Nonequilibrium dynamics of quantum many-body systems have achieved rapid progress from both theoretical and experimental perspectives. Recently, dynamical quantum phase transitions (DQPTs), which describe the nonanalytic behaviors of physical quantities during the time evolution, have attracted a lot of interest. The most studied protocol to drive the system out of equilibrium is via a quantum quench. Recently, the DQPTs in the Ising chain and ANNNI chain after double quench are studied. Double quench means that the Hamiltonian of the system is abruptly changed from
$H_{0}$
to
$H_{1}$
, and then abruptly changed from
$H_{1}$
to
$H_{2}$
after a evolutionary time
T. One can control at will whether or not DQPTs appear after the second quench by varying
T. In this paper, we study the DQPTs arising from a double quench in the anisotropic
$XY$
chain in a transverse field. The anisotropic
$XY$
chain in a transverse field has two kinds of quantum phase transitions (Ising transition and anisotropic transition). We discuss mainly the effects of quench paths on the DQPTs of the transverse field
$XY$
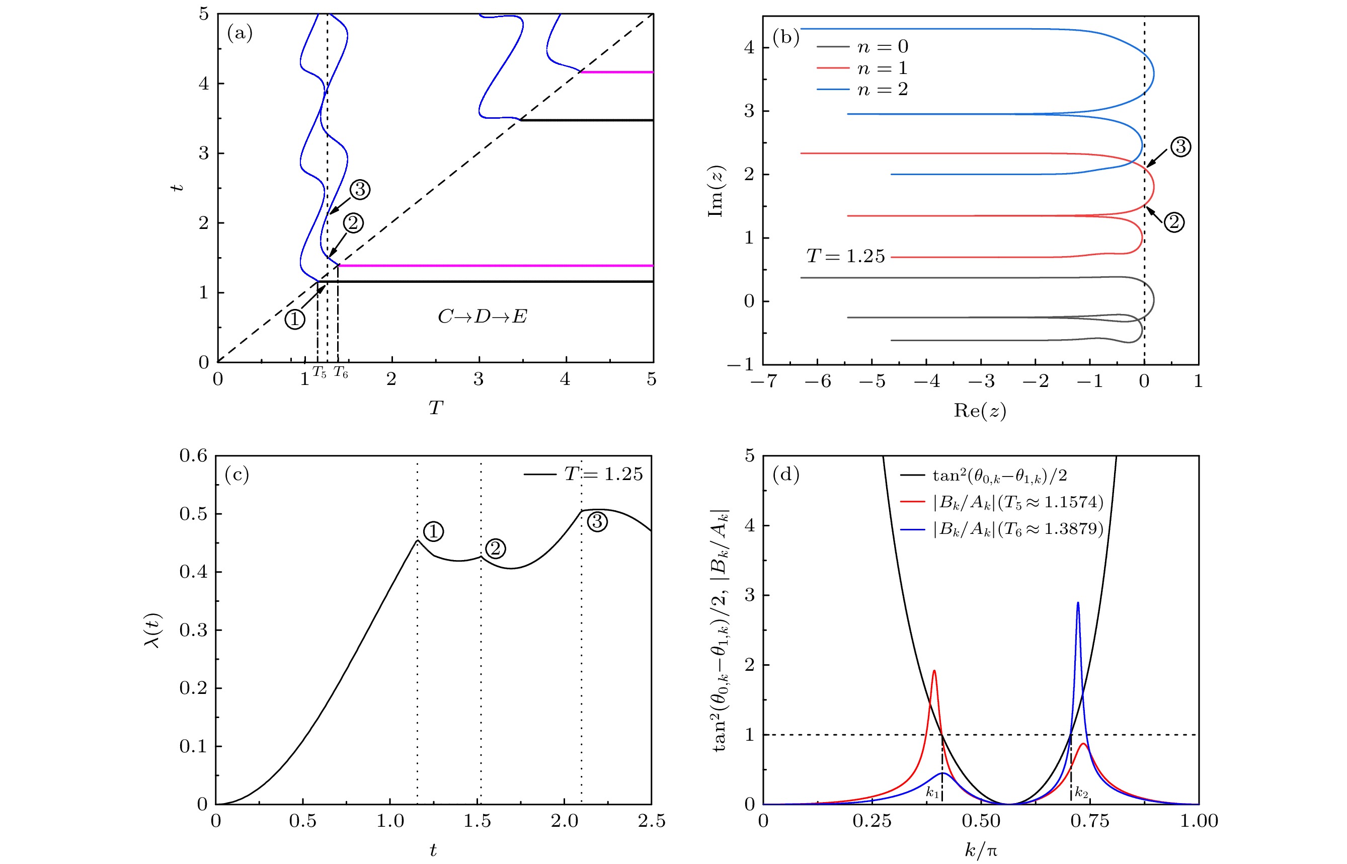
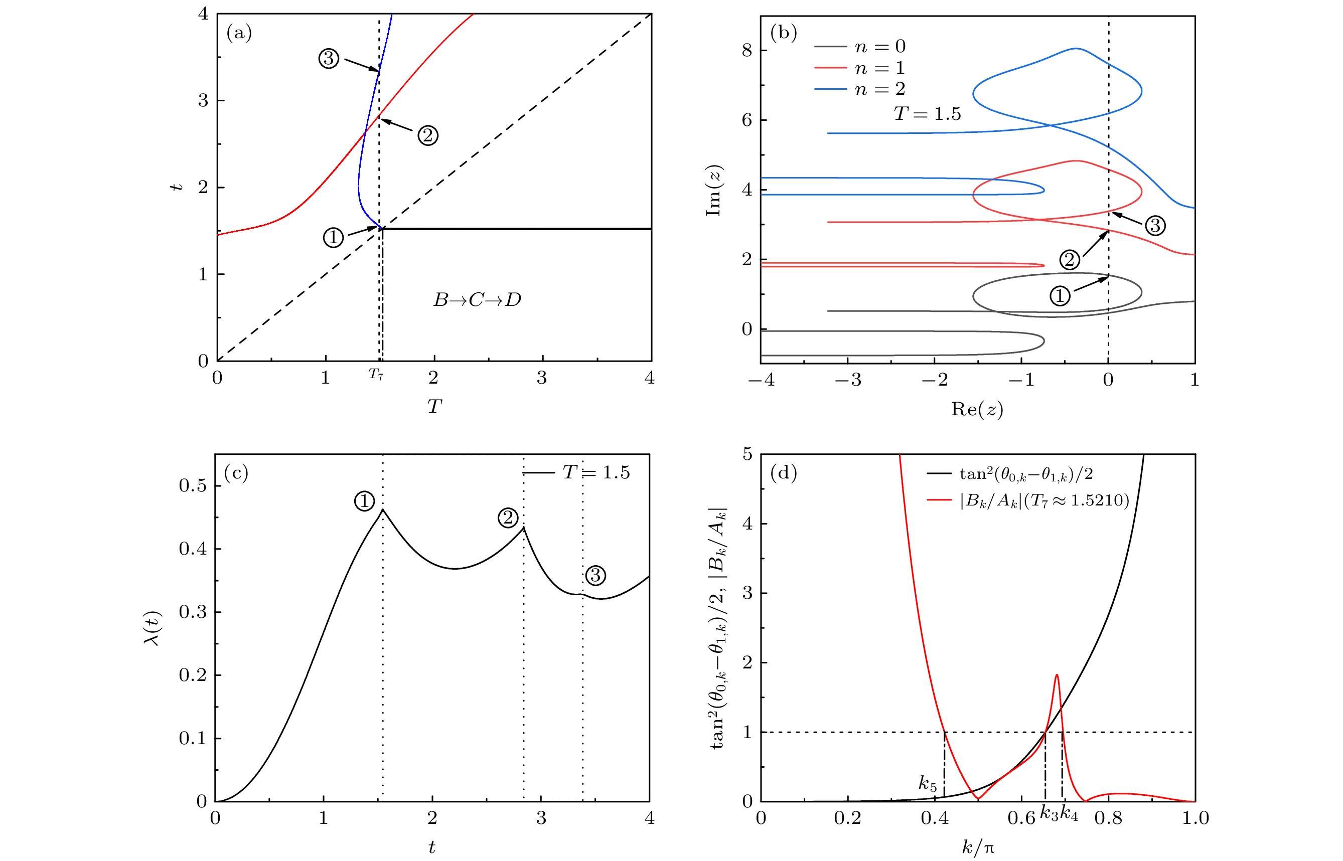
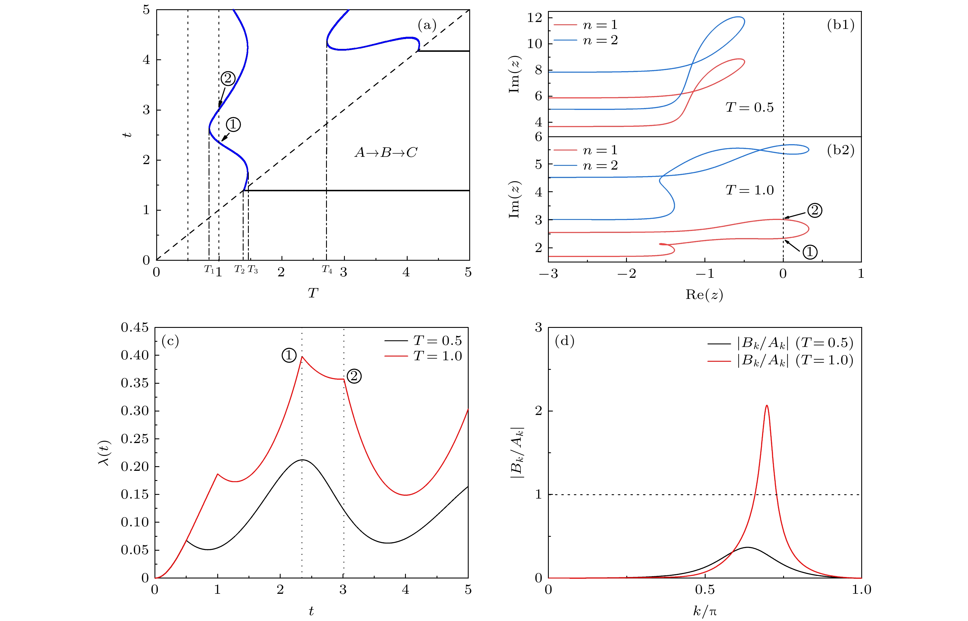
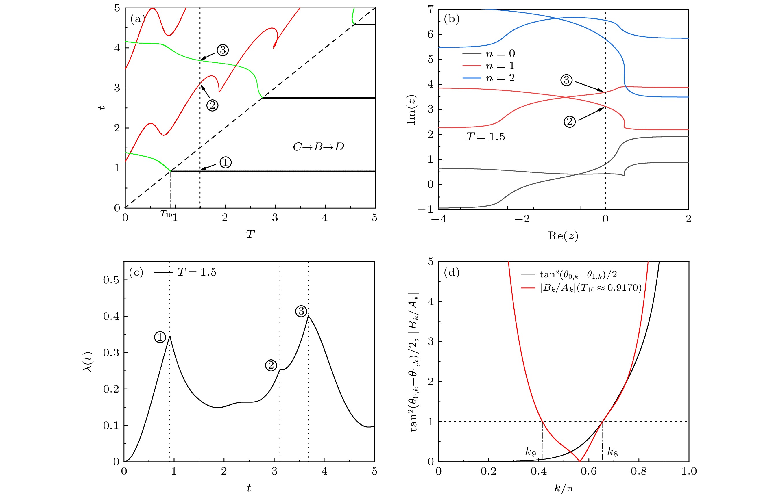
chain. By calculating the rate function of the Loschmidt echo and Fisher zeros, we find that there are three typical types of the critical times of DQPTs in the plane of the
Tand the evolution time
t. Type I of critical times, which occurs only in a certain range of
T, is related to the protocol of the Hamiltonian abruptly changed from
$H_{0}$
to
$H_{1}$
. Type II of critical times, which occurs all the time, is related to the protocol of the Hamiltonian abruptly changed from
$H_{0}$
to
$H_{2}$
. Type III of critical times, which occurs all the time, is related to the protocols of the Hamiltonian abruptly changed from
$H_{0}$
to
$H_{1}$
and
$H_{0}$
to
$H_{2}$
. When the double quench paths pass through the same kind of transition point, only the critical times corresponding to Type I will appear after the second quench. When the double quench paths pass through different kinds of transition points, the critical times after the second quench will appear any two of the above three types, which depend on the choice of quench path.