-
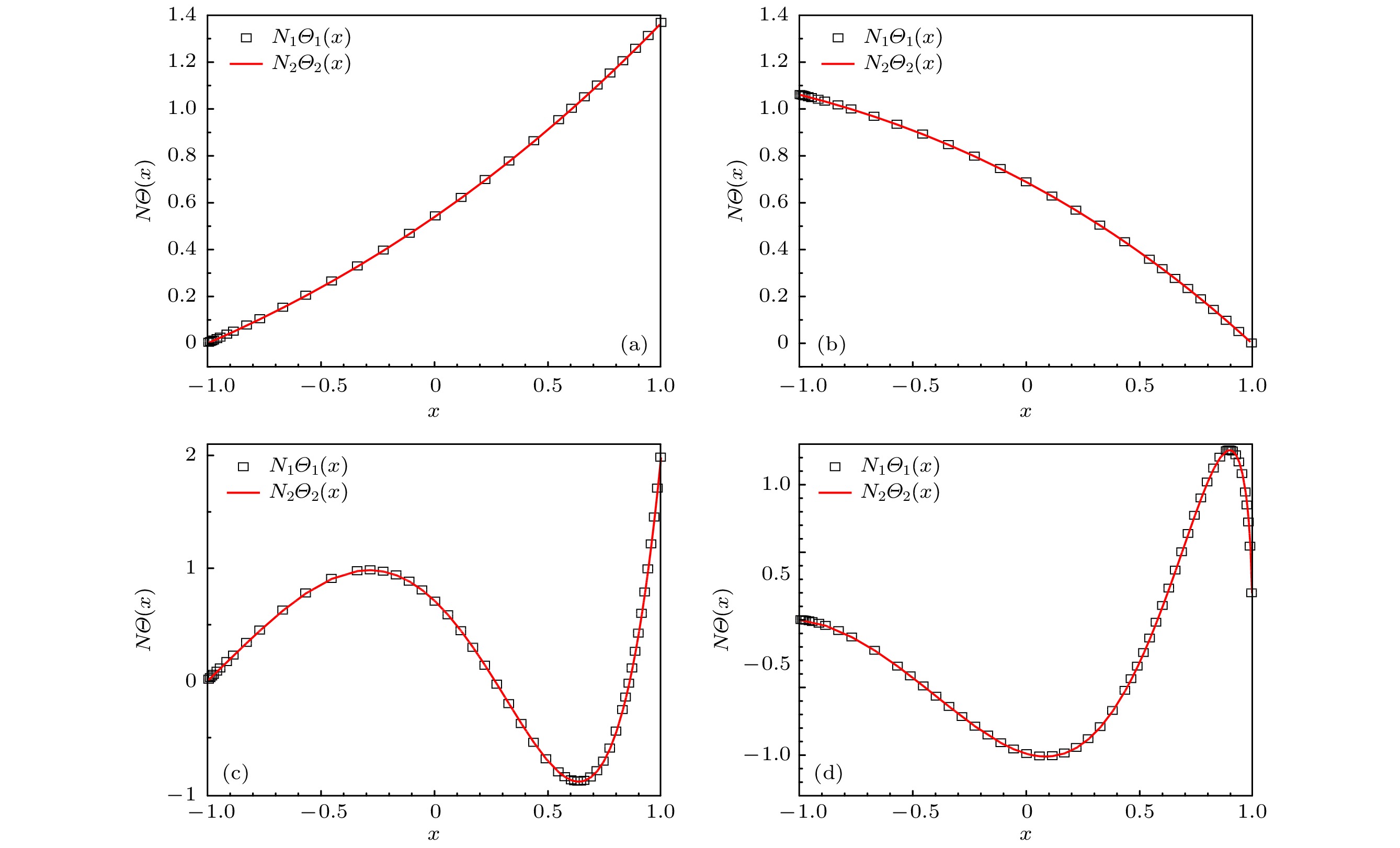
提出了一种精确求解位于外电场中刚性对称陀螺分子转动能级和相应解析波函数的新方法. 首先利用不同形式的函数变换和变量代换将位于外电场中对称陀螺分子的极角 θ方向的方程转化为合流Heun微分方程, 然后根据合流Heun微分方程和合流Heun函数具有的特点, 找到描述同一本征态的线性相关的两个解, 构造Wronskian (朗斯基)行列式, 得到精确的能谱方程. 最后利用Maple软件计算出不同量子态的本征值, 再将得到的本征值代入本征函数进行归一化运算最终得到用合流Heun函数表示的解析的归一化本征函数. 这些结果可为深入研究对称陀螺分子的Stark效应提供有益的帮助.In this work a new scheme is proposed to accurately calculate the rotational energy level of the rigid symmetric-top molecule subjected to the external electric field, and also to obtain the corresponding analytical wave functions. For this purpose, first we use the different forms of function transformation and variable substitution to transform the differential equation of the polar angle θinto a confluent Heun differential equation, and then we use the characteristics of the confluent Heun differential equation and the confluent Heun function to find two linearly dependent solutions of the same eigenstates, which are used to construct the Wronskian determinant to obtain the exact energy spectrum equation. Finally, with the aid of the Maple software, we calculate the eigenvalues for different quantum states, and then substitute the obtained eigenvalues into the unnormalized eigenfunction to obtain the analytical normalized eigenfunction expressed by the confluent Heun function. These results are conducive to the in-depth study of the Stark effect of symmetric-top molecules.
