| [1] |
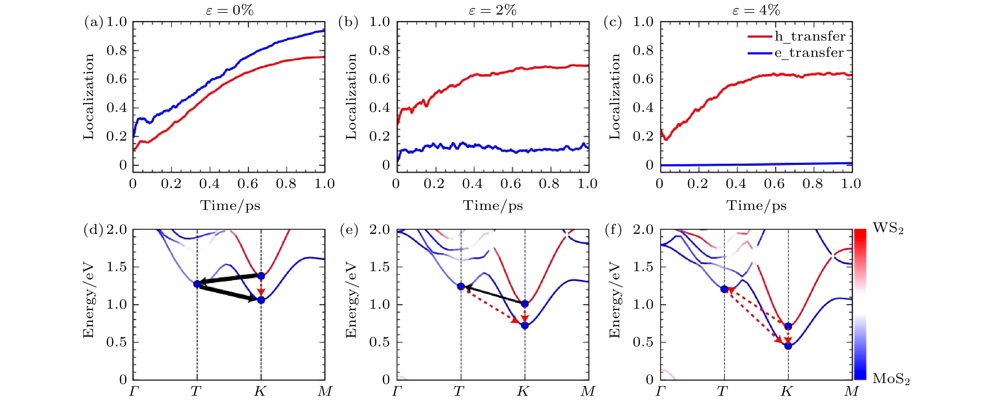
王斐, 杨振清, 夏雨虹, 刘畅, 林春丹.Ge/Sn合金化对CsPbBr3钙钛矿热载流子弛豫影响的非绝热分子动力学研究. 必威体育下载 , 2024, 73(2): 028801.doi:10.7498/aps.73.20231061 |
| [2] |
孙震, 吕项, 李盛, 安忠.绝热表象下非绝热分子动力学方法. 必威体育下载 , 2024, 73(14): 140201.doi:10.7498/aps.73.20240401 |
| [3] |
张宇航, 李孝宝, 詹春晓, 王美芹, 浦玉学.单层MoSSe力学性质的分子动力学模拟研究. 必威体育下载 , 2023, 72(4): 046201.doi:10.7498/aps.72.20221815 |
| [4] |
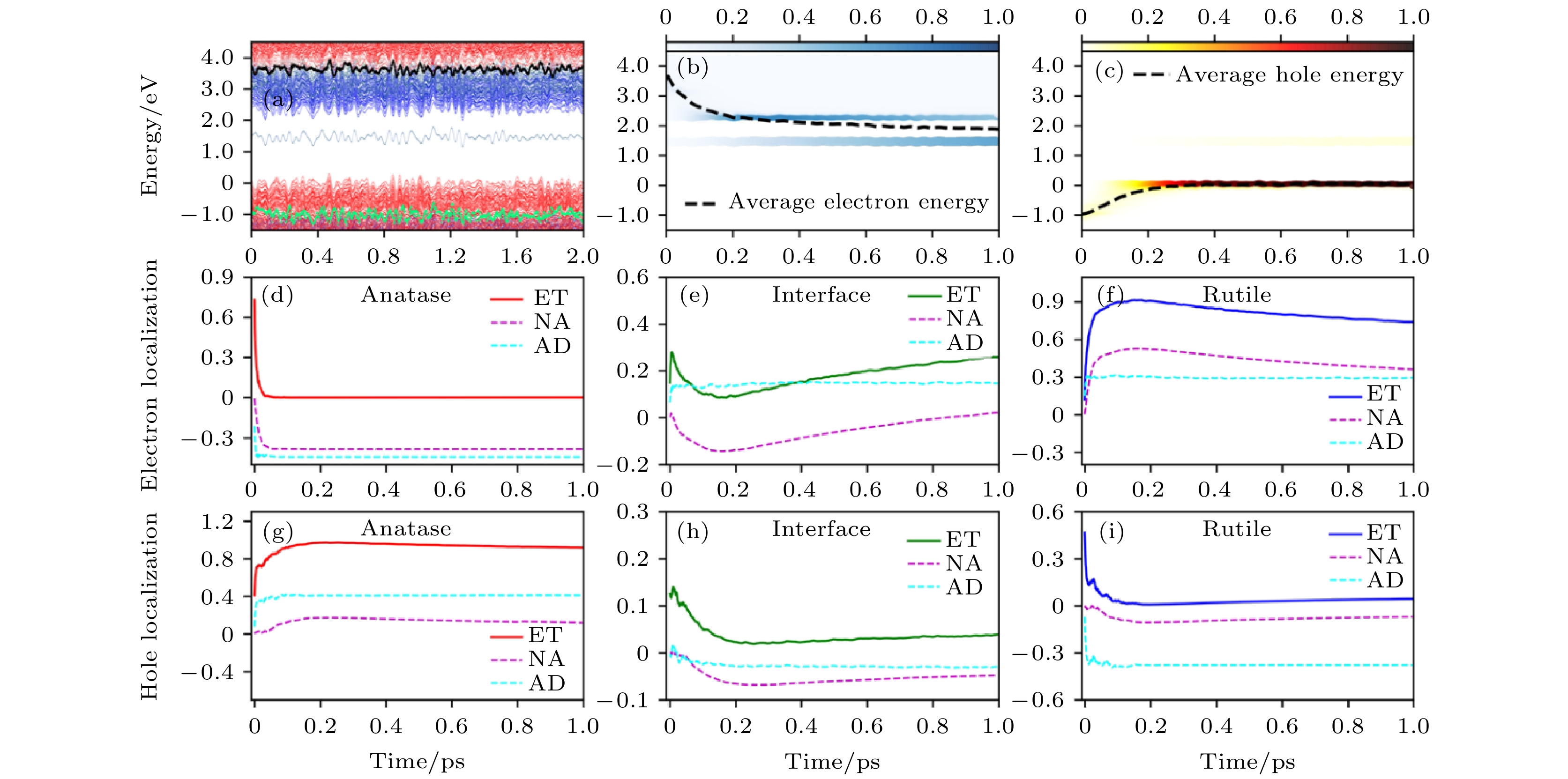
王月, 马杰.MoS2中S原子空位形成的非绝热动力学研究. 必威体育下载 , 2023, 72(22): 226101.doi:10.7498/aps.72.20230787 |
| [5] |
张博佳, 安敏荣, 胡腾, 韩腊.镁中位错和非晶作用机制的分子动力学模拟. 必威体育下载 , 2022, 71(14): 143101.doi:10.7498/aps.71.20212318 |
| [6] |
沈环, 华林强, 魏政荣.尿嘧啶激发态动力学溶剂效应的飞秒瞬态吸收光谱研究. 必威体育下载 , 2022, 71(18): 184206.doi:10.7498/aps.71.20220515 |
| [7] |
向梅, 凌丰姿, 邓绪兰, 魏洁, 布玛丽亚∙阿布力米提, 张冰.苯乙炔分子电子激发态超快动力学研究. 必威体育下载 , 2021, 70(5): 053302.doi:10.7498/aps.70.20201473 |
| [8] |
王艳梅, 唐颖, 张嵩, 龙金友, 张冰.飞秒时间分辨质谱和光电子影像对分子激发态动力学的研究. 必威体育下载 , 2018, 67(22): 227802.doi:10.7498/aps.67.20181334 |
| [9] |
李晓克, 冯伟.非绝热分子动力学的量子路径模拟. 必威体育下载 , 2017, 66(15): 153101.doi:10.7498/aps.66.153101 |
| [10] |
