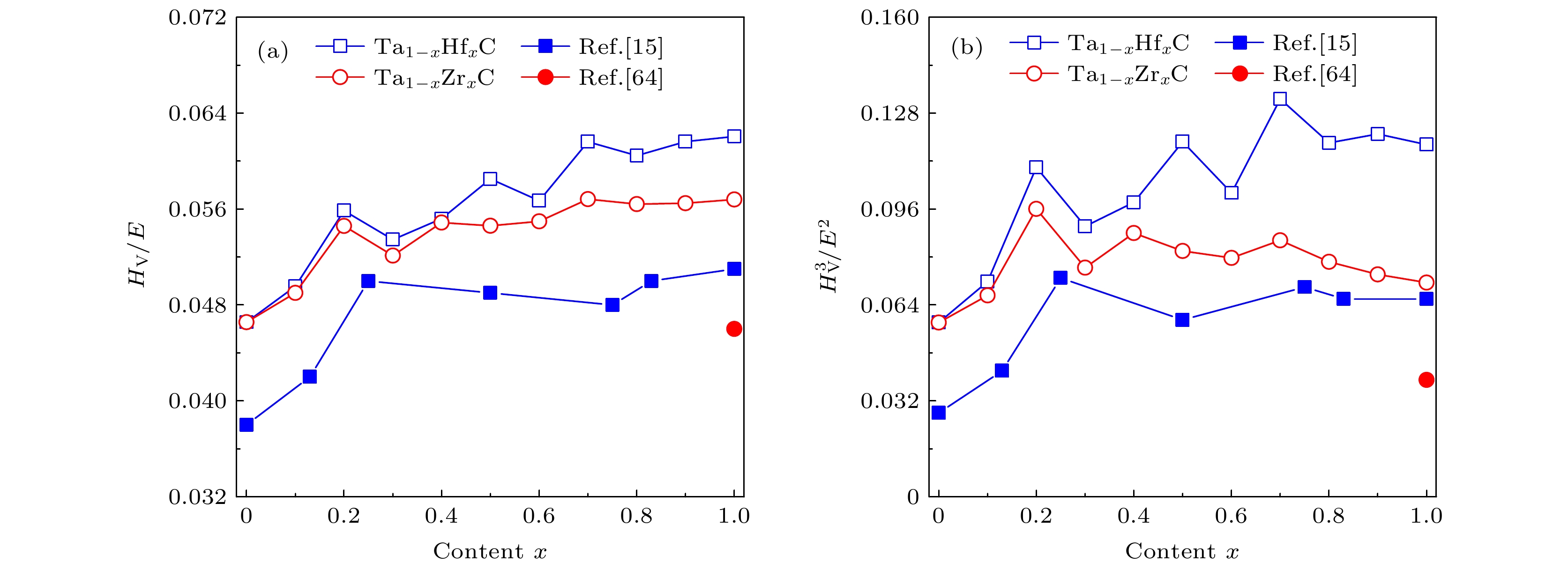
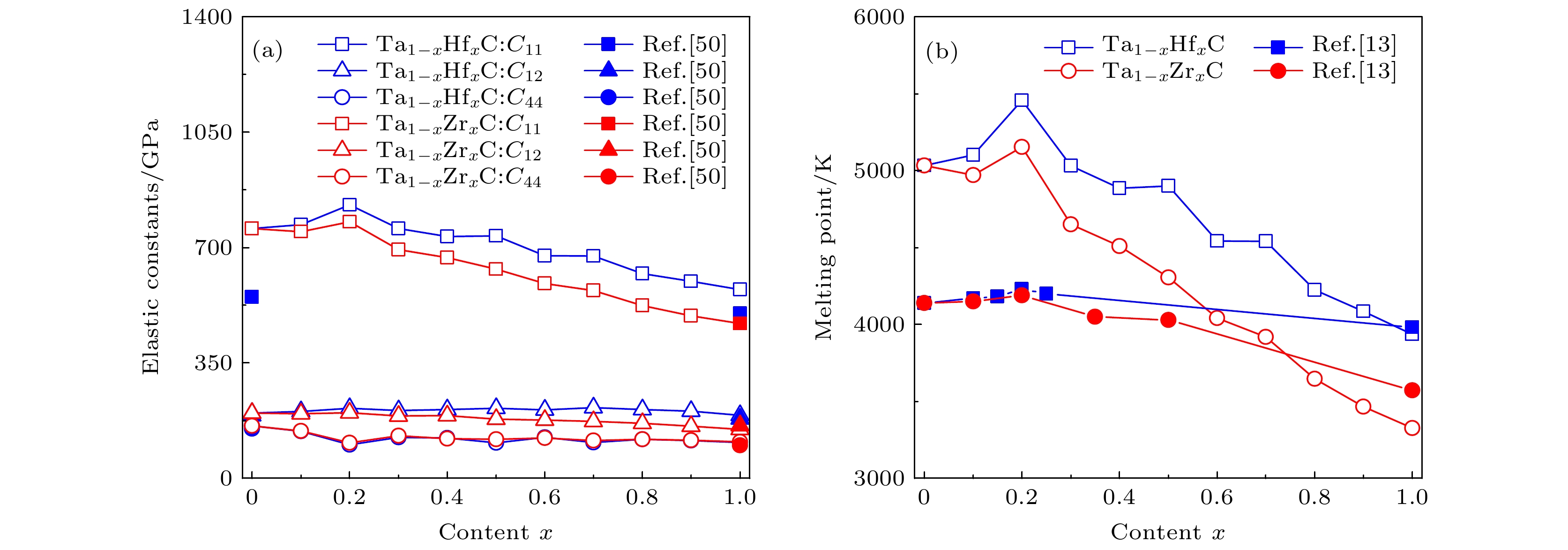
With the rapid development of the aerospace field, the harsh environment requires ultra-high temperature ceramic materials with better mechanical properties and ultra-high melting points. At present, the ultra-high temperature ceramic materials of single metal carbides are required more and more urgently. In order to solve the problem about the insufficient performance of transition metal single carbides, we systematically study the various physical properties of Ta
1–xHf
xC and Ta
1–xZr
xC solid solutions in an entire content range (0 ≤
x≤ 1) based on density functional theory, including the formation energy, impurity formation energy, mixing energy, lattice parameters, elastic constants, elastic modulus, Vickers hardness, fracture toughness, wear resistance, melting point and electronic density of states. The results of formation energy show that with the increase of Hf and Zr doping concentration, the structural stability of Ta
1–xHf
xC and Ta
1–xZr
xC solid solutions gradually increase. And the structure of Ta
1–xZr
xC solid solution is more stable than that of Ta
1–xHf
xC solid solution when the doping content of Hf and Zr are the same. The results of mixing energy indicate that the formation of binary metal carbides from single metal carbides is an exothermic process. Furthermore, we also find that with the increase of Hf and Zr doping content, the lattice constant and volume of Ta
1–xHf
xC and Ta
1–xZr
xC solid solutions can expand, which is mainly attributed to the atomic radii of Hf and Zr being larger than the radius of Ta. The results of mechanical properties show that the Ta
1–xHf
xC and Ta
1–xZr
xC solid solution are brittle materials in the entire Hf/Zr content range and have mechanical stability. The bulk modulus of Ta
1–xHf
xC and Ta
1–xZr
xC solid solutions decrease with the increase of Hf and Zr content, while the melting point, Young's modulus, shear modulus, Vickers hardness and fracture toughness of Ta
1–xHf
xC and Ta
1–xZr
xC solid solutions have peaks with the doping content
x= 0.2. Moreover, the addition of Hf/Zr can enhance the wear resistance of TaC. The results of the electronic density of states show that as the doping content increases, the density of states at the Fermi level of Ta
1–xHf
xC and Ta
1–xZr
xC solid solutions decrease, which also indicates that the solid solution structure becomes more and more stable.