The interplay between non-trivial band topology and magnetic order can induce exotic quantum phenomena, such as the quantum anomalous Hall effect and axion insulator state. A prevalent approach to realizing such topological states is either by magnetic doping or through heterostructure engineering, while the former will bring in inhomogeneity and the latter requires complex procedures. Intrinsic magnetic topological insulators are expected to avoid the aforementioned disadvantages, which is of great significance in both studying and practically using these exotic quantum phenomena. Recently, a Zintl compound EuIn
2As
2is predicted to be an intrinsic antiferromagnetic axion insulator. The bulk magnetic order of EuIn
2As
2has been reported in a lot of experiments, while the topological nature has not yet been confirmed. The surface properties of intrinsic magnetic topological insulators play an important role in the interplay between magnetic order and non-trivial surface state. Here in this work, we study the surface structure and electronic property of EuIn
2As
2single crystal by using scanning tunneling microscopy/spectroscopy (STM/S) and non-contact atomic force microscopy (NC-AFM). Considering the strength of bonds, the easy cleavage plane of the crystals possibly lies between In-In layers or between Eu-As layers. The STM topographies show that the cleaved surface is dominated by a striped pattern. And the dominated step height is an integer multiple of
c/2, which implies that only one kind of cleavage plane is preferred. Atomic-resolved surface topographies show that the striped pattern is the
$ 1\times 2 $
surface reconstruction with 50% coverage. Hence an In-terminated surface which will be 100% coverage is ruled out. The spatial evolution of STS near vacancies on the striped pattern shows a hole-doping feature. All of these results reveal that the striped pattern is the
$ 1\times 2 $
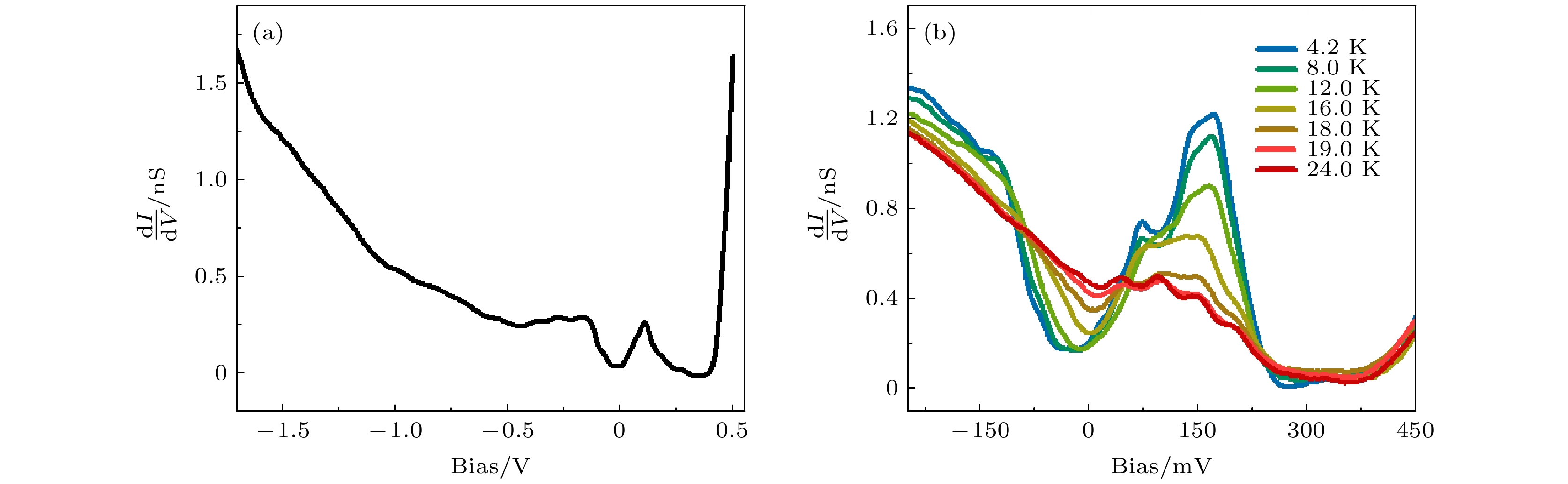
surface reconstruction of the Eu terminated surface with 50% coverage. Using the STS, we measure the local densities of states on the striped surface at various temperatures. We find that there is an asymmetric valley-peak feature in the density of states near the Fermi energy at 4 K, which is gradually weakened with increasing temperature, and disappears above the antiferromagnetic Néel temperature, indicating that the asymmetric valley-peak feature is closely related to the antiferromagnetic order. Besides, a maze-like pattern is observed occasionally near some step edges. The STM topographies show atoms both on bright and dark stripes of the maze-like pattern, which form a whole hexagonal lattice. And the NC-AFM images show that the maze-like pattern is about 1 Å higher than the Eu terminated striped pattern. Based on these results, the maze-like pattern can be explained as the buckled Eu surface with 100% coverage. These results provide important information for understanding the surface electronic band structure and topological nature of EuIn
2As
2.