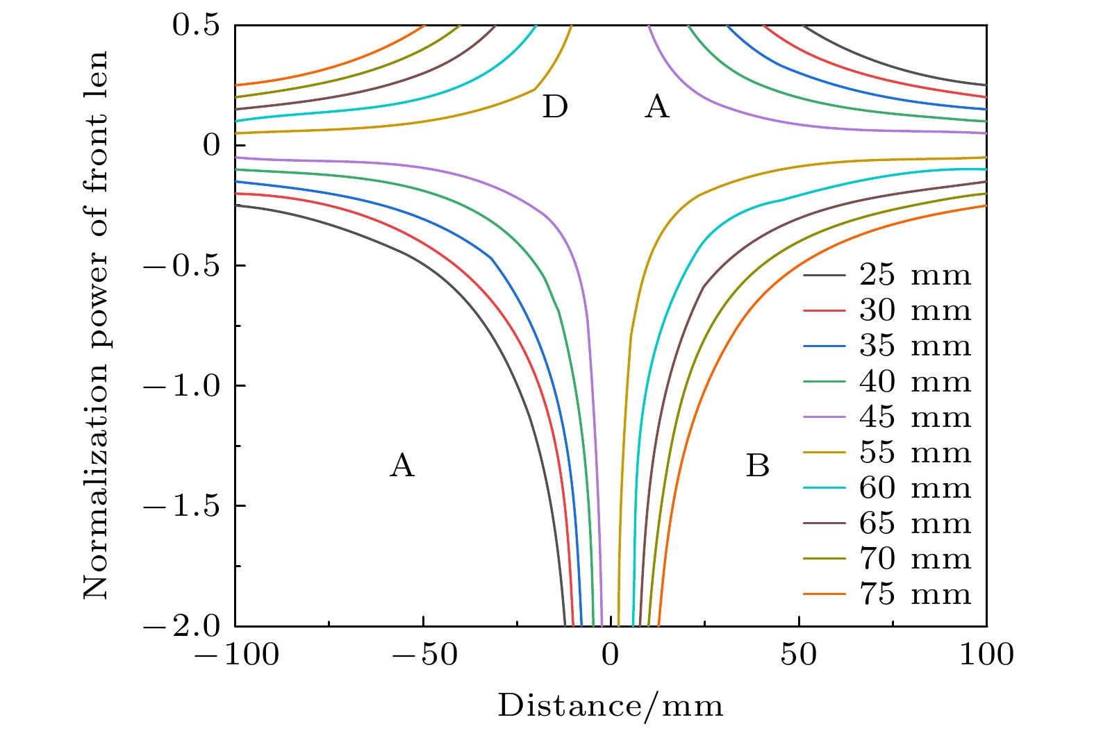
Under different ambient temperatures, the thermal aberration certainly affects the imaging quality of infrared multi-spectral camera. Therefore, an athermalized model of infrared multi-spectral cameras is established, and in this model the ambient infrared multispectral camera is equivalent to a separated dual-lens optical system. In the case of the fixed focal length, the influence of the back focal length on the change of the focal power of the front lens and back lens is analyzed. Now, the variation range of the front and rear lens interval is assumed to be restricted. When the back focal length is smaller than the focal length, the ratio of the absolute value of the focal power of the front lens to the absolute value of the focal power of the back lens decreases with the back focal length increasing. The material of the front lens and the back lens have a longer interval on the thermogram. When the back focal length is greater than the focal length, the scenario becomes exactly opposite. Combined with the judgment method of the positive value and negative value of the focal power on the thermogram, the selection range of materials is constrained by the positive value, negative value, and absolute value of focal power, thus realizing the rapid selection of the optical materials. This method is used to design an athermalized infrared multispectral camera with a waveband of 8–14 μm, a focal length of 50 mm, and an
Fnumber of 1.4 in a range from –40 ℃ to +60 ℃. Through the simulation analysis, the value of the athermalized infrared multispectral camera, at the Nyquist frequency of 30 lp/mm reaches 0.39, which is close to the diffraction limit; the root mean square radius of the diffuse spot is smaller than the Airy spot radius of 19.17 μm; the axial aberration is less than 0.02 mm, and the design results show that this method can make the long back-focus infrared optical system maintain stable imaging quality in a large temperature range. The SF
6gas is detected experimentally, and the experimental results demonstrate the excellent optical performance of the system.