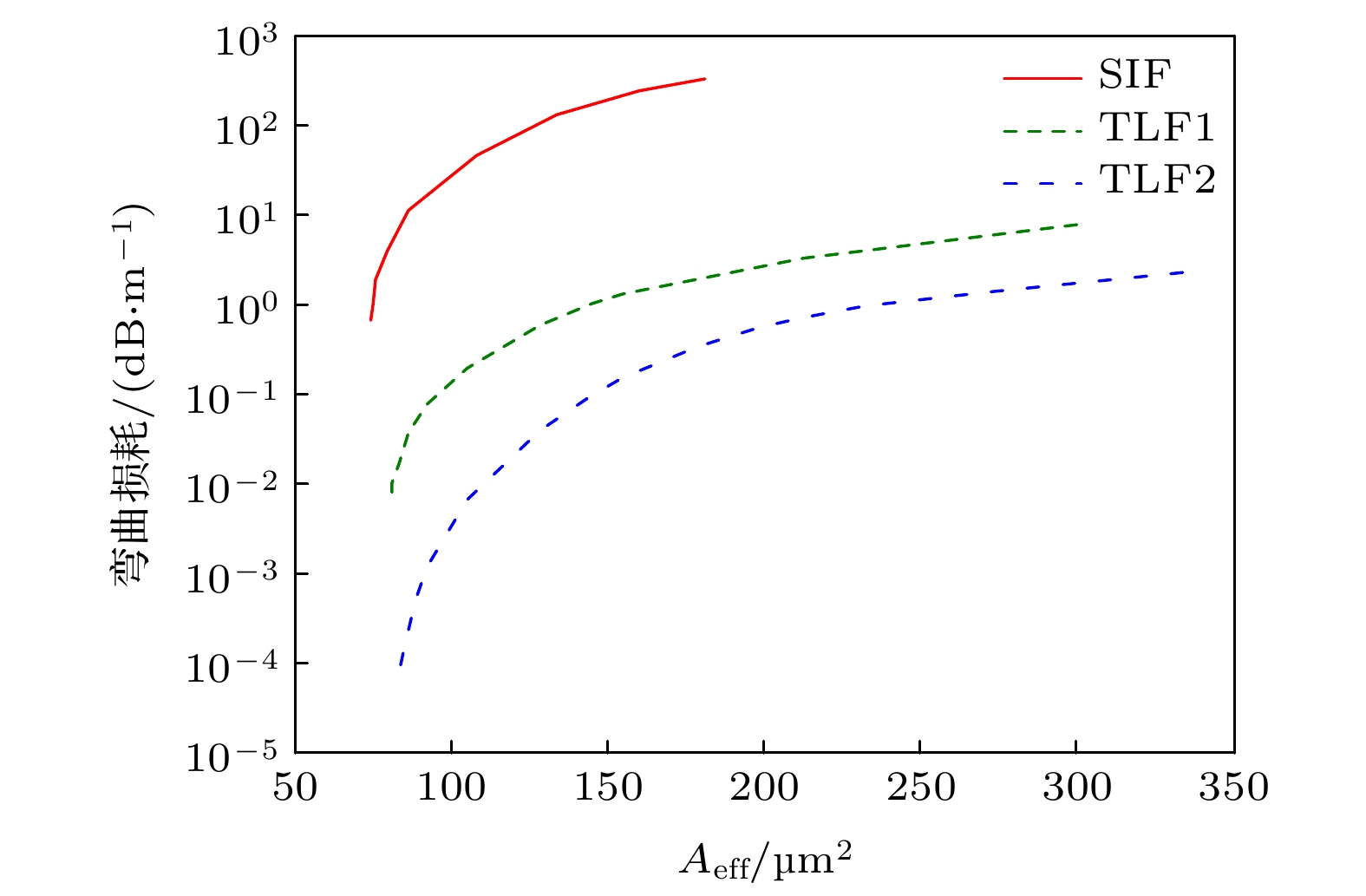
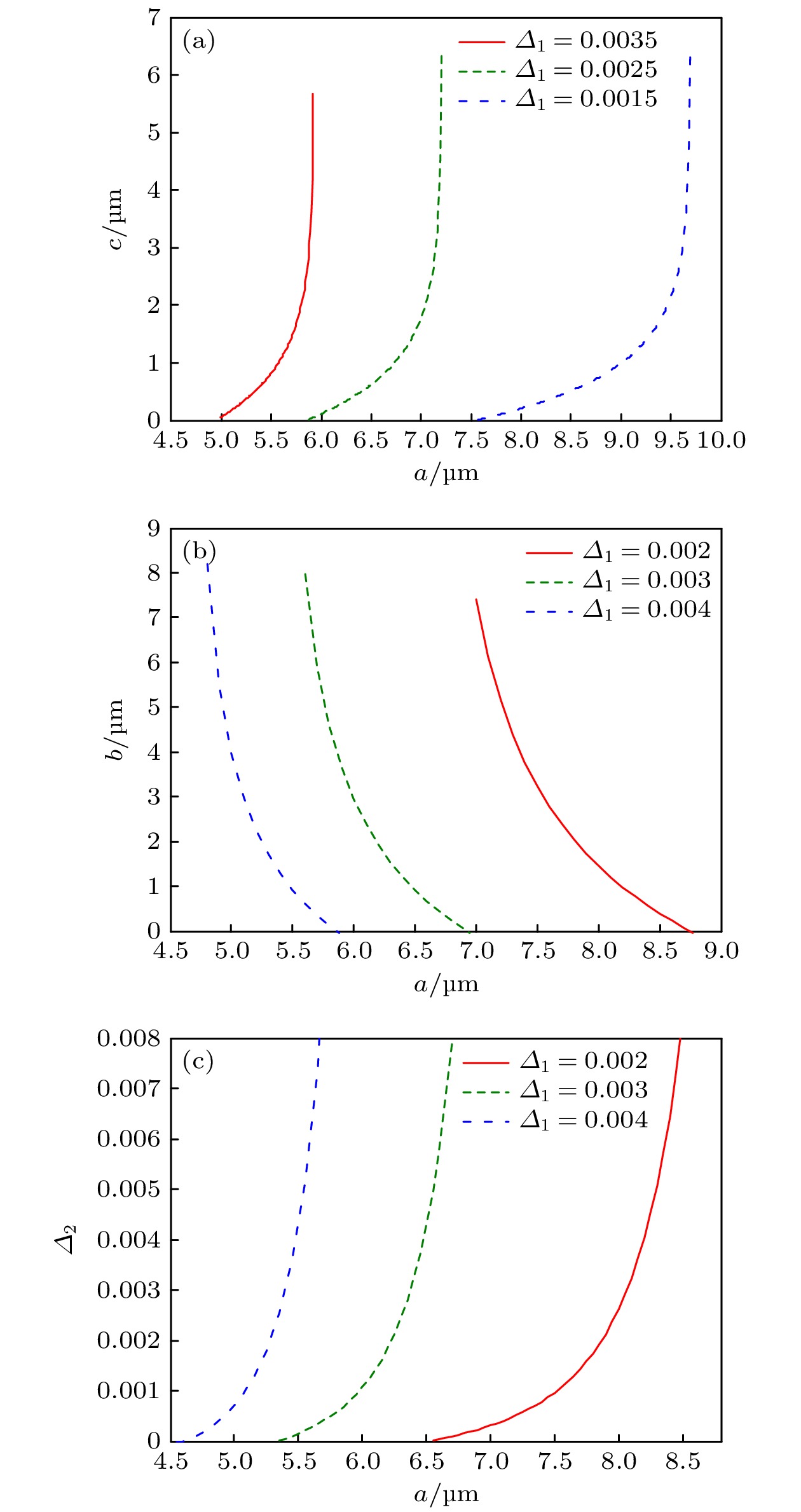
| [1] |
惠战强, 刘瑞华, 高黎明, 韩冬冬, 李田甜, 巩稼民.基于对称双环嵌套管的低损耗弱耦合六模空芯负曲率光纤. 必威体育下载 , 2024, 73(7): 070703.doi:10.7498/aps.73.20231785 |
| [2] |
马丽伶, 李曙光, 李建设, 孟潇剑, 李增辉, 王璐瑶, 邵朋帅.一种具有低串扰抗弯曲的单沟槽十九芯单模异质光纤. 必威体育下载 , 2022, 71(10): 104206.doi:10.7498/aps.71.20212221 |
| [3] |
张媛, 姜文帆, 陈明阳.低串扰低弯曲损耗环形芯少模多芯光纤的设计. 必威体育下载 , 2022, 71(9): 094205.doi:10.7498/aps.71.20211534 |
| [4] |
魏伟华, 李木天, 刘墨南.基于飞秒激光直写的单向单模耦合微腔. 必威体育下载 , 2018, 67(6): 064203.doi:10.7498/aps.67.20172395 |
| [5] |
朱永浩, 黎华, 万文坚, 周涛, 曹俊诚.三阶分布反馈太赫兹量子级联激光器的远场分布特性. 必威体育下载 , 2017, 66(9): 099501.doi:10.7498/aps.66.099501 |
| [6] |
靳文星, 任国斌, 裴丽, 姜有超, 吴越, 谌亚, 杨宇光, 任文华, 简水生.环绕空气孔结构的双模大模场面积多芯光纤的特性分析. 必威体育下载 , 2017, 66(2): 024210.doi:10.7498/aps.66.024210 |
