The tokamak with weak or negative magnetic shear and internal transport barrier (ITB) is considered to be the most promising approach to improving fusion performance. The hollow current density profile, as well as the reversed
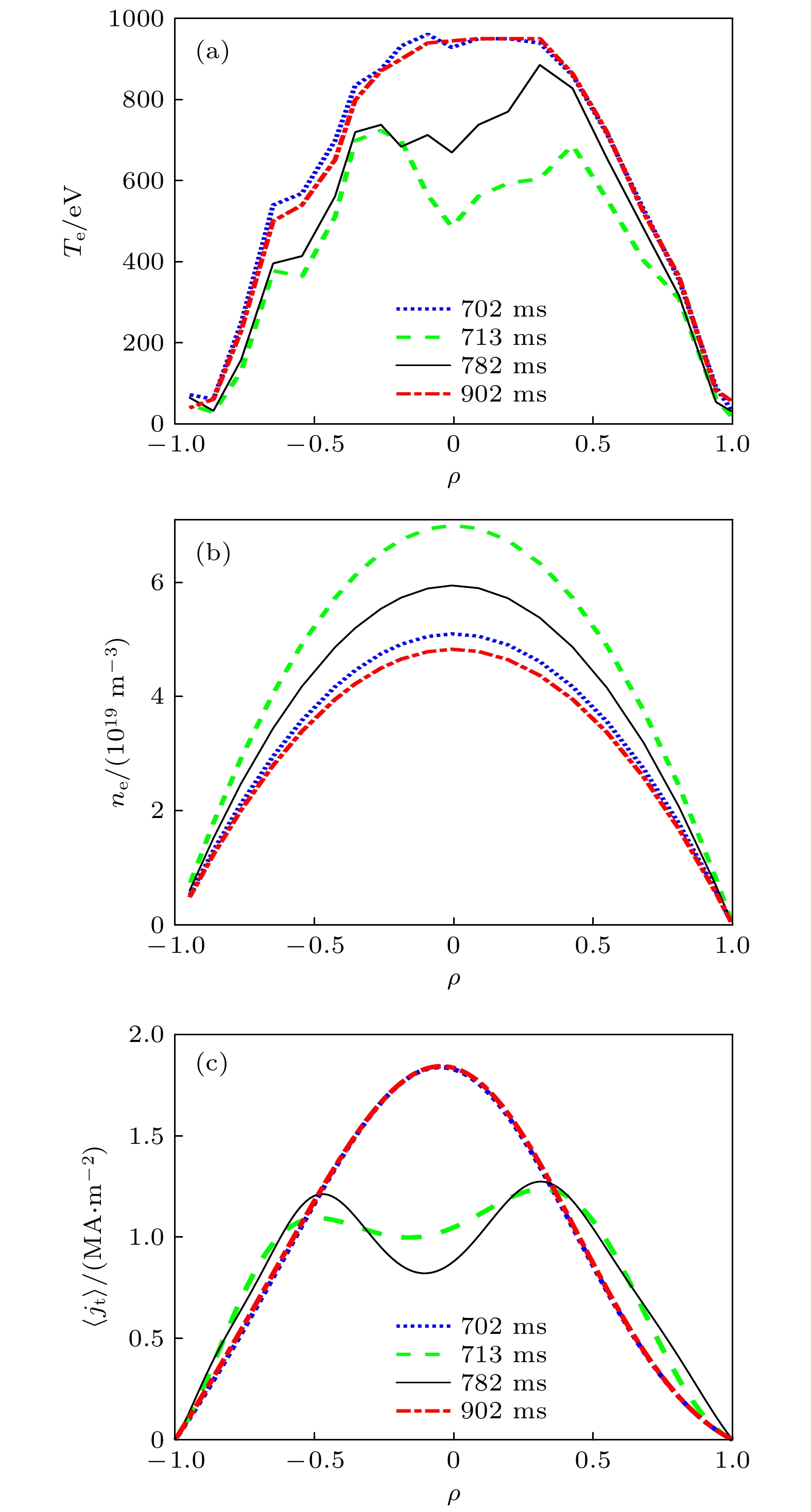
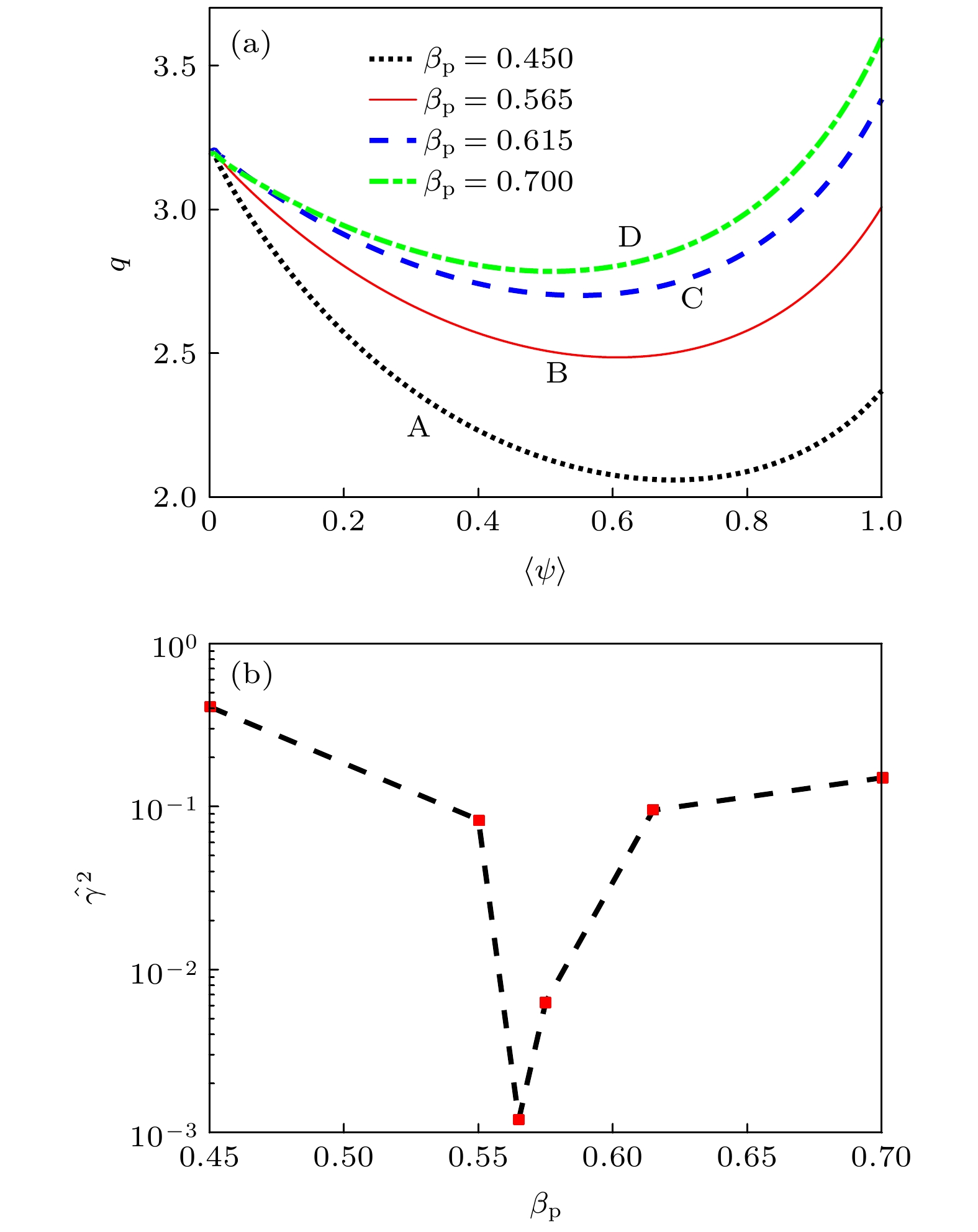
qprofile (negative magnetic shear), is one of the key conditions for improving core confinement in advanced tokamak schemes. In the Huanliuqi 2A (HL-2A) experiment, a hollow current distribution with a discharge duration of about 100 ms is successfully achieved by injecting the pellets in the Ohmic discharge. The discharge is characteristic of circular equilibrium configuration and three frozen pellets are injected continuously at three different time moments. As a result, the hollow current profiles are formed in the plasma with weak hollow electron temperature in the core region. At the same time, the hollow currents are combined with the reversed magnetic shear profiles. Because the power of Ohmic heating is not so high and there is no external auxiliary heating, we can see only a trend of the formation of weak internal transport barrier in the stable hollow current discharge stage. However, the electron thermal diffusivity decreases significantly after the pellets have been injected. The deep injection of frozen pellets improves the energy confinement. The enhancement of plasma performance is due to the peaked electron density profile in the center, caused by pellet injection and the negative magnetic shear in the plasma center. It is concluded that the electron density profile peaked highly in the core plasma, caused by pellet injection, is beneficial to the improvement of particle confinement and plays an important role in enhancing the energy confinement. In addition, it is also demonstrated that, in general, during a hollow current discharge, the poloidal beta
$ {\beta }_{\mathrm{p}} $
value and normalized beta
$ {\beta }_{\mathrm{N}} $
value are both obviously low although the reversed magnetic shear is conducive to stabilizing ballooning modes and weakening the drift instabilities. However, comparing with the hollow current profile, the plasma with peaked current profile is very beneficial to the improvement of beta limit. In order to improve the
$ {\beta }_{\mathrm{N}} $
limit, a conductive wall is necessary to be placed near the plasma boundary. The results of HL-2A pellet injection experiments present a possibility of obtaining high parameter discharge on a limiter tokamak.