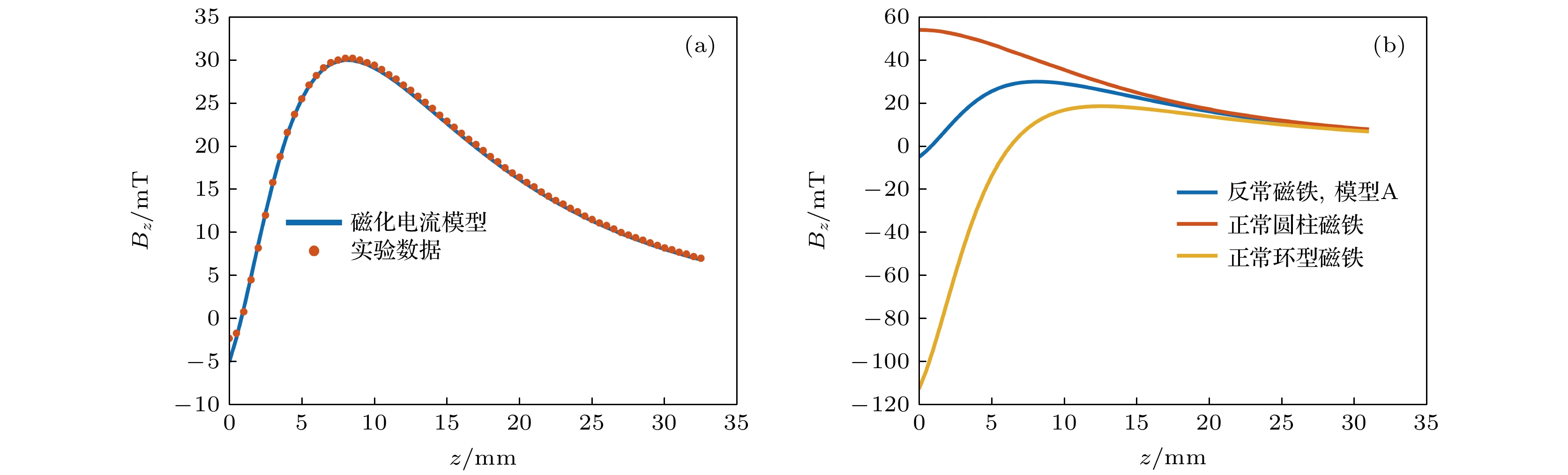
This article proposed an equivalent model to calculate the magnetic field of a special multipole magnet. The special multipole magnet is formed when two permanent magnets of large dimension differences are forced into contact with the same polarity, after the removal of the small magnet, the large magnet becomes the multipole magnet. In the process, the interacting force between the two magnets changes from repulsive force to attractive force as the two magnets approach. Moreover, the reversed pole of the multipole magnet occupies an area roughly the same as the contact area of the two magnets. Qualitatively, the large magnet possesses a lower load line than the small magnet, which suggests that the large magnet is prone to irreversible demagnetization, whereas the small magnet tends to remain unperturbed. Quantitatively, taking axially magnetized cylindrical magnets as examples, the equations for the magnetic fields were derived based on the magnetizing current theory under the assumption that the magnetization of the multipole magnet is locally homogeneous. To validate our equivalent model, two special multipole magnets (model A and model B) have been studied both theoretically and experimentally. Model A was obtained by a large magnet (
$\Phi40\times2.5$
) demagnetized at the center by a small magnet (
$\Phi12\times18$
), model B was obtained by demagnetizing model A with 4 extra small magnets (
$\Phi6\times20$
) at specific symmetrical positions around the center. Measurements for the magnetic induction intensity of the special multipole magnets are in good agreement with the theoretical calculations. The results suggested that the special multipole magnets of model A and B are equivalent to ring magnets and porous magnets, where the near field magnetic induction of the multipole magnets can be adjusted by the small magnets. In addition, a parameter analysis was carried out to study the influence of small magnets on the special multipole magnets. The results indicated that the reversed pole behavior of the special multipole magnet works mainly at positions near the magnet, and decreases rapidly as the observation point moves away from the reversed area. Our model may provide a theoretical basis and alternative solutions for electromechanical systems using multipole magnets.