Biomolecular motor is a kind of protein macromolecule widely existing in cells. It can convert the chemical energy contained in ATP molecules into mechanical motion, and then continuously provide power for the material transport process. In order to further study the directional transport of molecular motors, the Brownian ratchet model is established based on Brownian motion theory. However, most of the considerations in previous studies are devoted to the motion of Brownian particles under the condition of unit friction damping. In order to further study the influence of medium damping on the directional motion of Brownian particles, our group further study the directional transport of Brownian ratchets in different damping environments, and find that the suitable friction damping coefficient ratio can increase the center-of-mass mean velocity of the coupled Brownian particle. It should be pointed out that the above studies of Brownian ratchets consider the motion of Brownian particles under the condition of uniform spatial friction. In fact, the cell environment in organism is very complex, and the concentration and impurities in the cell change all the time. The medium damping of molecular motor is not always fixed, so choosing the space non-uniform friction condition to study the directional motion of coupled Brownian particles under different damping environments can better understand the directional transport characteristics of friction ratchets. In addition, other point of interest in the research of biomolecular motors is the high efficiency of energy conversion. Experimental results show that the energy conversion efficiencies of most molecular motors are more than 70%, and the efficiencies of some motors are even close to 100%. However, by comparing the experimental results with the theoreticalstudies, it can be found that the efficiency calculated by ratchet model is much lower than that measured in experiment. Therefore, in this paper, the directional motion of coupled Brownian particles in the space non-uniform friction environment is studied in depth, and the energy conversion efficiency of Brownian particles is further discussed.
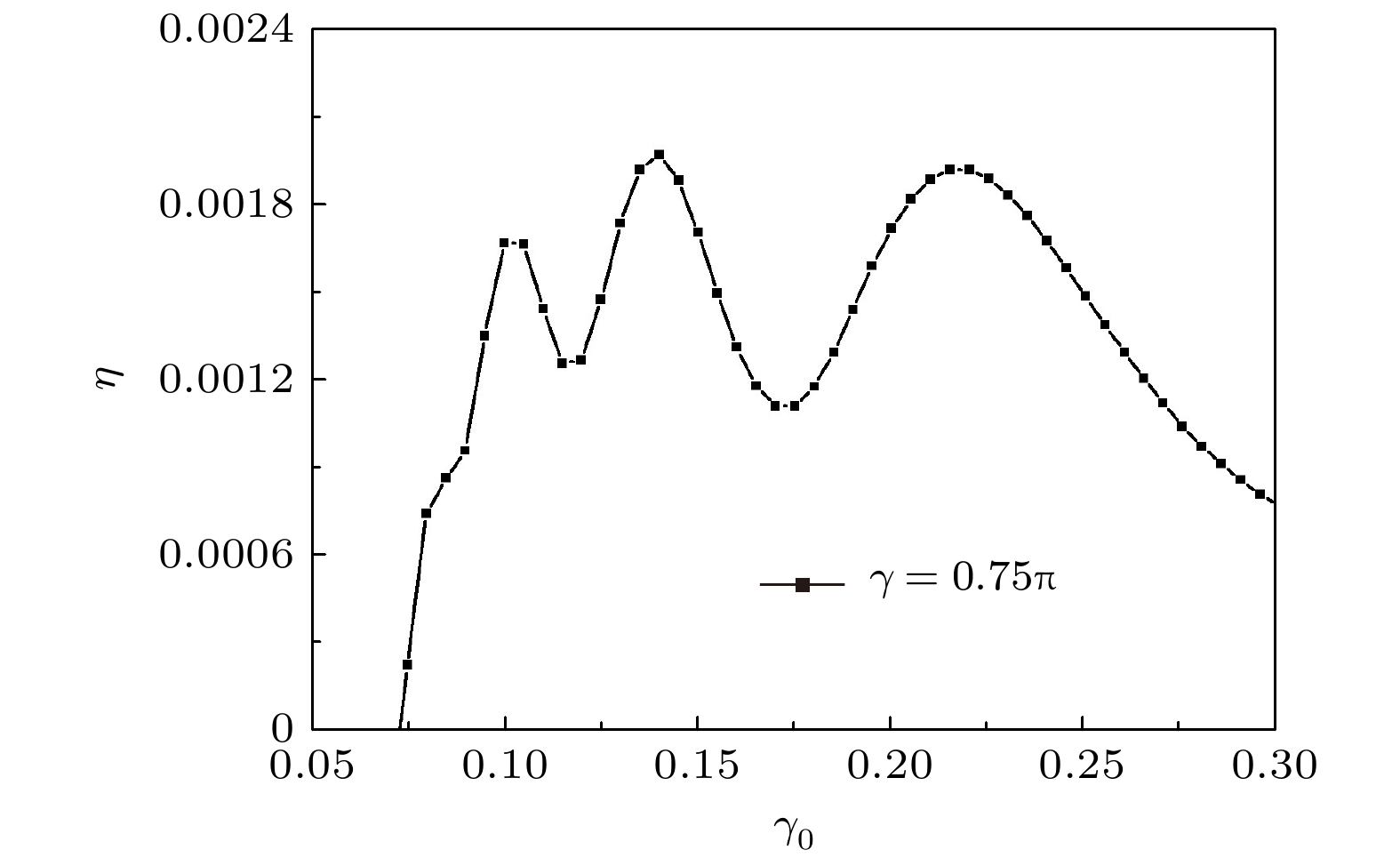
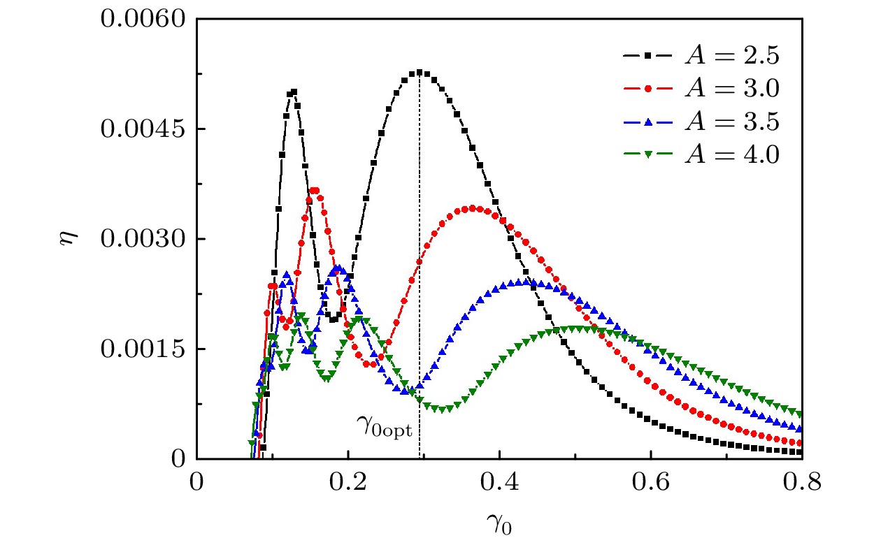
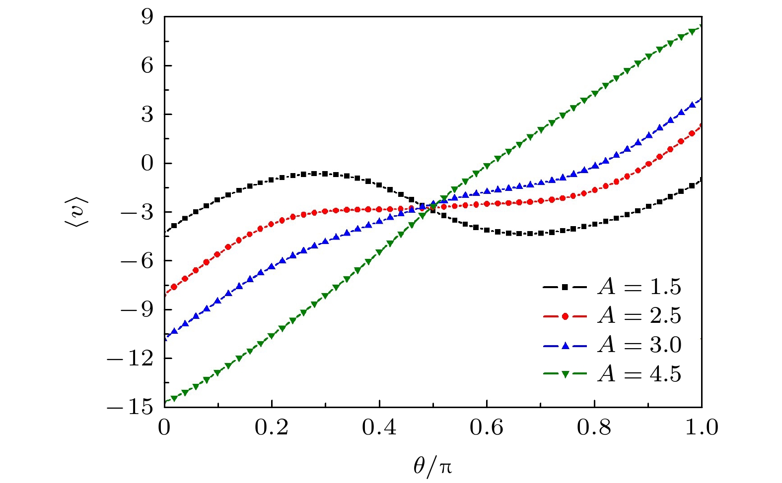
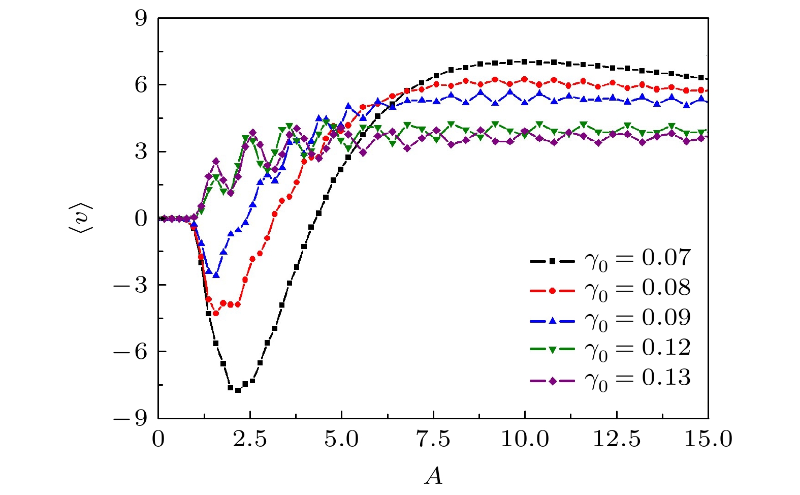
The results show that the center-of-mass mean velocity varying with the amplitude of the friction coefficient presents a multi-peak structure. This conclusion shows that friction damping does not always hinder the directional motion of coupled particles, and the frictional environment under certain conditions can also enhance the directional transport of coupled Brownian particles. At the same time, the change of the energy conversion efficiency of friction ratchets is similar to that of the center-of-mass mean velocity, which means that the proper friction damping can also enhance the transport performance of the friction ratchets. In addition, under the condition of small friction amplitude, the flow reversal of friction ratchet can be induced by external force amplitude, external potential asymmetry and spatial phase difference. The conclusions obtained in this paper can not only help people understand the directional transport performance of coupled particles in a spatially non-uniform friction environment, but also provide theoretical inspiration for particle separation and screening technology and the design of artificial nanomachines.