-
量子自旋系统的动力学性质是统计物理和凝聚态理论研究的热点问题. 本文利用递推关系方法, 通过计算系统的自旋关联函数及谱密度, 研究了纵场对一维量子Ising模型动力学性质的影响. 对于常数纵场的情况, 发现当自旋耦合相互作用较弱时纵场能够引起不同动力学行为之间的交跨效应, 且驱使系统出现了多种振动模式, 但较强的自旋耦合相互作用会掩盖纵场的影响. 对于随机纵场的情况, 分别讨论了双模型随机纵场和高斯型随机纵场的影响, 发现不同随机类型下的动力学结果有很大的差别, 且高度依赖于随机分布中参数的选取, 如双模分布的均值, 高斯分布的均值和偏差等. 尽管常数纵场和随机纵场下的动力学结果不同, 但可以得到一个共同的结论: 当纵场所占比重较大时, 系统的中心峰值行为将得到保持. 且此结论可以推广: 系统哈密顿中非对易项的出现有利于中心峰值行为的保持.
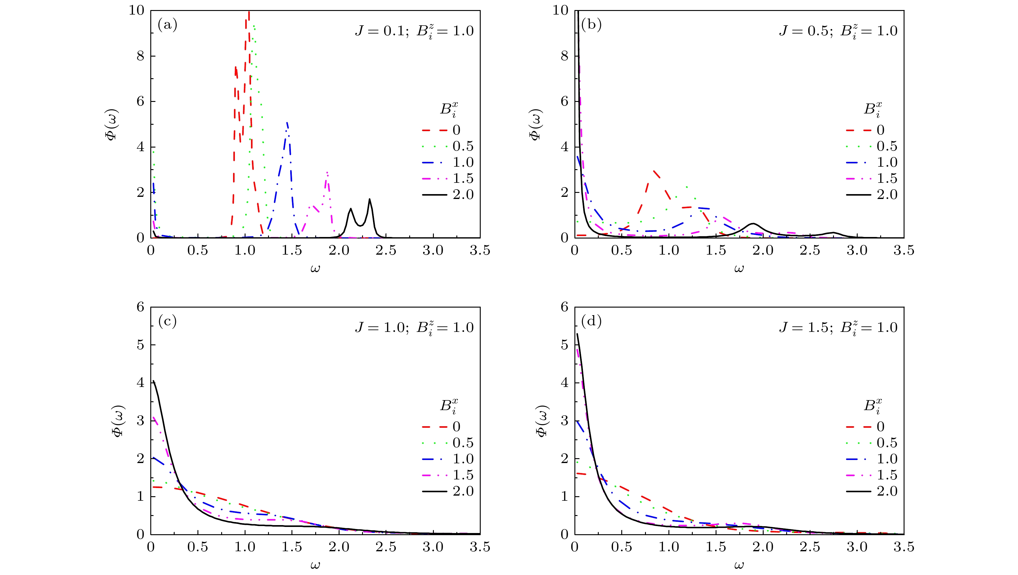
The dynamical properties of quantum spin systems are a hot topic of research in statistical and condensed matter physics. In this paper, the dynamics of one-dimensional quantum Ising model with both transverse and longitudinal magnetic field (LMF) is investigated by the recursion method. The time-dependent spin autocorrelation function $C\left( t \right) = \overline {\left\langle {\sigma _j^x\left( t \right)\sigma _j^x\left( 0 \right)} \right\rangle } $ and corresponding spectral density$\varPhi \left( \omega \right)$ are calculated. The Hamiltonian of the model system can be written as$H = - \dfrac{1}{2}J\displaystyle\sum\limits_i^N {\sigma _i^x\sigma _{i + 1}^x - \dfrac{1}{2}\displaystyle\sum\limits_i^N {B_i^x\sigma _i^x} } - \dfrac{1}{2}\displaystyle\sum\limits_i^N {B_i^z\sigma _i^z}$ .This work focuses mainly on the effects of LMF ( $ B_i^x $ ) on spin dynamics of the Ising system, and both uniform LMF and random LMF are considered respectively. Without loss of generality, the transverse magnetic field$ B_i^z = 1 $ is set in the numerical calculation, which fixes the energy scale.The results show that the uniform LMF can induce crossovers between different dynamical behaviors (e.g. independent spins precessing, collective-mode behavior or central-peak behavior) and drive multiple vibrational modes (multiple-peaked behavior) when spin interaction ( $ J $ ) is weak. However, the effect of uniform LMF is not obvious when spin interaction is strong. For the case of random LMF, the effects of bimodal-type and Gaussian-type random LMF are investigated, respectively. The dynamical results under the two types of random LMFs are quite different and highly dependent on many factors, such as the mean values ($ {B_1} $ ,$ {B_2} $ and$ {B_x} $ ) or the standard deviation ($ \sigma $ ) of random distributions. The nonsymmetric bimodal-type random LMF ($ {B_1} \ne {B_2} $ ) may induce new vibrational modes easily. The dynamical behaviors under the Gaussian-type random LMF are more abundant than under the bimodal-type random LMF. When$ \sigma $ is small, the system undergoes two crossovers: from a collective-mode behavior to a double-peaked behavior, and then to a central-peak behavior as the mean value$ {B_x} $ increases. However, when$ \sigma $ is large, the system presents only a central-peak behavior.For both cases of uniform LMF and random LMF, it is found that the central-peak behavior of the system is maintained when the proportion of LMF is large. This conclusion can be generalized that the emergence of noncommutative terms (noncommutative with the transverse-field term $\displaystyle\sum\nolimits_i^N {B_i^z\sigma _i^z}$ ) in Hamiltonian will enhance the central peak behavior. Therefore, noncommutative terms, such as next-nearest-neighbor spin interactions, Dzyaloshinskii-Moryia interactions, impurities, four-spin interactions, etc., can be added to the system Hamiltonian to modulate the dynamical properties. This provides a new direction for the future study of spin dynamics.[1] [2] [3] [4] [5] [6] [7] [8] [9] [10] [11] [12] [13] [14] [15] [16] [17] [18] [19] [20] [21] [22] [23] [24] [25] [26] [27] [28] [29] [30] [31] [32] [33] [34] [35] [36] [37] [38] [39] [40] [41] [42] [43] [44] [45] [46] [47] [48] [49] -
[1] [2] [3] [4] [5] [6] [7] [8] [9] [10] [11] [12] [13] [14] [15] [16] [17] [18] [19] [20] [21] [22] [23] [24] [25] [26] [27] [28] [29] [30] [31] [32] [33] [34] [35] [36] [37] [38] [39] [40] [41] [42] [43] [44] [45] [46] [47] [48] [49]
计量
- 文章访问数:3771
- PDF下载量:68
- 被引次数:0












下载:


