| [1] |
陈钇成, 张成龙, 张丽超, 祁志美.InSb光栅耦合的太赫兹表面等离激元共振传感方法. 必威体育下载 , 2024, 73(9): 098701.doi:10.7498/aps.73.20231904 |
| [2] |
方泽, 潘泳全, 戴栋, 张俊勃.基于源项解耦的物理信息神经网络方法及其在放电等离子体模拟中的应用. 必威体育下载 , 2024, 73(14): 145201.doi:10.7498/aps.73.20240343 |
| [3] |
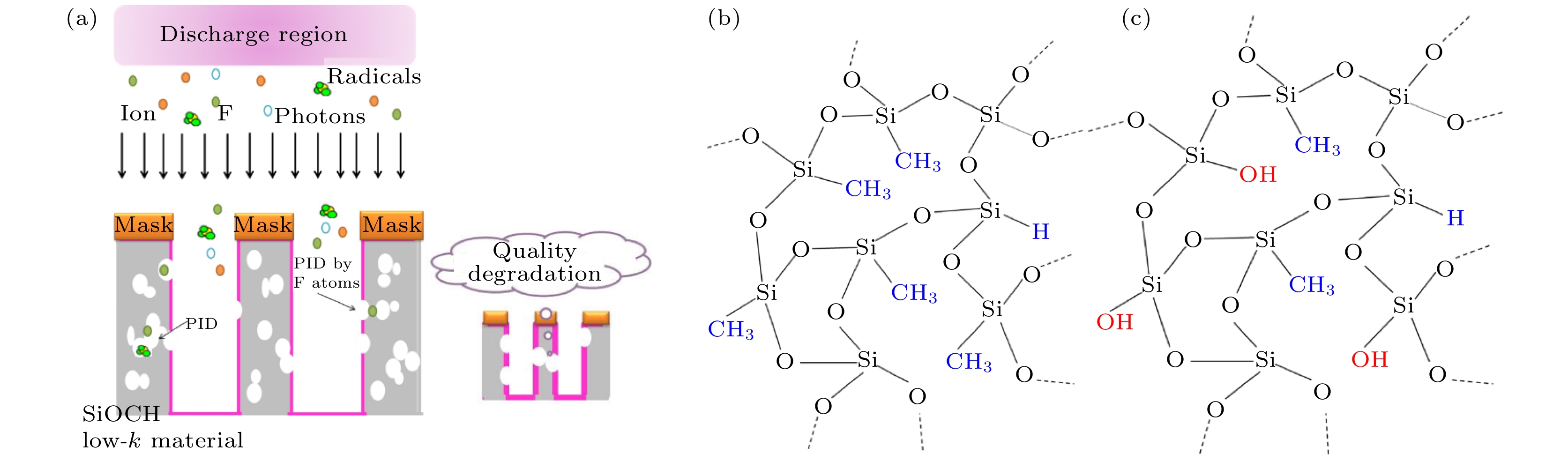
陈锦峰, 朱林繁.等离子体刻蚀建模中的电子碰撞截面数据. 必威体育下载 , 2024, 73(9): 095201.doi:10.7498/aps.73.20231598 |
| [4] |
陈俊祥, 于继东, 耿华运, 贺红亮.多孔材料的温度和压强计算. 必威体育下载 , 2017, 66(5): 056401.doi:10.7498/aps.66.056401 |
| [5] |
孙安邦, 李晗蔚, 许鹏, 张冠军.流注放电低温等离子体中电子输运系数计算的蒙特卡罗模型. 必威体育下载 , 2017, 66(19): 195101.doi:10.7498/aps.66.195101 |
| [6] |
王学扬, 齐志华, 宋颖, 刘东平.等离子体放电活化生理盐水杀菌应用研究. 必威体育下载 , 2016, 65(12): 123301.doi:10.7498/aps.65.123301 |
| [7] |
杨淑敏, 韩伟, 顾建军, 李海涛, 岂云开.虹彩环形结构色氧化铝薄膜的制备与研究. 必威体育下载 , 2015, 64(7): 076102.doi:10.7498/aps.64.076102 |
| [8] |
何曼丽, 王晓, 张明, 王黎, 宋蕊.低温等离子体中H2(D2和T2)的振动分布. 必威体育下载 , 2014, 63(12): 125201.doi:10.7498/aps.63.125201 |
| [9] |
张增辉, 张冠军, 邵先军, 常正实, 彭兆裕, 许昊.大气压Ar/NH3介质阻挡辉光放电的仿真研究. 必威体育下载 , 2012, 61(24): 245205.doi:10.7498/aps.61.245205 |
| [10] |
张增辉, 邵先军, 张冠军, 李娅西, 彭兆裕.大气压氩气介质阻挡辉光放电的一维仿真研究. 必威体育下载 , 2012, 61(4): 045205.doi:10.7498/aps.61.045205 |
| [11] |
汪宇, 李晓东, 余量, 严建华.滑动弧低温等离子体放电特性的数值模拟研究. 必威体育下载 , 2011, 60(3): 035203.doi:10.7498/aps.60.035203 |
| [12] |
邵先军, 马跃, 李娅西, 张冠军.低气压氙气介质阻挡放电的一维仿真研究. 必威体育下载 , 2010, 59(12): 8747-8754.doi:10.7498/aps.59.8747 |
| [13] |
刘培生.多孔材料在压缩载荷作用下的剪切破坏模式分析. 必威体育下载 , 2010, 59(7): 4849-4856.doi:10.7498/aps.59.4849 |
| [14] |
刘培生.多孔材料在压缩载荷作用下的屈曲失效模式分析. 必威体育下载 , 2010, 59(12): 8801-8806.doi:10.7498/aps.59.8801 |
| [15] |
牛田野, 曹金祥, 刘 磊, 刘金英, 王 艳, 王 亮, 吕 铀, 王 舸, 朱 颖.低温氩等离子体中的单探针和发射光谱诊断技术. 必威体育下载 , 2007, 56(4): 2330-2336.doi:10.7498/aps.56.2330 |
| [16] |
朱希睿, 孟续军, 田明锋, 姜旻昊.中低温等离子体原子能量的分波法计算. 必威体育下载 , 2007, 56(4): 2053-2060.doi:10.7498/aps.56.2053 |
| [17] |
杨 靖, 李景镇, 孙秀泉, 龚向东.硅烷低温等离子体阶跃响应的仿真(1). 必威体育下载 , 2005, 54(7): 3251-3256.doi:10.7498/aps.54.3251 |
| [18] |
刘洪祥, 魏合林, 刘祖黎, 刘艳红, 王均震.磁镜场对射频等离子体中离子能量分布的影响. 必威体育下载 , 2000, 49(9): 1764-1768.doi:10.7498/aps.49.1764 |
| [19] |
伍乃娟, 谢侃, 胡建芳, 洪明苑, 李会楠.在低温等离子体及低能离子作用下PET表面氮的XPS研究. 必威体育下载 , 1988, 37(3): 373-378.doi:10.7498/aps.37.373 |
| [20] |
李家全.磁阱中的低温等离子体. 必威体育下载 , 1980, 29(11): 1471-1478.doi:10.7498/aps.29.1471 |