沈环, 胡春龙, 邓绪兰.超短脉冲激光场中间二氯苯的激发态动力学. 必威体育下载 , 2017, 66(15): 157801.doi:10.7498/aps.66.157801 |
| [11] |
李明林, 林凡, 陈越.碳纳米锥力学特性的分子动力学研究. 必威体育下载 , 2013, 62(1): 016102.doi:10.7498/aps.62.016102 |
| [12] |
张毅.非保守动力学系统Noether对称性的摄动与绝热不变量. 必威体育下载 , 2013, 62(16): 164501.doi:10.7498/aps.62.164501 |
| [13] |
王爱星, 刘义保, 房超.HOCl分子高激发振动态的动力学势研究. 必威体育下载 , 2012, 61(5): 053102.doi:10.7498/aps.61.053102 |
| [14] |
马颖.非晶态石英的变电荷分子动力学模拟. 必威体育下载 , 2011, 60(2): 026101.doi:10.7498/aps.60.026101 |
| [15] |
黄仙山, 刘海莲, 羊亚平, 石云龙.运用动态Lorentz库实现对激发态原子动力学特性的调控. 必威体育下载 , 2011, 60(2): 024205.doi:10.7498/aps.60.024205 |
| [16] |
陈谷然, 宋超, 徐骏, 王旦清, 徐岭, 马忠元, 李伟, 黄信凡, 陈坤基.脉冲激光晶化超薄非晶硅膜的分子动力学研究. 必威体育下载 , 2010, 59(8): 5681-5686.doi:10.7498/aps.59.5681 |
| [17] |
龚博致, 张秉坚.水中自然超空泡机理及减阻效应的非平衡分子动力学研究. 必威体育下载 , 2009, 58(3): 1504-1509.doi:10.7498/aps.58.1504 |
| [18] |
赵九洲, 刘 俊, 赵 毅, 胡壮麒.压力对非晶铜形成影响的分子动力学模拟. 必威体育下载 , 2007, 56(1): 443-445.doi:10.7498/aps.56.443 |
| [19] |
曹莉霞, 王崇愚.α-Fe裂纹的分子动力学研究. 必威体育下载 , 2007, 56(1): 413-422.doi:10.7498/aps.56.413 |
| [20] |
郑敦胜, 吴国祯.分子高激发振动态的动力学特性研究. 必威体育下载 , 2002, 51(10): 2229-2232.doi:10.7498/aps.51.2229 |