-
Keywords:
- exactly analytic solutions/
- Stark effect/
- rigid symmetric-top molecules/
- confluent Heun function
[1] [2] [3] [4] [5] [6] [7] [8] [9] [10] [11] [12] [13] [14] [15] [16] [17] [18] [19] -
J K (K,M) n b= 1 b= 5 b= 10 b= 20 0 0 (0, 0) 0 –0.15766348 –2.36561388 –6.04507511 –14.18676623 1 0 (0, 0) 1 2.09076065 2.63874703 1.72333341 –2.64067155 (0, 1) (0, –1) 0 1.95033391 0.90475071 –1.52336944 –7.83391897 1 (1, 1) (–1, –1) 0 1.46550429 –1.13615048 –4.90088894 –13.09274467 (1, 0) (–1, 0) 0 1.95033391 0.90475071 –1.52336944 –7.83391897 (1, –1) (–1, 1) 0 2.45930791 3.25240982 2.28859798 –2.10241580 2 0 (0, 0) 2 6.02403166 6.64546248 7.87932729 7.59702750 (0, 1) (0, –1) 1 6.01157793 6.14932334 5.86920589 3.21233397 (0, 2) (0, –2) 0 5.97623080 5.42770799 3.91145991 –0.75028417 1 (1, 2) (–1, –2) 0 5.64610143 3.87965848 1.11394605 –5.42557601 (1, 1) (–1, –1) 1 5.83444799 5.02308599 3.42628660 –1.26151418 (1, 0) (–1, 0) 1 6.01157793 6.14932334 5.86920589 3.21233397 (1, –1) (–1, 1) 1 6.17303459 7.17694539 8.52241501 8.17688040 (1, –2) (–1, 2) 0 6.31159733 7.08037678 6.95972394 4.30076661 2 (2, 2) (–2, –2) 0 5.32080726 2.40921111 –1.50915355 –9.82205218 (2, 1) (–2, –1) 0 5.64610143 3.87965848 1.11394605 –5.42557601 (2, 0) (–2, 0) 0 5.97623080 5.42770799 3.91145991 –0.75028417 (2, –1) (–2, 1) 0 6.31159733 7.08037678 6.95972394 4.30076661 (2, –2) (–2, 2) 0 6.65266958 8.89010555 10.43690550 9.90220896 3 0 (0, 0) 3 12.01112256 12.28609326 13.23851702 16.01072933 (0, 1) (0, –1) 2 12.00832614 12.20185604 12.68109763 13.00122422 (0, 2) (0, –2) 1 11.99996510 11.98051777 11.76516026 10.12548434 (0, 3) (0, –3) 0 11.98611962 11.65790586 10.68518379 7.32389600 1 (1, 3) (–1, –3) 0 11.73714675 10.44710964 8.38487920 3.22650134 (1, 2) (–1, –2) 1 11.83176701 11.08791249 9.87421333 6.36151132 (1, 1) (–1, –1) 2 11.92226344 11.68117484 11.32510413 9.60625434 (1, 0) (–1, 0) 2 12.00832614 12.20185604 12.68109763 13.00122422 (1, –1) (–1, 1) 2 12.08964046 12.60886369 13.77998811 16.66271656 (1, –2) (–1, 2) 1 12.16589908 12.84075061 13.66336275 14.14238561 (1, –3) (–1, 3) 0 12.23682184 12.90821524 13.10954794 11.68530530 2 (2, 3) (–2, –3) 0 11.48984080 9.26997167 6.18154889 –0.66884422 (2, 2) (–2, –2) 1 11.66163328 10.18131826 8.01132314 2.77663392 (2, 1) (–2, –1) 1 11.83176701 11.08791249 9.87421333 6.36151132 (2, 0) (–2, 0) 1 11.99996510 11.98051777 11.76516026 10.12548434 (2, –1) (–2, 1) 1 12.16589908 12.84075061 13.66336275 14.14238561 (2, –2) (–2, 2) 1 12.32917589 13.62647723 15.47989534 18.60143861 (2, –3) (–2, 3) 0 12.48932036 14.20615704 15.70403035 16.41950037 3 (3, 3) (–3, –3) 0 11.24414341 8.12208069 4.05742691 –4.40185593 (3, 2) (–3, –2) 0 11.48984080 9.26997167 6.18154889 –0.66884422 (3, 1) (–3, –1) 0 11.73714675 10.44710964 8.38487920 3.22650134 (3, 0) (–3, 0) 0 11.98611962 11.65790586 10.68518379 7.32389600 (3, –1) (–3, 1) 0 12.23682184 12.90821524 13.10954794 11.68530530 (3, –2) (–3, 2) 0 12.48932036 14.20615704 15.70403035 16.41950037 (3, –3) (–3, 3) 0 12.74368721 15.56368561 18.56353300 21.76261674 b Perturbation Maergoiz[7] This work b Maergoiz[7] This work 0.1 20.00006494 20.00006494 100 15.696 15.69559837 1 20.00649351 20.00649533 200 –31.200 –31.20010397 5 20.16233766 20.164 20.16352072 300 –90.598 –90.59767902 10 20.64935065 20.671 20.67080282 400 –156.41 –156.40991571 20 22.59740260 22.975 22.97522235 500 –226.31 –226.30840320 50 36.23376623 27.681 27.68132358 750 –412.26 –412.26234718 -
[1] [2] [3] [4] [5] [6] [7] [8] [9] [10] [11] [12] [13] [14] [15] [16] [17] [18] [19]
计量
- 文章访问数:3799
- PDF下载量:89
- 被引次数:0












下载:
