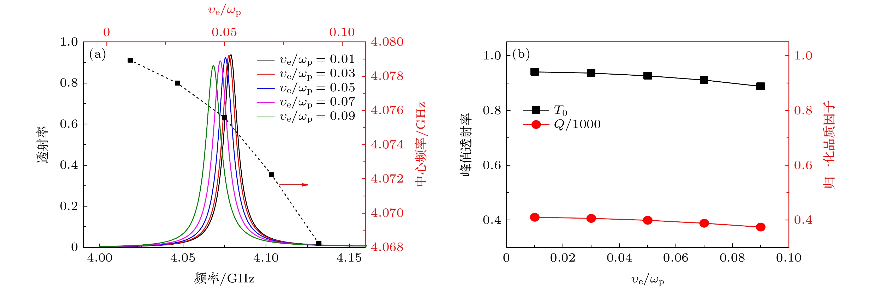
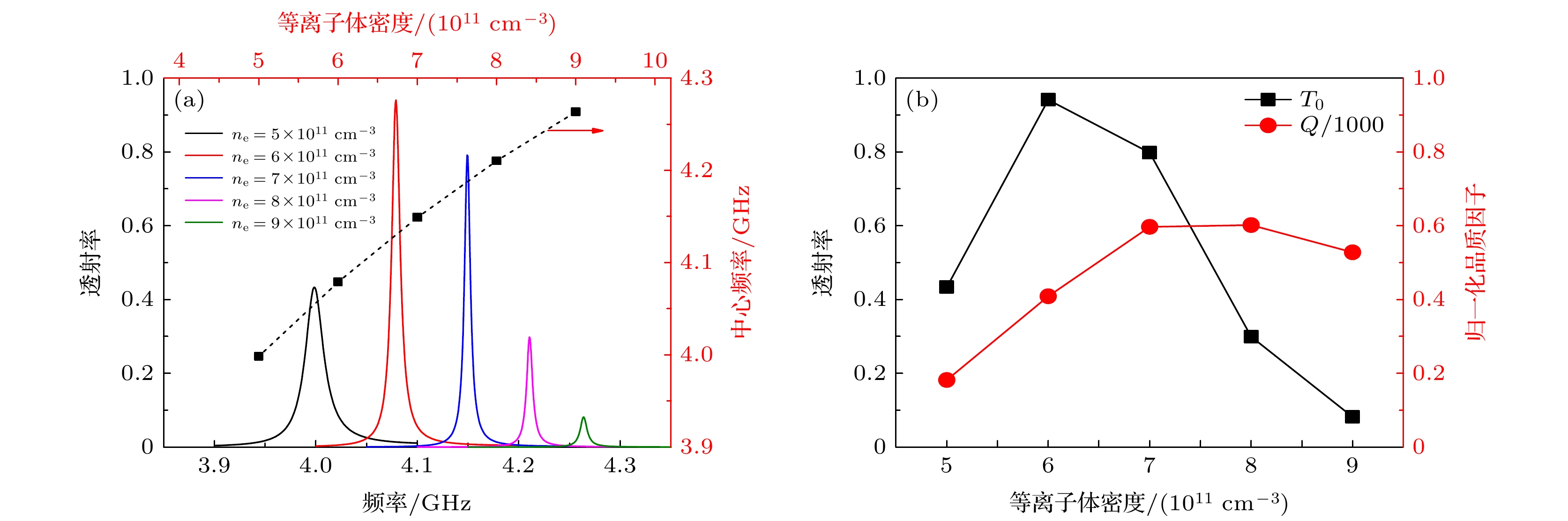
Photonic crystals are widely used in a class of narrow-band frequency selective filter due to their excellent ability to control electromagnetic waves, in which the working frequency depends on the structural parameters of the point defect resonant cavity of the photonic crystal, and the introduction of some dispersive media into the cavity makes the filter adjustable. In general, this kind of cavity-filter is very sensitive to the parameter disturbance of the cavity, and the quality factor of the filter can be reduced significantly by material loss. On the other hand, some studies have shown that there may be bound states at the interface between two different photonic crystals, and the bound state is often accompanied by narrow band and high transmittance, which implies that a narrow-band filter based on bound states is feasible. Importantly, filters based on bound states may be resistant to material loss to some degree. In this paper, a bound state related tunable narrow-band filter composed of a one-dimensional photonic crystal and a two-dimensional plasma photonic crystal is proposed, and the working frequency of the filter is located in the common band gap of the two photonic crystals. The COMSOL Multiphysics finite element simulation software is used to study the influences of geometric parameters of the one-dimensional photonic crystal and plasma parameters on the performance of the filter. It is found that the closer to each other the center frequencies and depths of the two different forbidden bands are, the greater the peak transmittance of the filter, in which the center frequency dominates, will be. On the other hand, the working frequency of the filter is directly proportional to plasma density and inversely proportional to collision frequency. The quality factor of the filter first increases and then decreases with the increase of plasma density, and decreases with the increase of collision frequency. The peak transmittance of the filter first increases and then decreases with the increase of plasma density, and decreases with the increase of plasma collision frequency. Finally, with the increase of collision frequency, both the peak transmittance and the quality factor decrease slightly, which indicates that the filter has a certain resistance to plasma loss. We believe that this work is helpful in investigating some new plasmonic photonic crystal filters.