| [7] |
郑兴娟, 任国斌, 黄琳, 郑鹤玲.少模光纤的弯曲损耗研究. 必威体育下载 , 2016, 65(6): 064208.doi:10.7498/aps.65.064208 |
| [8] |
陈艳, 周桂耀, 夏长明, 侯峙云, 刘宏展, 王超.具有双模特性的大模场面积微结构光纤的设计. 必威体育下载 , 2014, 63(1): 014701.doi:10.7498/aps.63.014701 |
| [9] |
廖文英, 范万德, 李园, 陈君, 卜凡华, 李海鹏, 王新亚, 黄鼎铭.新型全固态准晶体结构大模场光纤特性研究. 必威体育下载 , 2014, 63(3): 034206.doi:10.7498/aps.63.034206 |
| [10] |
盛新志, 娄淑琴, 尹国路, 鹿文亮, 王鑫.一种与标准单模光纤高适配的低弯曲损耗光子晶体光纤. 必威体育下载 , 2013, 62(10): 104217.doi:10.7498/aps.62.104217 |
| [11] |
张银, 陈明阳, 周骏, 张永康.微结构芯大模场平顶光纤及其传输特性分析. 必威体育下载 , 2013, 62(17): 174211.doi:10.7498/aps.62.174211 |
| [12] |
易昌申, 戴世勋, 张培晴, 王训四, 沈祥, 徐铁峰, 聂秋华.新型单模大模场红外硫系玻璃光子晶体光纤设计研究. 必威体育下载 , 2013, 62(8): 084206.doi:10.7498/aps.62.084206 |
| [13] |
娄淑琴, 鹿文亮, 王鑫.新型抗弯曲大模场面积光子晶体光纤. 必威体育下载 , 2013, 62(4): 044201.doi:10.7498/aps.62.044201 |
