The high-average-power diode-pumped solid-state laser is one of the main research directions in the field of international laser technology, and has major applications in the fields like space exploration, precise detection, fusion research, etc. Under high-power pumping conditions, the conventional rods or slabs are not conducive to effectively removing waste heat. And the thermal effect causes the quality of the laser beam to deteriorate, which limits the further increase of the output power. In this article, the polygonal Nd: YAG thin disk is taken as a gain medium for the laser, and experiments verify that the side pumping method can obtain a higher output power of the all-solid-state pulsed laser while ensuring high beam quality. The gain medium is a regular pentagonal Nd: YAG thin disk with a side-cut-angle of 45°, the crystal thickness is 1.5 mm, and the diameter of the inscribed circle on the front face is 16 mm. Five laser diode arrays are placed symmetrically around the disk, and the pump surfaces are parallel to the sides of the disk. The pump laser propagates along the zigzag path between the upper and lower surface of the disk, thus improving the absorptive efficiency and pump uniformity. Through the optimization study of its gain characteristics and optical characteristics, the high-efficiency high-uniform pumping is achieved. Along the pump light coupling transmission path, the fast-axis collimator is used to control the beams in the fast-axis direction to be nearly parallel, and the large-area pump light is compressed through the coupling structure of cylindrical lens and light guide to match the size of the thin disk, and the pump coupling efficiency measured experimentally is 97%. When the Nd
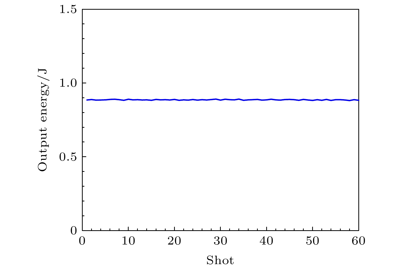
3+doping concentration in the crystal is 0.3 at.%, the gain medium absorptive efficiency is 87%, and the root mea squared pump absorptive distribution uniformity in the gain medium is 3.21%. The fluorescence distribution of the gain medium is in good agreement with the simulated data. When the pump energy is 2.2 J, a laser output with an energy of 0.85 J is obtained, and optical-to-optical efficiency and slope efficiency are 38.8% and 40.1%, respectively. The single pulse energy stability is 2.7%(RMS) at 1 Hz frequency. In the stable cavity, the beam quality
β- factor is measured to be about 10.