:10.7498/aps.56.1121 |
| [17] |
越方禹, 邵 军, 魏彦峰, 吕 翔, 黄 炜, 杨建荣, 褚君浩.变温吸收谱研究液相外延碲镉汞浅能级. 必威体育下载 , 2007, 56(5): 2878-2881.doi:10.7498/aps.56.2878 |
| [18] |
王庆学.异质结构的应变和应力分布模型研究. 必威体育下载 , 2005, 54(8): 3757-3763.doi:10.7498/aps.54.3757 |
| [19] |
李锐鹏, 王 劼, 李红红, 郭玉献, 王 锋, 胡志伟.软x射线磁性圆二色吸收谱研究铁单晶薄膜的面内磁各向异性. 必威体育下载 , 2005, 54(8): 3851-3855.doi:10.7498/aps.54.3851 |
| [20] |
王晓平, 谢 峰, 石勤伟, 赵特秀.晶格失配对异质外延超薄膜生长中成核特性的影响. 必威体育下载 , 2004, 53(8): 2699-2704.doi:10.7498/aps.53.2699 |