| [14] |
王鑫, 娄淑琴, 鹿文亮.新型三角芯抗弯曲大模场面积光子晶体光纤. 必威体育下载 , 2013, 62(18): 184215.doi:10.7498/aps.62.184215 |
| [15] |
林桢, 郑斯文, 任国斌, 简水生.七芯及十九芯大模场少模光纤的特性研究和比对分析. 必威体育下载 , 2013, 62(6): 064214.doi:10.7498/aps.62.064214 |
| [16] |
郑斯文, 林桢, 任国斌, 简水生.一种新型多芯-双模-大模场面积光纤的设计和分析. 必威体育下载 , 2013, 62(4): 044224.doi:10.7498/aps.62.044224 |
| [17] |
柏宁丰, 洪玮, 孙小菡.复合缺陷型电磁帯隙谐振腔. 必威体育下载 , 2011, 60(1): 018401.doi:10.7498/aps.60.018401 |
| [18] |
郭艳艳, 侯蓝田.全固态八边形大模场光子晶体光纤的设计. 必威体育下载 , 2010, 59(6): 4036-4041.doi:10.7498/aps.59.4036 |
| [19] |
宋有建, 胡明列, 刘庆文, 李进延, 陈 伟, 柴 路, 王清月.掺Yb3+双包层大模场面积光纤锁模激光器. 必威体育下载 , 2008, 57(8): 5045-5048.doi:10.7498/aps.57.5045 |
| [20] |
王忠纯.介观耗散传输线的量子化. 必威体育下载 , 2003, 52(11): 2870-2874.doi:10.7498/aps.52.2870 |