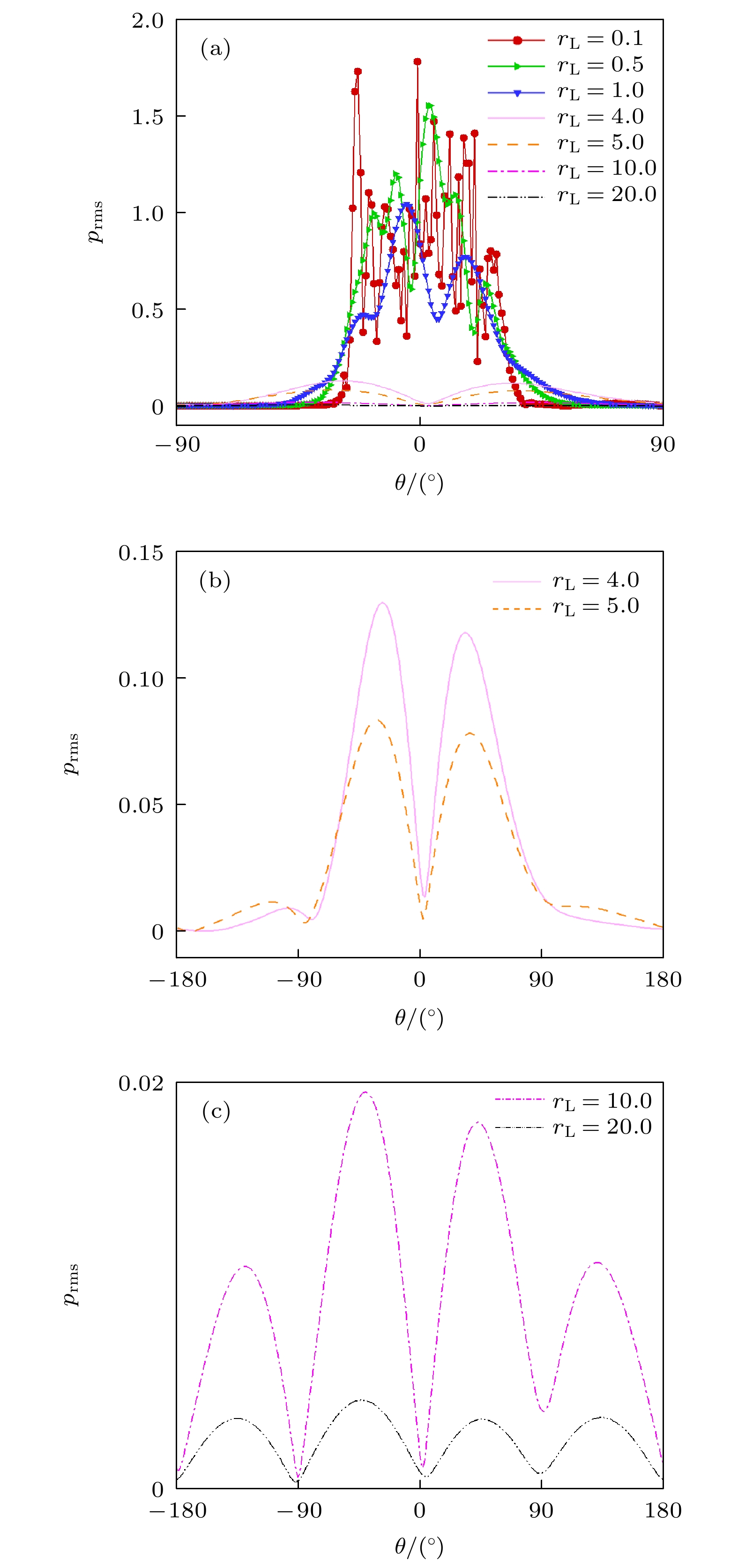
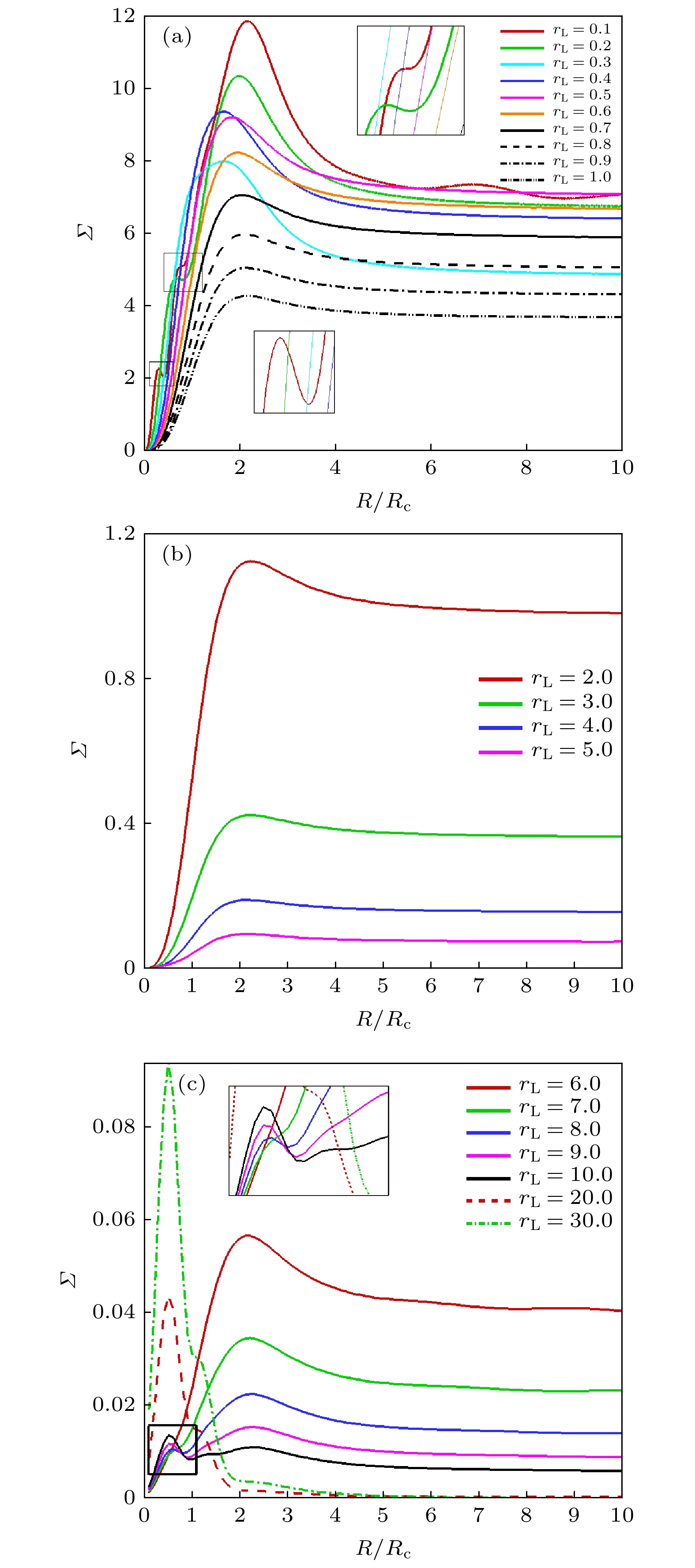
The scattering of acoustic waves by a vortex is a fundamental problem of the acoustic waves propagation in complex flow field, which plays an important role in academic research and engineering application for sound source localization, acoustic target recognition and detection, the far field noise prediction, such as aircraft wake vortex identification, detection and ranging, acoustic target forecasting in turbulent shear flow, acoustic measurement and sound source localization in wind tunnel test, etc. The nonlinear scattering phenomenon occurs when acoustic wave passes through the vortex, which is mainly related to the length-scale ratio between the wavelength of acoustic wave and the core radius of the vortex. In this paper, a plane acoustic wave passing through a stationary isentropic vortex is numerically simulated by solving a two-dimensional compressible, unsteady Euler equation. A sixth-order linear compact finite difference scheme is employed for spatial discretization. Time integration is performed by a four-stage fourth-order Runge-Kutta method. The eighth-order spatial compact filter scheme is adopted to suppress high frequency errors. At the far field boundaries, buffer layer is applied to handle the outgoing acoustic wave. Under the matching condition, the accuracy of the numerical results is verified by comparing with the previous direct numerical simulation results. The acoustic scattering cross-section method is introduced to analyze the effects of different length-scale ratio on the acoustic pulsation pressure, acoustic scattering effective sound pressure and acoustic scattering energy. Scattering occurs when sound waves pass through the vortex, the acoustic field in front of the vortex is basically unaffected, and the acoustic wave front remains intact. A “vacuum” region is formed slightly below the acoustic field directly behind the vortex, and two primary interference bands and several secondary interference bands are formed on the upper and lower sides of the vortex. As the length-scale ratio increases, the sound scattering decreases and the influence of the vortex flow field on the acoustic field gradually weakens. The influence region of effective sound pressure of acoustic scattering is mainly concentrated behind the vortex. With the increase of the length scale ratio, the influence gradually increases and extends to the upstream, and then the influence region gradually decreases to the vicinity of the vortex. When the length scale ratio is greater than or equal to 6, the location of the maximum effective sound pressure of sound scattering jumps from the upper right to the lower right of the vortex. The influence of acoustic wave wavelength change on the acoustic scattering energy can be divided into three parts. With the increase of the length scale ratio, the maximum sound scattering energy presents four different stages.